ПРАВИТЕЛЬСТВО РОССИЙСКОЙ ФЕДЕРАЦИИ
ПОСТАНОВЛЕНИЕ
от 25 октября 2023 г. N 1780
ОБ УТВЕРЖДЕНИИ ПРАВИЛ
ПРЕДОСТАВЛЕНИЯ ИЗ БЮДЖЕТОВ БЮДЖЕТНОЙ СИСТЕМЫ РОССИЙСКОЙ
ФЕДЕРАЦИИ СУБСИДИЙ, В ТОМ ЧИСЛЕ ГРАНТОВ В ФОРМЕ СУБСИДИЙ,
ЮРИДИЧЕСКИМ ЛИЦАМ, ИНДИВИДУАЛЬНЫМ ПРЕДПРИНИМАТЕЛЯМ, А ТАКЖЕ
ФИЗИЧЕСКИМ ЛИЦАМ - ПРОИЗВОДИТЕЛЯМ ТОВАРОВ, РАБОТ, УСЛУГ
В соответствии со статьями 78 и 78.1 Бюджетного кодекса Российской Федерации Правительство Российской Федерации постановляет:
1. Утвердить прилагаемые Правила предоставления из бюджетов бюджетной системы Российской Федерации субсидий, в том числе грантов в форме субсидий, юридическим лицам, индивидуальным предпринимателям, а также физическим лицам - производителям товаров, работ, услуг.
2. Установить, что Правила, утвержденные настоящим постановлением, не распространяются на предоставляемые из соответствующего бюджета бюджетной системы Российской Федерации:
субсидии в целях реализации соглашений о государственно-частном партнерстве, муниципально-частном партнерстве, концессионных соглашений, заключаемых в порядке, определенном соответственно законодательством Российской Федерации о государственно-частном партнерстве, муниципально-частном партнерстве и о концессионных соглашениях, предусмотренные пунктом 6 статьи 78 Бюджетного кодекса Российской Федерации;
субсидии в целях предусмотренной статьей 15 Федерального закона "О защите и поощрении капиталовложений в Российской Федерации" государственной поддержки проектов, осуществляемых в рамках соглашений о защите и поощрении капиталовложений, заключаемых в соответствии с законодательством Российской Федерации о защите и поощрении капиталовложений в Российской Федерации;
субсидии юридическим лицам, предусмотренные пунктами 8 и 8.1 статьи 78 Бюджетного кодекса Российской Федерации;
субсидии государственным (муниципальным) учреждениям, за исключением грантов в форме субсидий, предусмотренных пунктом 4 статьи 78.1 Бюджетного кодекса Российской Федерации;
гранты в форме субсидий, порядок предоставления которых определен решением Президента Российской Федерации в соответствии с пунктом 7 статьи 78 и пунктом 4 статьи 78.1 Бюджетного кодекса Российской Федерации;
субсидии, в том числе гранты в форме субсидий, юридическим лицам, индивидуальным предпринимателям, а также физическим лицам - производителям товаров, работ, услуг, предоставляемые из бюджетов субъектов Российской Федерации (местных бюджетов), в случае, если законом субъекта Российской Федерации (муниципальным правовым актом представительного органа муниципального образования), регулирующим бюджетные правоотношения, не установлены в соответствии с пунктом 2.1 статьи 78 и пунктом 2.1 статьи 78.1 Бюджетного кодекса Российской Федерации положения о применении Правил, утвержденных настоящим постановлением;
субсидии в целях государственной поддержки политических партий, предусмотренной статьями 32 и 33 Федерального закона "О политических партиях".
3. Установить, что Правила, утвержденные настоящим постановлением, применяются к правоотношениям, возникающим при предоставлении субсидий (заключении соглашений о предоставлении субсидий), бюджетные ассигнования на предоставление которых предусмотрены в соответствующем бюджете бюджетной системы Российской Федерации, начиная с 2024 года (за исключением субсидий, указанных в пункте 6 настоящего постановления, с учетом положений абзаца второго пункта 4 настоящего постановления).
3(1). Установить, что положения настоящего постановления и Правил, утвержденных настоящим постановлением, предусмотренные в отношении субсидий, предоставляемых из федерального бюджета, применяются в отношении субсидий, предоставляемых из бюджетов государственных внебюджетных фондов Российской Федерации.
3(2). Установить, что до 1 января 2027 г. решения о порядке предоставления субсидий из бюджетов государственных внебюджетных фондов Российской Федерации принимаются в форме правовых актов указанных фондов.
4. Федеральным органам исполнительной власти, организациям, осуществляющим в соответствии с федеральными законами нормативно-правовое регулирование в установленных сферах деятельности:
обеспечить признание утратившими силу нормативных правовых актов, регулирующих предоставление субсидий, вступивших в силу до 1 декабря 2023 г., нормативных правовых актов федеральных органов исполнительной власти, организаций, осуществляющих в соответствии с федеральными законами нормативно-правовое регулирование в установленных сферах деятельности, утвержденных в соответствии с указанными нормативными правовыми актами, регулирующими предоставление субсидий, после завершения правоотношений, возникших при предоставлении субсидий в соответствии с указанными нормативными правовыми актами, а также исполнения обязательств, принятых получателем субсидии в рамках указанных правоотношений;
принять решения о порядке предоставления субсидий в соответствии с Правилами, утвержденными настоящим постановлением, в случае изменения до срока завершения правоотношений, возникших при предоставлении субсидий в соответствии с нормативными правовыми актами, указанными в абзаце втором настоящего пункта, условий предоставления субсидий, установленных указанными нормативными правовыми актами.
5. Установить, что в 2024 году действие пункта 5 Правил, утвержденных настоящим постановлением, не распространяется на информацию, которая включается в соответствии с содержанием положений нормативных правовых актов, регулирующих предоставление субсидий, вступивших в силу до 1 декабря 2023 г. (за исключением положений, не соответствующих законодательству Российской Федерации), в решения о порядке предоставления субсидий, принимаемые в соответствии с Правилами, утвержденными настоящим постановлением.
6. Установить, что субсидии, бюджетные ассигнования на предоставление которых предусмотрены в федеральном бюджете на 2024 год и на плановый период 2025 и 2026 годов, предоставляются в 2024 году в соответствии с нормативными правовыми актами, регулирующими предоставление субсидий, вступившими в силу до 1 декабря 2023 г., и решениями о порядке предоставления субсидий, принятыми в соответствии с абзацем первым пункта 4 Правил, утвержденных настоящим постановлением, содержащими реквизиты указанных нормативных правовых актов.
Установить, что в случае изменения условий предоставления субсидий, определенных нормативными правовыми актами, указанными в абзаце первом настоящего пункта, предоставление таких субсидий осуществляется в соответствии с Правилами, утвержденными настоящим постановлением.
7. Рекомендовать исполнительным органам субъектов Российской Федерации, органам местного самоуправления в случае, если в соответствии с пунктом 2.1 статьи 78 и пунктом 2.1 статьи 78.1 Бюджетного кодекса Российской Федерации субсидии предоставляются из бюджета субъекта Российской Федерации, местного бюджета в соответствии с Правилами, утвержденными настоящим постановлением, обеспечить признание утратившими силу нормативных правовых актов субъектов Российской Федерации, муниципальных правовых актов, регулирующих предоставление субсидий, вступивших в силу до 1 декабря 2023 г., нормативных правовых актов исполнительных органов субъектов Российской Федерации, муниципальных правовых актов, утвержденных в соответствии с указанными правовыми актами, регулирующими предоставление субсидий, после завершения правоотношений, возникших при предоставлении субсидий в соответствии с указанными правовыми актами, а также исполнения обязательств, принятых получателем субсидии в рамках указанных правоотношений.
8. Нормативные правовые акты федеральных органов исполнительной власти, исполнительных органов субъектов Российской Федерации, организаций, осуществляющих в соответствии с федеральными законами нормативно-правовое регулирование в установленных сферах деятельности, муниципальные правовые акты, утвержденные в соответствии с нормативными правовыми актами, регулирующими предоставление субсидии, указанными в пунктах 4 и 7 настоящего постановления, применяются до 1 января 2025 г. в случае, если применение иных актов не предусмотрено решениями о порядке предоставления субсидии, принятыми в соответствии с Правилами, утвержденными настоящим постановлением.
9. Установить, что до 1 января 2026 г. решения о порядке предоставления субсидий, предоставляемых в соответствии с пунктом 2.1 статьи 78 и пунктом 2.1 статьи 78.1 Бюджетного кодекса Российской Федерации из бюджетов субъектов Российской Федерации, местных бюджетов в соответствии с Правилами, утвержденными настоящим постановлением, принимаются главными распорядителями средств бюджета субъекта Российской Федерации, местного бюджета в форме правового акта.
10. Настоящее постановление вступает в силу с 1 января 2024 г., за исключением положений, для которых пунктом 11 настоящего постановления предусмотрены иные сроки вступления в силу.
11. Абзац третий пункта 3 Правил, утвержденных настоящим постановлением, вступает в силу:
с 1 апреля 2024 г. в отношении субсидий, предоставляемых из федерального бюджета;
с 1 января 2025 г. в отношении субсидий, предоставляемых из бюджетов субъектов Российской Федерации (местных бюджетов).
Абзац первый пункта 4 Правил, утвержденных настоящим постановлением, вступает в силу с 1 января 2025 г. в отношении субсидий, предоставляемых в соответствии с пунктом 2.1 статьи 78 и пунктом 2.1 статьи 78.1 Бюджетного кодекса Российской Федерации из бюджетов субъектов Российской Федерации, местных бюджетов в соответствии с указанными Правилами.
Абзац пятый пункта 22 Правил, утвержденных настоящим постановлением, вступает в силу с 1 января 2026 г.
Пункт 50 Правил, утвержденных настоящим постановлением, вступает в силу с 1 января 2025 г.
Председатель Правительства
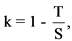
Российской Федерации
М.МИШУСТИН
Утверждены
постановлением Правительства
Российской Федерации
от 25 октября 2023 г. N 1780
ПРАВИЛА
ПРЕДОСТАВЛЕНИЯ ИЗ БЮДЖЕТОВ БЮДЖЕТНОЙ СИСТЕМЫ РОССИЙСКОЙ
ФЕДЕРАЦИИ СУБСИДИЙ, В ТОМ ЧИСЛЕ ГРАНТОВ В ФОРМЕ СУБСИДИЙ,
ЮРИДИЧЕСКИМ ЛИЦАМ, ИНДИВИДУАЛЬНЫМ ПРЕДПРИНИМАТЕЛЯМ, А ТАКЖЕ
ФИЗИЧЕСКИМ ЛИЦАМ - ПРОИЗВОДИТЕЛЯМ ТОВАРОВ, РАБОТ, УСЛУГ
I. Общие положения
1. Настоящие Правила устанавливают порядок предоставления из федерального бюджета, а также из бюджетов субъектов Российской Федерации (местных бюджетов) в случаях, установленных в соответствии с пунктом 2.1 статьи 78 и пунктом 2.1 статьи 78.1 Бюджетного кодекса Российской Федерации законами субъектов Российской Федерации (муниципальными правовыми актами представительного органа муниципального образования), регулирующими бюджетные правоотношения, субсидий юридическим лицам (за исключением государственных (муниципальных) учреждений), индивидуальным предпринимателям, а также физическим лицам - производителям товаров, работ, услуг, в том числе грантов в форме субсидий юридическим лицам, индивидуальным предпринимателям, а также физическим лицам - производителям товаров, работ, услуг (далее соответственно при совместном упоминании - субсидии, получатель субсидии).
2. Предоставление субсидий, связанных с использованием сведений, составляющих государственную тайну или иную охраняемую законом тайну, осуществляется с соблюдением требований, установленных законодательством Российской Федерации о государственной или иной охраняемой законом тайне.
3. Информация о субсидиях, в том числе предусмотренных законом (решением) о бюджете (законом (решением) о внесении изменений в закон (решение) о бюджете), размещается в установленном Министерством финансов Российской Федерации порядке на едином портале бюджетной системы Российской Федерации в информационно-телекоммуникационной сети "Интернет" или на ином сайте в информационно-телекоммуникационной сети "Интернет" с указанием на едином портале бюджетной системы Российской Федерации страниц такого сайта в случае принятия высшим должностным лицом субъекта Российской Федерации соответствующего решения в отношении субсидий, предоставляемых из бюджета такого субъекта Российской Федерации, в течение 10 рабочих дней со дня, следующего за днем доведения бюджетных ассигнований на предоставление субсидий до органа государственной власти (государственного органа), органа местного самоуправления или организации, осуществляющих в соответствии с бюджетным законодательством Российской Федерации полномочия главного распорядителя бюджетных средств, которым предусматриваются бюджетные ассигнования на предоставление субсидий на соответствующий финансовый год (соответствующий финансовый год и плановый период) (далее - главный распорядитель бюджетных средств).
Решение о порядке предоставления субсидии, предусмотренное пунктом 4 настоящих Правил, размещается:
на едином портале бюджетной системы Российской Федерации в информационно-телекоммуникационной сети "Интернет" в установленном Министерством финансов Российской Федерации порядке;
на официальном сайте органа государственной власти (государственного органа), органа местного самоуправления, иной организации, осуществляющих в соответствии с бюджетным законодательством Российской Федерации полномочия главного распорядителя бюджетных средств, которым предусматриваются бюджетные ассигнования на предоставление субсидий на соответствующий финансовый год (соответствующий финансовый год и плановый период), в информационно-телекоммуникационной сети "Интернет" не позднее 10-го рабочего дня после принятия решения о порядке предоставления субсидии.
Информация о решении о порядке предоставления субсидии, предусмотренном пунктом 4 настоящих Правил, включается в реестр соглашений (договоров) о предоставлении из бюджетов бюджетной системы Российской Федерации субсидий и бюджетных инвестиций юридическим лицам, индивидуальным предпринимателям, физическим лицам - производителям товаров, работ, услуг и межбюджетных трансфертов бюджетам бюджетной системы Российской Федерации в установленном Министерством финансов Российской Федерации порядке.
До утверждения решения о порядке предоставления субсидии, предусмотренного пунктом 4 настоящих Правил, главный распорядитель бюджетных средств вправе провести общественное обсуждение указанного решения в установленном им порядке.
Действие настоящего пункта не распространяется на решения о порядке предоставления субсидии, содержащие сведения, составляющие государственную тайну или иную охраняемую законом тайну, или сведения ограниченного доступа.
II. Порядок формирования решений о порядке
предоставления субсидии
4. Главные распорядители бюджетных средств принимают решение о порядке предоставления субсидии в соответствии с настоящими Правилами в форме электронного документа в государственной интегрированной информационной системе управления общественными финансами "Электронный бюджет" (далее - система "Электронный бюджет"), за исключением решений о порядке предоставления субсидий, указанных в пунктах 8 и 8(1) настоящих Правил.
Информация о субсидиях, в том числе предусмотренных законом (решением) о бюджете (законом (решением) о внесении изменений в закон (решение) о бюджете), а также информация, указываемая в решении о порядке предоставления субсидии (за исключением информации, указываемой в решении о порядке предоставления субсидий, указанных в пунктах 8 и 8(1) настоящих Правил) в соответствии с пунктом 9 настоящих Правил, включаются в размещаемый на едином портале бюджетной системы Российской Федерации в информационно-телекоммуникационной сети "Интернет" реестр субсидий, формирование и ведение которого осуществляются Министерством финансов Российской Федерации в установленном им порядке.
Решения о порядке предоставления субсидии принимаются (утверждаются главными распорядителями бюджетных средств и проходят согласование в соответствии с настоящими Правилами) не позднее:
15 февраля текущего финансового года - в случае если бюджетные ассигнования на предоставление субсидии предусмотрены законом (решением) о бюджете субъекта Российской Федерации (местном бюджете);
1 января очередного финансового года - в случае если бюджетные ассигнования на предоставление субсидии предусмотрены федеральным законом о федеральном бюджете;
30-го рабочего дня после доведения бюджетных ассигнований до главного распорядителя бюджетных средств - в случае если бюджетные ассигнования на предоставление субсидии предусмотрены законом о внесении изменений в закон (решение) о бюджете или сводной бюджетной росписью в результате внесения в нее изменений без внесения изменений в закон (решение) о бюджете.
Сроки принятия решений о порядке предоставления субсидии, предусмотренные абзацами четвертым - шестым настоящего пункта, могут быть продлены по решению соответственно Правительственной комиссии по вопросам оптимизации и повышения эффективности бюджетных расходов, высшего исполнительного органа субъекта Российской Федерации, местной администрации.
Решение о порядке предоставления субсидии подписывается усиленной квалифицированной электронной подписью руководителя главного распорядителя бюджетных средств (иного лица, уполномоченного действовать от имени главного распорядителя бюджетных средств).
4(1). В случае необходимости включения в решение о порядке предоставления субсидии отдельных положений, отнесенных к сведениям ограниченного доступа, такое решение о порядке предоставления субсидии формируется:
в части положений, не отнесенных к сведениям ограниченного доступа, - в системе "Электронный бюджет" с указанием информации о наличии положений, отнесенных к сведениям ограниченного доступа;
в части положений, отнесенных к сведениям ограниченного доступа, - в форме правового акта главного распорядителя бюджетных средств в соответствии с пунктом 8 настоящих Правил.
5. Решение о порядке предоставления субсидии из федерального бюджета, бюджета субъекта Российской Федерации, местного бюджета подлежит одновременному согласованию соответственно:
Министерством финансов Российской Федерации, финансовым органом субъекта Российской Федерации, финансовым органом муниципального образования (далее при совместном упоминании - финансовый орган);
Министерством экономического развития Российской Федерации, а также иными определенными главным распорядителем бюджетных средств заинтересованными федеральными органами исполнительной власти, исполнительными органами субъекта Российской Федерации, органами местного самоуправления, к сфере деятельности которых относятся вопросы, содержащиеся в решении о порядке предоставления субсидии (при необходимости), Министерством цифрового развития, связи и массовых коммуникаций Российской Федерации - в отношении субсидий, предоставляемых из федерального бюджета в целях реализации мероприятий, направленных на создание (развитие), эксплуатацию, использование и вывод из эксплуатации информационных технологий, информационных систем (за исключением государственных и муниципальных информационных систем), компонентов информационно-телекоммуникационной инфраструктуры, информационно-телекоммуникационных сетей, программных, программно-технических комплексов, отдельных программ для электронных вычислительных машин и оборудования (далее - ИТ-активы), за исключением ИТ-активов, необходимых для реализации полномочий в том числе федеральных органов государственной власти и обеспечения их деятельности по цифровой трансформации (далее при совместном упоминании - заинтересованный орган).
Решение о порядке предоставления субсидии подлежит согласованию финансовым органом и заинтересованными органами в течение 10 рабочих дней со дня его направления на согласование, а решение о порядке предоставления субсидии, подготавливаемое в рамках реализации федеральных проектов, - в течение 5 рабочих дней со дня его направления на согласование.
Решение о порядке предоставления субсидии из федерального бюджета в случае его согласования Министерством финансов Российской Федерации, Министерством экономического развития Российской Федерации, а также заинтересованными федеральными органами исполнительной власти (при необходимости), в том числе в случае непредставления ими позиции в установленный срок, направляется главным распорядителем бюджетных средств на согласование Заместителю Председателя Правительства Российской Федерации (в соответствии с распределением обязанностей).
Решение о порядке предоставления субсидии из бюджета субъекта Российской Федерации в случае его согласования финансовым органом субъекта Российской Федерации, а также заинтересованными исполнительными органами субъекта Российской Федерации (при необходимости), в том числе в случае непредставления ими позиции, направляется главным распорядителем бюджетных средств на согласование в высший исполнительный орган субъекта Российской Федерации.
Решение о порядке предоставления субсидии из местного бюджета в случае его согласования финансовым органом муниципального образования, а также заинтересованными органами местного самоуправления (местной администрацией) (при необходимости), в том числе в случае непредставления ими позиции, считается согласованным.
В случае наличия по решению о порядке предоставления субсидии разногласий с финансовым органом и (или) заинтересованным органом главный распорядитель бюджетных средств обеспечивает доработку решения о порядке предоставления субсидии в соответствии с позициями финансового органа и (или) заинтересованного органа и повторное направление доработанного решения о порядке предоставления субсидии в финансовый орган и (или) заинтересованный орган.
В случае отсутствия возможности учета всех представленных замечаний финансового органа и (или) заинтересованного органа по решению о порядке предоставления субсидии главный распорядитель бюджетных средств обеспечивает проведение согласительного совещания для обсуждения выявленных разногласий в целях поиска взаимоприемлемого решения.
Доработанное по итогам согласительного совещания решение о порядке предоставления субсидии направляется на повторное согласование в финансовый орган и (или) заинтересованный орган в течение 2 рабочих дней со дня проведения согласительного совещания.
Снятие сохранившихся после проведения согласительного совещания неурегулированных разногласий по решению о порядке предоставления субсидий:
из федерального бюджета осуществляется в соответствии с пунктом 6 настоящих Правил;
из бюджетов субъектов Российской Федерации (местных бюджетов) осуществляется в соответствии с пунктом 7 настоящих Правил.
6. При сохранении после проведения согласительного совещания неурегулированных разногласий по решению о порядке предоставления субсидии главный распорядитель средств федерального бюджета в течение 2 рабочих дней со дня проведения согласительного совещания оформляет, подписывает и направляет через систему межведомственного электронного документооборота протокол согласительного совещания и таблицу разногласий, которые в течение 5 рабочих дней рассматриваются финансовым органом и (или) заинтересованным органом и подписываются заместителем Министра финансов Российской Федерации (в соответствии с распределением обязанностей) и (или) лицом, уполномоченным действовать от имени заинтересованного органа. Подписанные руководителем главного распорядителя средств федерального бюджета (иным лицом, уполномоченным действовать от имени главного распорядителя средств федерального бюджета) и заместителем Министра финансов Российской Федерации (в соответствии с распределением обязанностей) и (или) лицом, уполномоченным действовать от имени заинтересованного органа, протокол согласительного совещания и таблица разногласий направляются главным распорядителем средств федерального бюджета в течение 2 рабочих дней со дня получения подписанных протокола согласительного совещания и таблицы разногласий на рассмотрение Заместителю Председателя Правительства Российской Федерации (в соответствии с распределением обязанностей).
При сохранении после рассмотрения Заместителем Председателя Правительства Российской Федерации неурегулированных разногласий по решению о порядке предоставления субсидии решение о порядке предоставления субсидии вместе с таблицей разногласий направляется в Правительственную комиссию по вопросам оптимизации и повышения эффективности бюджетных расходов в целях принятия решения в отношении таких разногласий.
При сохранении после рассмотрения Правительственной комиссией по вопросам оптимизации и повышения эффективности бюджетных расходов неурегулированных разногласий по решению о порядке предоставления субсидии Заместитель Председателя Правительства Российской Федерации (в соответствии с распределением обязанностей) о таких разногласиях докладывает Председателю Правительства Российской Федерации для принятия соответствующего решения.
Внесение изменений в решение о порядке предоставления субсидии осуществляется в порядке, аналогичном порядку, предусмотренному пунктом 5 настоящих Правил.
7. Согласование неурегулированных разногласий по решениям о порядке предоставления субсидий из бюджетов субъектов Российской Федерации (местных бюджетов) осуществляется с участием финансового органа субъекта Российской Федерации (финансового органа муниципального образования), иных заинтересованных исполнительных органов субъекта Российской Федерации, органов местного самоуправления, высшего исполнительного органа субъекта Российской Федерации (местной администрации) в порядке, аналогичном порядку, предусмотренному пунктом 6 настоящих Правил.
7(1). Решения о порядке предоставления субсидии, не согласованные в установленном настоящими Правилами порядке, не подлежат применению.
8. Решения о порядке предоставления субсидий, содержащие сведения, составляющие государственную тайну или иную охраняемую законом тайну, принимаются путем принятия главным распорядителем бюджетных средств правового акта по согласованию:
с Министерством финансов Российской Федерации, Министерством экономического развития Российской Федерации, Заместителем Председателя Правительства Российской Федерации (в соответствии с распределением обязанностей) и при необходимости с заинтересованным органом, определенным главным распорядителем бюджетных средств, - в отношении субсидий, предоставляемых из федерального бюджета;
с финансовым органом, а также высшим исполнительным органом субъекта Российской Федерации (местной администрацией) и при необходимости с заинтересованным органом, определенным главным распорядителем бюджетных средств, - в отношении субсидий, предоставляемых из бюджета субъекта Российской Федерации (местного бюджета).
Согласование неурегулированных разногласий по решениям о порядке предоставления субсидий, указанным в абзаце первом настоящего пункта, осуществляется в порядке, аналогичном порядку, предусмотренному пунктом 6 настоящих Правил.
8(1). Решения о порядке предоставления субсидий палатами Федерального Собрания Российской Федерации принимаются путем принятия правовых актов, утвержденных в соответствии с регламентом соответствующей палаты Федерального Собрания Российской Федерации.
9. В решение о порядке предоставления субсидии включается следующая информация:
а) наименование главного распорядителя бюджетных средств;
б) наименование бюджета бюджетной системы Российской Федерации, из которого предоставляется субсидия;
в) наименование национального проекта, государственной программы Российской Федерации (государственной программы субъекта Российской Федерации, муниципальной программы) (далее - государственная (муниципальная) программа), структурного элемента государственной (муниципальной) программы, в случае если субсидия предоставляется в целях реализации соответствующего национального проекта, государственной (муниципальной) программы;
г) наименование субсидии;
д) цель предоставления субсидии;
е) утратил силу. - Постановление Правительства РФ от 11.11.2024 N 1528;
ж) тип субсидии, определенный в соответствии с установленным Министерством финансов Российской Федерации порядком проведения мониторинга достижения результата предоставления субсидии (далее - порядок проведения мониторинга достижения результата);
з) тип результата предоставления субсидии, определенный в соответствии с порядком проведения мониторинга достижения результата;
и) код результата предоставления субсидии, определенный в соответствии с порядком, установленным Министерством финансов Российской Федерации, наименование результата предоставления субсидии, а также при необходимости характеристика (характеристики) результата предоставления субсидии.
Под результатом предоставления субсидии понимается результат деятельности (действий) получателя субсидии, а также результат деятельности (действий) иного лица в случае последующего предоставления получателем субсидии средств, источником финансового обеспечения которых является субсидия, иным лицам. Результат предоставления субсидии должен быть конкретным, измеримым и соответствовать целям предоставления субсидии.
Под характеристиками результата предоставления субсидии понимаются дополнительные количественные параметры, которым должен соответствовать результат предоставления субсидии (далее - характеристика результата).
В случае если субсидия предоставляется из федерального бюджета в целях реализации структурных элементов государственных программ Российской Федерации, результат предоставления субсидии, его тип и характеристика (характеристики) результата указываются в соответствии с информацией о мероприятии (результате), типе мероприятия (результата) и его характеристиках, содержащихся в паспортах структурных элементов государственных программ Российской Федерации. Для мероприятий (результатов) структурных элементов государственных программ Российской Федерации, информация о которых не составляет государственную или иную охраняемую законом тайну и (или) не относится к сведениям ограниченного доступа, соответствующая информация в решении о порядке предоставления субсидии формируется в системе "Электронный бюджет" автоматически.
В случае если субсидия предоставляется из бюджета субъекта Российской Федерации (местного бюджета) в целях реализации структурных элементов государственных (муниципальных) программ, результат предоставления субсидии, его тип, характеристики результата указываются в соответствии с информацией о мероприятии (результате), типе мероприятия (результата) и его характеристиках (при наличии), содержащихся в паспортах структурных элементов государственных (муниципальных) программ.
В решении о порядке предоставления субсидии допускается указание 2 и более результатов предоставления субсидии в случае, если субсидия предоставляется:
для достижения 2 и более мероприятий (результатов) структурных элементов государственных (муниципальных) программ (далее - объединенная субсидия);
для достижения результатов предоставления субсидии, не включенных в государственные (муниципальные) программы.
Срок достижения результата предоставления субсидии, его значение и характеристика результата определяются в соглашении, указанном в пункте 10 настоящих Правил. Срок достижения результата предоставления субсидии (в случае если субсидия предоставляется из федерального бюджета в целях реализации структурного элемента государственной программы Российской Федерации) не может быть позднее срока достижения соответствующего мероприятия (результата) структурного элемента государственной программы Российской Федерации.
Суммарное значение результата предоставления субсидии по всем получателям такой субсидии не может быть меньше значения мероприятия (результата) структурного элемента государственной программы Российской Федерации, в рамках которого осуществляется предоставление субсидии;
к) один из следующих способов предоставления субсидии:
финансовое обеспечение затрат;
возмещение недополученных доходов и (или) возмещение затрат;
л) способ осуществления отбора получателей субсидии, предусмотренный пунктом 3 статьи 78.5 Бюджетного кодекса Российской Федерации, - запрос предложений или конкурс (в случае если получатель субсидии определяется по результатам отбора);
м) требования, определенные в соответствии с пунктом 19 настоящих Правил, которым должны соответствовать юридические лица, индивидуальные предприниматели, а также физические лица - производители товаров, работ, услуг, участвующие в отборе на получение субсидии в соответствии с порядком проведения отбора получателей субсидии, установленным Правительством Российской Федерации в соответствии с пунктом 4 статьи 78.5 Бюджетного кодекса Российской Федерации, а также получатели субсидии, определенные в соответствии с пунктом 20 настоящих Правил, а также при необходимости информация, предусмотренная абзацем третьим подпункта "а" пункта 18 настоящих Правил;
н) наименование получателя субсидии, определенного в соответствии с пунктом 20 настоящих Правил, а также информация, предусмотренная пунктом 21 настоящих Правил;
о) порядок расчета размера субсидии с учетом положений пунктов 14 и 15 настоящих Правил или размер субсидии в соответствии с пунктом 24 настоящих Правил;
п) понятия, используемые для целей решения о порядке предоставления субсидии (при необходимости);
р) наименование отчетности, представляемой получателем субсидии, предусмотренной пунктом 32 настоящих Правил (при необходимости);
с) информация о возможности заключения соглашения о предоставлении субсидии с иным юридическим лицом в соответствии с пунктом 12 настоящих Правил;
т) направления расходов, определенные в соответствии с подпунктом "а" пункта 25 настоящих Правил, а также при необходимости наименования затрат, произведенных получателем субсидии за счет собственных средств, возмещаемых за счет субсидии, определенные в соответствии с подпунктом "ж" пункта 25 настоящих Правил, в случае предоставления субсидий в порядке финансового обеспечения затрат в связи с производством (реализацией) товаров, выполнением работ, оказанием услуг;
у) наименование операций, для осуществления которых получатель субсидии приобретает за счет средств субсидии иностранную валюту (при необходимости);
ф) направления недополученных доходов (затрат), на возмещение которых предоставляется субсидия, и перечень документов, подтверждающих фактически недополученные доходы (затраты), определенные в соответствии с пунктом 26 настоящих Правил;
х) порядок расчета размера средств субсидии, подлежащих возврату в бюджет, из которого предоставлена субсидия, в случае недостижения значений результата предоставления субсидии, отличный от порядка, установленного пунктами 37 - 39 настоящих Правил (при необходимости);
ц) штрафные санкции, определенные в соответствии с пунктом 40 настоящих Правил (при необходимости);
ч) необходимость внедрения современных технологий, включая решения на базе искусственного интеллекта (в отношении субсидий, предусмотренных пунктом 69 настоящих Правил);
ш) иные условия, устанавливаемые в случае необходимости, в том числе с учетом особенностей, предусмотренных:
пунктом 43 настоящих Правил, - при предоставлении субсидий, предусматривающих последующее предоставление получателем субсидии средств иным лицам;
пунктом 44 настоящих Правил, - при предоставлении грантов в форме субсидий в целях премирования, поощрения, предоставления стипендий;
пунктом 45 настоящих Правил, - при предоставлении субсидий из бюджетов отдельных субъектов Российской Федерации;
пунктами 46 - 52 настоящих Правил, - при предоставлении субсидий кредитным организациям в целях возмещения недополученных ими доходов в связи с предоставлением кредитов;
пунктами 53 и 54 настоящих Правил, - при предоставлении субсидий в целях оказания государственной поддержки инновационной деятельности, а также на проведение научно-исследовательских, опытно-конструкторских и (или) технологических работ гражданского назначения;
пунктами 55 - 60 настоящих Правил, - при предоставлении субсидий в целях оказания государственной поддержки в отдельных отраслях экономики;
пунктами 61 - 63 настоящих Правил, - при предоставлении субсидий в целях оказания государственной поддержки развития агропромышленного комплекса;
пунктами 64 - 67 настоящих Правил, - при предоставлении субсидий в целях государственной поддержки социальной сферы.
III. Общие условия и порядок предоставления субсидий
10. Субсидия предоставляется на основании соглашения, заключаемого между главным распорядителем бюджетных средств и получателем субсидии, с соблюдением положений, предусмотренных настоящими Правилами (далее - соглашения).
При необходимости внесения в соглашение изменений заключается дополнительное соглашение к соглашению или дополнительное соглашение о его расторжении.
Соглашения о предоставлении субсидии из федерального бюджета, а также дополнительные соглашения к таким соглашениям заключаются в соответствии с типовой формой, установленной Министерством финансов Российской Федерации в системе "Электронный бюджет" (за исключением соглашений о предоставлении субсидий, заключаемых с соблюдением требований о защите государственной тайны и иной охраняемой законом тайны, соглашений о предоставлении субсидий, содержащих сведения ограниченного доступа (при отсутствии технической возможности), которые формируются и подписываются сторонами в форме бумажного документа).
11. В случае если источником финансового обеспечения расходных обязательств субъекта Российской Федерации (муниципального образования) по предоставлению субсидий из бюджета субъекта Российской Федерации (местного бюджета) являются межбюджетные трансферты, имеющие целевое назначение, из федерального бюджета бюджету субъекта Российской Федерации, соглашения, а также дополнительные соглашения к таким соглашениям заключаются в соответствии с типовой формой, установленной Министерством финансов Российской Федерации для соглашений о предоставлении субсидий из федерального бюджета в системе "Электронный бюджет" (за исключением соглашений о предоставлении субсидий, заключаемых с соблюдением требований о защите государственной тайны и иной охраняемой законом тайны, соглашений о предоставлении субсидий, содержащих сведения ограниченного доступа (при отсутствии технической возможности), которые формируются и подписываются сторонами в форме бумажного документа).
Соглашения о предоставлении субсидий из бюджета субъекта Российской Федерации (местного бюджета), не указанных в абзаце первом настоящего пункта, а также дополнительные соглашения к таким соглашениям заключаются в соответствии с типовыми формами, установленными финансовым органом субъекта Российской Федерации (муниципального образования).
12. Соглашение может заключаться между главным распорядителем бюджетных средств, получателем субсидии, а также иным юридическим лицом в случае, если участие иного юридического лица в заключении соглашения предусмотрено решением о порядке предоставления субсидии.
13. В соглашение включаются условия предоставления субсидии, определенные настоящими Правилами, а также решением о порядке предоставления субсидии, в том числе об обеспечении главным распорядителем бюджетных средств согласования новых условий соглашения в соответствии с общими требованиями, утвержденными Правительством Российской Федерации, в соответствии с пунктом 6 статьи 161 Бюджетного кодекса Российской Федерации, или о расторжении соглашения при недостижении согласия по новым условиям в случае уменьшения главному распорядителю бюджетных средств ранее доведенных лимитов бюджетных обязательств на предоставление субсидии, приводящего к невозможности предоставления субсидии в размере, определенном в соглашении.
14. Порядок расчета размера субсидии, предоставляемой по результатам отбора получателей субсидии, определяется в решении о порядке предоставления субсидии с указанием информации, обосновывающей ее размер (формулы расчета и порядок их применения, нормативы затрат, статистические данные и иная информация исходя из результатов предоставления субсидии), с учетом:
а) размера затрат (части затрат), необходимых для достижения единицы значения результата предоставления субсидии и (или) единицы значения характеристики результата;
б) размера затрат (части затрат) (недополученных доходов), на финансовое обеспечение (возмещение) которых предоставляется субсидия, рассчитанного на одного получателя субсидии (используется в случае определения получателя субсидии по результатам отбора путем запроса предложений).
15. Размер затрат (части затрат) (недополученных доходов), указанных в пункте 14 настоящих Правил, определяется исходя из следующих составляющих (если иное не установлено решением о порядке предоставления субсидии):
стоимость товаров, работ, услуг, необходимых для достижения результата предоставления субсидии, определенная на основании общедоступной информации о ценах товаров, работ, услуг в соответствии с частью 18 статьи 22 Федерального закона "О контрактной системе в сфере закупок товаров, работ, услуг для обеспечения государственных и муниципальных нужд";
средняя заработная плата одного работника, непосредственно связанного с достижением результата предоставления субсидии, не превышающая размера среднемесячной начисленной заработной платы таких работников по соответствующему субъекту Российской Федерации, исчисляемая по данным Федеральной службы государственной статистики за предыдущий финансовый год.
16. Субсидии, подлежащие в соответствии с бюджетным законодательством Российской Федерации казначейскому сопровождению, перечисляются на казначейский счет для осуществления и отражения операций с денежными средствами участников казначейского сопровождения, открытый в территориальном органе Федерального казначейства в сроки, предусмотренные нормативными правовыми актами, регулирующими казначейское сопровождение.
17. Субсидии, не подлежащие в соответствии с бюджетным законодательством Российской Федерации казначейскому сопровождению, перечисляются не позднее 10-го рабочего дня со дня принятия решения о предоставлении субсидии или в иной срок, установленный соглашением, на счета, открытые получателям субсидий в учреждениях Центрального банка Российской Федерации или кредитных организациях, если иное не установлено законодательством Российской Федерации, после принятия решения по итогам проверки главным распорядителем бюджетных средств или иным юридическим лицом, предусмотренным решением о порядке предоставления субсидии в соответствии с пунктом 12 настоящих Правил, подтверждающих документов, представленных получателем субсидии, на соответствие их целям и условиям предоставления субсидии.
18. Получатель субсидии должен соответствовать следующим требованиям:
а) получатель субсидии не является иностранным юридическим лицом, в том числе местом регистрации которого является государство или территория, включенные в утвержденный Министерством финансов Российской Федерации перечень государств и территорий, используемых для промежуточного (офшорного) владения активами в Российской Федерации (далее - офшорные компании), а также российским юридическим лицом, в уставном (складочном) капитале которого доля прямого или косвенного (через третьих лиц) участия офшорных компаний в совокупности превышает 25 процентов.
При расчете доли участия офшорных компаний в капитале российских юридических лиц не учитывается прямое и (или) косвенное участие офшорных компаний в капитале публичных акционерных обществ (в том числе со статусом международной компании), акции которых обращаются на организованных торгах в Российской Федерации, а также косвенное участие таких офшорных компаний в капитале других российских юридических лиц, реализованное через участие в капитале указанных публичных акционерных обществ.
Указанное требование не применяется в случаях, установленных законодательством Российской Федерации, с указанием в решении о порядке предоставления субсидии реквизитов соответствующих актов;
б) получатель субсидии не находится в перечне организаций и физических лиц, в отношении которых имеются сведения об их причастности к экстремистской деятельности или терроризму;
в) получатель субсидии не получает средства из федерального бюджета (бюджета субъекта Российской Федерации, местного бюджета), из которого планируется предоставление субсидии в соответствии с решением о порядке предоставления субсидии, на основании иных нормативных правовых актов Российской Федерации (нормативных правовых актов субъекта Российской Федерации, муниципальных правовых актов), решений о порядке предоставления субсидии на цели, установленные решением о порядке предоставления субсидии;
г) получатель субсидии не является иностранным агентом в соответствии с Федеральным законом "О контроле за деятельностью лиц, находящихся под иностранным влиянием";
д) получатель субсидии не находится в составляемых в рамках реализации полномочий, предусмотренных главой VII Устава ООН, Советом Безопасности ООН или органами, специально созданными решениями Совета Безопасности ООН, перечнях организаций и физических лиц, связанных с террористическими организациями и террористами или с распространением оружия массового уничтожения;
е) у получателя субсидии отсутствует просроченная задолженность по возврату в бюджет бюджетной системы Российской Федерации, из которого планируется предоставление субсидии в соответствии с решением о порядке предоставления субсидии, иных субсидий, бюджетных инвестиций, а также иная просроченная (неурегулированная) задолженность по денежным обязательствам перед публично-правовым образованием, из бюджета которого планируется предоставление субсидии в соответствии с решением о порядке предоставления субсидии (за исключением случаев, установленных соответственно Правительством Российской Федерации, высшим исполнительным органом субъекта Российской Федерации, местной администрацией);
ж) получатель субсидии не является лицом, нарушившим условие о внедрении современных технологий, включая решения на базе искусственного интеллекта, установленное в соответствии с подпунктом "а" пункта 69 настоящих Правил.
19. В решении о порядке предоставления субсидии могут устанавливаться следующие требования, которым получатель субсидии должен соответствовать:
а) у получателя субсидии на едином налоговом счете отсутствует или не превышает размера, определенного пунктом 3 статьи 47 Налогового кодекса Российской Федерации, задолженность по уплате налогов, сборов и страховых взносов в бюджеты бюджетной системы Российской Федерации;
б) получатель субсидии, являющийся юридическим лицом, не находится в процессе реорганизации (за исключением реорганизации в форме присоединения к юридическому лицу, являющемуся получателем субсидии, другого юридического лица), ликвидации, в отношении его не введена процедура банкротства, деятельность получателя субсидии не приостановлена в порядке, предусмотренном законодательством Российской Федерации, получатель субсидии, являющийся индивидуальным предпринимателем, не прекратил деятельность в качестве индивидуального предпринимателя;
в) в реестре дисквалифицированных лиц отсутствуют сведения о дисквалифицированных руководителе, членах коллегиального исполнительного органа, лице, исполняющем функции единоличного исполнительного органа, или главном бухгалтере (при наличии) получателя субсидии, являющегося юридическим лицом, об индивидуальном предпринимателе и о физическом лице - производителе товаров, работ, услуг, являющихся получателями субсидии;
г) иные требования, не указанные в подпунктах "а - в" настоящего пункта, определенные решением о порядке предоставления субсидии с учетом положений, предусмотренных порядком проведения отбора получателей субсидии, установленным Правительством Российской Федерации в соответствии с пунктом 4 статьи 78.5 Бюджетного кодекса Российской Федерации.
IV. Предоставление субсидии получателю субсидии,
определенному в соответствии с подпунктом 1 пункта 2
статьи 78.5 Бюджетного кодекса Российской Федерации
20. В случае если получатель субсидии определен в соответствии с международным договором Российской Федерации, федеральным законом, законом (решением) о бюджете, решениями Президента Российской Федерации, высшего должностного лица субъекта Российской Федерации, главы муниципального образования (за исключением главы муниципального образования, входящего в состав представительного органа муниципального образования и исполняющего полномочия его председателя), решениями, принимаемыми Правительством Российской Федерации, высшими исполнительными органами субъекта Российской Федерации (местными администрациями) в целях использования бюджетных ассигнований, зарезервированных в составе бюджетных ассигнований, утвержденных законом (решением) о бюджете (далее - конкретный получатель субсидии), в решении о порядке предоставления субсидии указываются наименование получателя субсидии, а также реквизиты документов, определенных в соответствии с подпунктом 1 пункта 2 статьи 78.5 Бюджетного кодекса Российской Федерации, на основании которых определен конкретный получатель субсидии.
21. В случае если проверка на соответствие требованиям, установленным пунктом 18 настоящих Правил и решением о порядке предоставления субсидии в соответствии с пунктом 19 настоящих Правил, не осуществляется автоматически в соответствии с абзацем вторым пункта 22 настоящих Правил, в решении о порядке предоставления субсидии определяются перечень документов, представляемых конкретным получателем субсидии, дата, по состоянию на которую конкретным получателем субсидии представляются документы для подтверждения его соответствия указанным требованиям, дата, по состоянию на которую конкретный получатель субсидии должен соответствовать указанным требованиям, и требования к указанным документам.
22. Главный распорядитель бюджетных средств осуществляет проверку конкретного получателя субсидии на соответствие требованиям, установленным пунктом 18 настоящих Правил и решением о порядке предоставления субсидии в соответствии с пунктом 19 настоящих Правил, на основании документов, предусмотренных пунктом 21 настоящих Правил.
Главный распорядитель бюджетных средств не вправе требовать представление документов, указанных в абзаце первом настоящего пункта, для подтверждения соответствия требованиям, указанным в пункте 18 и подпунктах "а" - "в" пункта 19 настоящих Правил, в случае если проверка конкретного получателя субсидии на соответствие указанным требованиям осуществляется автоматически в системе "Электронный бюджет" (по данным государственных информационных систем), в том числе с использованием единой системы межведомственного электронного взаимодействия (при наличии технической возможности автоматической проверки).
В случае отсутствия технической возможности автоматической проверки, указанной в абзаце втором настоящего пункта, главный распорядитель бюджетных средств вправе запросить у конкретного получателя субсидии документы для подтверждения его соответствия требованиям, указанным в пункте 18 и подпунктах "а" - "в" пункта 19 настоящих Правил.
Ответственность за достоверность сведений, содержащихся в представленных конкретным получателем субсидии в соответствии с пунктом 21 настоящих Правил документах, несет конкретный получатель субсидии.
Взаимодействие главного распорядителя бюджетных средств с конкретным получателем субсидии осуществляется с использованием документов в электронной форме с учетом положений пункта 2 настоящих Правил.
23. Главный распорядитель бюджетных средств принимает решение о предоставлении субсидии или об отказе в предоставлении субсидии в течение 10 рабочих дней со дня, следующего за днем получения документов, предусмотренных пунктом 21 настоящих Правил (за исключением субсидий, предоставляемых в порядке возмещения недополученных доходов и (или) возмещения затрат в связи с производством товаров, выполнением работ, оказанием услуг, при условии наличия достигнутого результата предоставления субсидии и единовременного предоставления субсидии, решение о предоставлении или об отказе в предоставлении которых принимается в срок, не превышающий 20 рабочих дней со дня, следующего за днем представления документов).
Основаниями для отказа конкретному получателю субсидии в предоставлении субсидии являются:
несоответствие документов, предусмотренных пунктом 21 настоящих Правил, требованиям, установленным решением о порядке предоставления субсидии (в случае установления таких требований), или непредставление (представление не в полном объеме) указанных документов;
недостоверность информации, содержащейся в документах, представленных конкретным получателем субсидии;
иные основания, определенные в решении о порядке предоставления субсидии.
В случае несоответствия конкретного получателя субсидии требованиям, установленным пунктами 18 и 19 настоящих Правил, главный распорядитель бюджетных средств принимает решение о предоставлении субсидии после устранения конкретным получателем субсидии не позднее 10-го рабочего дня со дня, следующего за днем получения отказа в предоставлении субсидии, указанного несоответствия.
Повторная проверка конкретного получателя субсидии на соответствие установленным требованиям осуществляется в соответствии с пунктом 22 настоящих Правил и настоящим пунктом.
24. Субсидия конкретному получателю предоставляется в размере, определенном законом (решением) о бюджете, решениями Президента Российской Федерации, высшего должностного лица субъекта Российской Федерации, главы муниципального образования (за исключением главы муниципального образования, входящего в состав представительного органа муниципального образования и исполняющего полномочия его председателя), Правительства Российской Федерации, высшего исполнительного органа субъекта Российской Федерации (местной администрации) в целях использования бюджетных ассигнований, зарезервированных в составе бюджетных ассигнований, утвержденных законом (решением) о бюджете.
V. Условия предоставления субсидии в порядке финансового
обеспечения затрат в связи с производством (реализацией)
товаров, выполнением работ, оказанием услуг
25. При предоставлении субсидии в порядке финансового обеспечения затрат в связи с производством (реализацией) товаров, выполнением работ, оказанием услуг в дополнение к условиям, предусмотренным разделом III настоящих Правил, определяющим общие условия и порядок предоставления субсидий, в соглашение включаются следующие условия предоставления субсидии:
а) направления расходов, на финансовое обеспечение которых предоставляется субсидия, определенные решением о порядке предоставления субсидии;
б) согласие получателя субсидии (за исключением государственных (муниципальных) унитарных предприятий, хозяйственных товариществ и обществ с участием публично-правовых образований в их уставных (складочных) капиталах, коммерческих организаций с участием таких товариществ и обществ в их уставных (складочных) капиталах) на осуществление в отношении его контроля, предусмотренного пунктом 36 настоящих Правил;
в) обеспечение включения в договоры (соглашения), заключенные в целях исполнения обязательств по соглашениям, условий о согласии лиц, являющихся поставщиками (подрядчиками, исполнителями) по указанным договорам (соглашениям), на осуществление в отношении их контроля, предусмотренного пунктом 36 настоящих Правил;
г) возможность осуществления расходов, источником финансового обеспечения которых являются не использованные в отчетном финансовом году остатки субсидий, при принятии главным распорядителем бюджетных средств в установленном в соответствии с законодательством Российской Федерации порядке решения о наличии потребности в указанных средствах или возврате указанных средств в бюджет при отсутствии в них потребности;
д) запрет приобретения получателями субсидий - юридическими лицами, а также иными юридическими лицами, получающими средства на основании договоров (соглашений), заключенных с получателями субсидий, за счет полученных из соответствующего бюджета бюджетной системы Российской Федерации средств иностранной валюты, за исключением операций, осуществляемых в соответствии с валютным законодательством Российской Федерации при закупке (поставке) высокотехнологичного импортного оборудования, сырья и комплектующих изделий, а также иных случаев, предусмотренных пунктом 5.1 статьи 78 Бюджетного кодекса Российской Федерации и пунктом 3 статьи 78.1 Бюджетного кодекса Российской Федерации;
е) казначейское сопровождение средств в случаях и порядке, которые установлены в соответствии с бюджетным законодательством Российской Федерации;
ж) возможность возмещения за счет средств субсидии затрат, произведенных получателем субсидии за счет собственных средств, в случаях, определенных решением о порядке предоставления субсидии;
з) казначейское сопровождение средств, предоставляемых на поддержку участников специальной военной операции, иных лиц и членов их семей.
VI. Условия предоставления субсидии в порядке
возмещения недополученных доходов и (или) возмещения затрат
в связи с производством (реализацией) товаров, выполнением
работ, оказанием услуг
26. При предоставлении субсидии в порядке возмещения недополученных доходов и (или) возмещения затрат в связи с производством (реализацией) товаров, выполнением работ, оказанием услуг в соглашение в дополнение к условиям, предусмотренным разделом III настоящих Правил, определяющим общие условия и порядок предоставления субсидий, включаются следующие условия предоставления субсидии:
а) направления недополученных доходов (затрат), на возмещение которых предоставляется субсидия, определенные решением о порядке предоставления субсидии;
б) перечень и сроки представления документов, подтверждающих фактически недополученные доходы (произведенные затраты), определенные решением о порядке предоставления субсидии.
27. Субсидии на возмещение недополученных доходов и (или) возмещение затрат в связи с производством (реализацией) товаров, выполнением работ, оказанием услуг предоставляются без заключения соглашения при условии наличия достигнутого результата предоставления субсидии и единовременного предоставления субсидии, в случае если это предусмотрено решением о предоставлении субсидии.
VII. Требования к отчетности о предоставлении субсидии,
мониторинг достижения результата предоставления субсидии
28. Мониторинг достижения результата предоставления субсидии, значения которого определены соглашением, и событий, отражающих факт завершения соответствующего мероприятия по получению результата предоставления субсидии (контрольная точка), осуществляется в порядке и по формам, которые установлены порядком проведения мониторинга достижения результата, если иное не предусмотрено настоящими Правилами.
Контрольная точка должна соответствовать типам контрольных точек, установленных порядком проведения мониторинга достижения результата.
В целях проведения мониторинга достижения результата предоставления субсидии главный распорядитель бюджетных средств формирует план мероприятий по достижению результата предоставления субсидии по форме, установленной порядком проведения мониторинга достижения результата, в котором отражаются контрольные точки по каждому результату предоставления субсидии. План мероприятий по достижению результата предоставления субсидии формируется с указанием не менее одной контрольной точки в квартал.
Сроки достижения контрольных точек по каждому результату предоставления субсидии не могут быть позднее сроков достижения соответствующих контрольных точек мероприятий (результатов) структурного элемента государственной программы Российской Федерации (в случае если субсидия предоставляется из федерального бюджета в целях реализации структурного элемента государственной программы Российской Федерации).
Оценка достижения получателем субсидии результата предоставления субсидии осуществляется главным распорядителем бюджетных средств на основании отчета о реализации плана мероприятий по достижению результата предоставления субсидии, формируемого получателем субсидии по форме, установленной порядком проведения мониторинга достижения результата.
29. Получатель субсидии представляет в сроки, установленные соглашением, но не реже одного раза в квартал (не позднее 10-го рабочего дня месяца, следующего за отчетным кварталом, или срока, предусмотренного решением о порядке предоставления субсидии, который не может быть позднее 10-го рабочего дня месяца, следующего за отчетным кварталом, а также не позднее 10-го рабочего дня после достижения значения результата предоставления субсидии) (с учетом положений, предусмотренных пунктами 29(1), 35, подпунктом "д" пункта 51 и пунктом 60 настоящих Правил), по формам, определенным типовыми формами соглашений, предусмотренными пунктами 10 и 11 настоящих Правил:
а) отчет о достижении значений результатов предоставления субсидий, а также характеристик результатов (при их установлении);
б) отчет об осуществлении расходов, источником финансового обеспечения которых является субсидия (в отношении субсидий, предоставляемых в порядке финансового обеспечения затрат в связи с производством (реализацией) товаров, выполнением работ, оказанием услуг).
29(1). Отчеты, предусмотренные пунктом 29 настоящих Правил, формируются нарастающим итогом с даты заключения соглашения и (или) с начала текущего финансового года по формам, определенным типовыми формами соглашений, предусмотренными пунктами 10 и 11 настоящих Правил.
30. Отчет, предусмотренный подпунктом "а" пункта 29 настоящих Правил, представляется не позднее 10 рабочих дней со дня, следующего за днем заключения соглашения, - в отношении субсидий, предоставляемых в порядке возмещения недополученных доходов и (или) возмещения затрат в связи с производством товаров, выполнением работ, оказанием услуг, при условии наличия достигнутого результата предоставления субсидии и единовременного предоставления субсидии.
Отчет, предусмотренный подпунктом "а" пункта 29 настоящих Правил, представляется единовременно вместе с документами, необходимыми для получения субсидии, - в отношении субсидий, указанных в пункте 27 настоящих Правил.
Главный распорядитель бюджетных средств осуществляет проверку и принятие отчета, указанного в настоящем пункте, в срок, не превышающий 20 рабочих дней со дня представления такого отчета.
Мониторинг достижения результата предоставления субсидии, предусмотренный пунктом 28 настоящих Правил, не проводится в отношении субсидий, предоставляемых в порядке возмещения недополученных доходов и (или) возмещения затрат в связи с производством товаров, выполнением работ, оказанием услуг, при условии наличия достигнутого результата предоставления субсидии и единовременного предоставления субсидии.
31. Отчетность, предусмотренная настоящими Правилами, в отношении субсидий, предоставляемых из федерального бюджета, а также из бюджета субъекта Российской Федерации (местного бюджета), если источником финансового обеспечения расходных обязательств субъекта Российской Федерации (муниципального образования) по предоставлению указанных субсидий являются межбюджетные трансферты, имеющие целевое назначение, из федерального бюджета бюджету субъекта Российской Федерации, представляется с использованием системы "Электронный бюджет".
32. Главный распорядитель бюджетных средств при необходимости устанавливает в решении о порядке предоставления субсидии наименование дополнительной отчетности, подлежащей представлению получателем субсидии, в сроки и по форме, которые определены соглашением.
33. Главный распорядитель бюджетных средств осуществляет проверку и принятие отчетов, представленных получателем субсидии в соответствии с пунктом 29 настоящих Правил (за исключением отчетов, указанных в пунктах 30 и 34 настоящих Правил), в срок, не превышающий 30 рабочих дней со дня представления таких отчетов, с возможностью продления указанного срока по решению Правительственной комиссии по вопросам оптимизации и повышения эффективности бюджетных расходов, высшего исполнительного органа субъекта Российской Федерации, местной администрации.
34. Главный распорядитель бюджетных средств осуществляет проверку и принятие отчетов, представленных получателем субсидии в соответствии с пунктом 29 настоящих Правил, в срок, определенный решением о порядке предоставления субсидии, но не превышающий 60 рабочих дней со дня представления таких отчетов, - в отношении:
а) субсидий на возмещение недополученных доходов в связи с производством (реализацией) товаров, выполнением работ, оказанием услуг;
б) объединенной субсидии;
в) субсидий на финансовое обеспечение затрат в связи с производством (реализацией) товаров, выполнением работ, оказанием услуг, предусматривающих заключение соглашения с иным юридическим лицом, предусмотренным пунктом 12 настоящих Правил;
г) субсидий, предусматривающих более 5 характеристик результатов.
35. В отношении субсидий, срок достижения результата предоставления которых превышает 12 месяцев, требование о представлении отчета, предусмотренного подпунктом "а" пункта 29 настоящих Правил, не реже одного раза в квартал не применяется.
Отчет, предусмотренный подпунктом "а" пункта 29 настоящих Правил, представляется получателями субсидий, указанных в абзаце первом настоящего пункта, не реже одного раза в год (не позднее 10-го рабочего дня первого месяца года, следующего за отчетным годом, или срока, предусмотренного решением о порядке предоставления субсидии, который не может быть позднее 10-го рабочего дня первого месяца года, следующего за отчетным годом, а также не позднее 10-го рабочего дня после достижения значения результата предоставления субсидии).
VIII. Контроль за соблюдением целей, условий и порядка
предоставления субсидий и ответственность за их несоблюдение
36. Контроль за соблюдением получателем субсидии условий и порядка предоставления субсидий, в том числе в части достижения результатов предоставления субсидии, осуществляется главным распорядителем бюджетных средств, а также органами государственного (муниципального) финансового контроля в соответствии со статьями 268.1 и 269.2 Бюджетного кодекса Российской Федерации.
37. В случае недостижения значений результатов предоставления субсидии, выявленного в том числе по фактам проверок, проведенных главным распорядителем бюджетных средств и (или) органом государственного (муниципального) финансового контроля, получателем субсидии осуществляется возврат средств субсидий в бюджет, из которого предоставлена субсидия, в размере средств (Vвозврата), рассчитываемом (если иной порядок не определен решением о порядке предоставления субсидии) по формуле:

где:
Vсубсидии - размер субсидии, предоставленной получателю субсидии в отчетном финансовом году;
k - коэффициент возврата субсидии.
38. Коэффициент возврата субсидии (если большее значение результата предоставления субсидии отражает большую эффективность использования субсидии) (k) определяется по формуле:

где:
T - фактически достигнутое значение результата предоставления субсидии на отчетную дату;
S - плановое значение результата предоставления субсидии, установленное соглашением.
39. Коэффициент возврата субсидии (если большее значение результата предоставления субсидии отражает меньшую эффективность использования субсидии) определяется по формуле:

В случае недостижения получателем субсидии в установленные соглашением сроки значений результатов предоставления объединенной субсидии размер средств, подлежащих возврату в бюджет, из которого предоставлена субсидия, рассчитывается как сумма размеров средств, подлежащих возврату в соответствующий бюджет, по каждому из результатов предоставления субсидии исходя из суммы предоставленной субсидии.
При недостижении получателем субсидии в установленные соглашением сроки значения результата предоставления субсидии получатель субсидии уплачивает пени в размере одной трехсотшестидесятой ключевой ставки Центрального банка Российской Федерации, действующей на дату начала начисления пени, от суммы субсидии за каждый день просрочки (с первого дня, следующего за плановой датой достижения результата предоставления субсидии, до дня фактического достижения результата предоставления субсидии либо возврата субсидии (части субсидии) (если иной порядок не определен решением о порядке предоставления субсидии).
В случае недостижения получателем субсидии в установленные соглашением сроки значения результата предоставления объединенной субсидии размер пени рассчитывается в отношении каждого не достигнутого в установленные соглашением сроки значения результата предоставления субсидии.
Средства субсидии подлежат возврату в доход бюджета, из которого предоставлена субсидия, на основании:
требования главного распорядителя бюджетных средств, срок и порядок направления которого определяются в решении о порядке предоставления субсидии, - не позднее 10-го рабочего дня со дня получения получателем субсидии указанного требования (если иной порядок не установлен решением о порядке предоставления субсидии);
представления и (или) предписания органа государственного (муниципального) финансового контроля - в сроки, установленные в соответствии с бюджетным законодательством Российской Федерации.
40. В случае нарушения получателем субсидии условий, установленных при предоставлении субсидии, выявленного в том числе по фактам проверок, проведенных главным распорядителем бюджетных средств и (или) органом государственного (муниципального) финансового контроля (за исключением случая недостижения значения результата предоставления субсидии), к получателю субсидии применяются штрафные санкции, предусмотренные решением о порядке предоставления субсидии.
41. Требования о возврате средств субсидии, об уплате штрафных санкций, в том числе пеней, предусмотренные пунктами 37 - 40 настоящих Правил, не применяются в случае, если соблюдение условий предоставления субсидий, в том числе исполнение обязательств по достижению значения результата предоставления субсидии, оказалось невозможным вследствие обстоятельств непреодолимой силы.
К обстоятельствам непреодолимой силы не могут быть отнесены такие предпринимательские риски, как нарушение обязанностей со стороны контрагентов получателя субсидии, отсутствие на рынке необходимых для исполнения обязательств товаров, отсутствие у получателя субсидии средств или невозможность выполнять финансовые обязательства, а также финансово-экономический кризис, изменение валютного курса, девальвация национальной валюты.
42. При реорганизации получателя субсидии, являющегося юридическим лицом, в форме слияния, присоединения или преобразования в соглашение вносятся изменения путем заключения дополнительного соглашения к соглашению в части перемены лица в обязательстве с указанием стороны в соглашении юридического лица, являющегося правопреемником.
При реорганизации получателя субсидии, являющегося юридическим лицом, в форме разделения, выделения (за исключением случая, указанного в абзаце пятом настоящего пункта), а также при ликвидации получателя субсидии, являющегося юридическим лицом, или прекращения деятельности получателя субсидии, являющегося индивидуальным предпринимателем (за исключением индивидуального предпринимателя, осуществляющего деятельность в качестве главы крестьянского (фермерского) хозяйства в соответствии с абзацем вторым пункта 5 статьи 23 Гражданского кодекса Российской Федерации), соглашение расторгается с формированием уведомления о расторжении соглашения в одностороннем порядке и акта об исполнении обязательств по соглашению с отражением информации о не исполненных получателем субсидии обязательствах, источником финансового обеспечения которых является субсидия.
Индивидуальный предприниматель, осуществляющий деятельность в качестве главы крестьянского (фермерского) хозяйства в соответствии с абзацем вторым пункта 5 статьи 23 Гражданского кодекса Российской Федерации, вправе передать свои права другому гражданину в соответствии со статьей 18 Федерального закона "О крестьянском (фермерском) хозяйстве", в таком случае в соглашение вносятся изменения путем заключения дополнительного соглашения к соглашению в части перемены лица в обязательстве с указанием стороны в соглашении иного лица, являющегося правопреемником.
Неиспользованный остаток субсидии подлежит возврату в бюджет, из которого предоставлена субсидия.
При реорганизации получателя субсидии, являющегося кредитной организацией, в отношении которой иностранными государствами и международными организациями введены ограничительные меры, в форме выделения в соответствии со статьей 8 Федерального закона "О внесении изменений в отдельные законодательные акты Российской Федерации, признании утратившим силу абзаца шестого части первой статьи 7 Закона Российской Федерации "О государственной тайне", приостановлении действия отдельных положений законодательных актов Российской Федерации и об установлении особенностей регулирования корпоративных отношений в 2022 и 2023 годах" обязательства по соглашению исполняются получателем субсидии в случае, если по результатам такой реорганизации права и обязанности по соглашению сохраняются за получателем субсидии.
IX. Особенности предоставления субсидий,
предусматривающих последующее предоставление получателем
субсидии средств иным лицам
43. В случае если для достижения результатов предоставления субсидии осуществляется последующее предоставление получателем субсидии средств, источником которых является субсидия, иным лицам (за исключением средств, предоставляемых фондами, осуществляющими предоставление грантов Президента Российской Федерации на развитие гражданского общества, реализацию проектов в области культуры, искусства и креативных (творческих) индустрии, а также средств, предоставляемых в целях исполнения контрактов (договоров) на поставку товаров, выполнение работ, оказание услуг), в том числе в качестве вклада в уставный (складочный) капитал юридического лица, гранта (далее - иные лица):
а) в решение о порядке предоставления субсидии в дополнение к информации, предусмотренной пунктом 9 настоящих Правил, включаются положения:
о допустимом размере и порядке расчета размера средств, предоставляемых иным лицам;
о требованиях к иным лицам, аналогичных требованиям, предусмотренным пунктами 18 и 19 настоящих Правил (если иное не предусмотрено решением о порядке предоставления субсидии в отношении требования, предусмотренного подпунктом "а" пункта 18 настоящих Правил);
о результате предоставления субсидии и его характеристиках, устанавливаемых для получателя субсидии, в отношении которых применяются положения, указанные в абзаце четвертом подпункта "и" пункта 9 настоящих Правил;
об иных условиях предоставления средств иным лицам;
о проведении отбора иных лиц (за исключением иных лиц, в отношении которых в соответствии с абзацем третьим настоящего подпункта не применяется требование, предусмотренное подпунктом "а" пункта 18 настоящих Правил) в соответствии с порядком, установленным Правительством Российской Федерации, предусмотренным пунктом 4 статьи 78.5 Бюджетного кодекса Российской Федерации;
б) в соглашение в дополнение к положениям, предусмотренным разделом III настоящих Правил, определяющим общие условия и порядок предоставления субсидий, включается обязанность получателя субсидии определять в договорах, предусматривающих предоставление средств иным лицам, положения:
о достижении иными лицами результатов предоставления субсидии и их характеристик, определенных в соответствии с подпунктом "и" пункта 9 настоящих Правил;
о возврате иными лицами средств, источником финансового обеспечения которых является субсидия, в случае недостижения значений результата предоставления субсидии в целях обеспечения выполнения получателем субсидии требований, установленных пунктами 37 - 39 настоящих Правил;
о согласии иных лиц (за исключением иных лиц, являющихся иностранными юридическими лицами) на осуществление контроля, предусмотренного пунктом 36 настоящих Правил;
о проведении получателем субсидии в отношении иных лиц мониторинга достижения результата предоставления субсидии, предусмотренного пунктом 28 настоящих Правил;
о представлении иными лицами получателю субсидии отчетности, предусмотренной пунктом 29 настоящих Правил;
абзац утратил силу. - Постановление Правительства РФ от 25.12.2025 N 2144.
X. Особенности предоставления грантов в форме субсидий
в целях премирования, поощрения, предоставления стипендий
44. При предоставлении грантов в форме субсидий в целях премирования, поощрения, предоставления стипендий, в том числе для последующего предоставления получателем субсидии средств иным лицам на указанные цели, положения, указанные в абзаце втором подпункта "и" пункта 9 настоящих Правил, не применяются в случае, если это предусмотрено решением о порядке предоставления субсидии.
В случае если решением о порядке предоставления субсидии предусмотрено неприменение положений, указанных в абзаце втором подпункта "и" пункта 9 настоящих Правил, положения, указанные в пунктах 28 и 29 (в части, касающейся отчетности о достижении значений результатов предоставления субсидии и характеристик результата) и 37 - 39 (в части, касающейся возврата средств субсидий в бюджет бюджетной системы Российской Федерации, из которого предоставлены субсидии, в случае недостижения значений результатов предоставления субсидий) настоящих Правил, не применяются.
Гранты в форме субсидий, указанные в абзаце первом настоящего пункта, предоставляются без заключения соглашения, в случае если это предусмотрено решением о порядке предоставления субсидии.
XI. Особенности предоставления субсидий из бюджетов
отдельных субъектов Российской Федерации
45. При предоставлении субсидий из бюджета субъекта Российской Федерации, в бюджете которого расчетная доля межбюджетных трансфертов из федерального бюджета (за исключением субвенций) в течение 2 из 3 последних отчетных финансовых лет не превышала 20 процентов объема собственных доходов консолидированного бюджета субъекта Российской Федерации (за исключением субсидий, источником финансового обеспечения расходных обязательств субъекта Российской Федерации (муниципального образования) по предоставлению которых являются межбюджетные трансферты, имеющие целевое назначение, из федерального бюджета бюджету субъекта Российской Федерации), в соглашение в случае, если это предусмотрено решением о порядке предоставления субсидии, не включаются положения, указанные:
в пункте 29 настоящих Правил (в части представления отчетов не реже одного раза в квартал, а также в части представления отчета об осуществлении расходов в отношении субсидий, предоставляемых в соответствии с пунктом 2 статьи 78.1 Бюджетного кодекса Российской Федерации);
в пункте 17 настоящих Правил (в части предельного срока перечисления субсидии);
в абзаце втором подпункта "и" пункта 9, пунктах 28 и 29 (в части, касающейся отчетности о достижении значений результатов предоставления субсидии и характеристик) и 37 - 39 (в части, касающейся возврата средств субсидий в бюджет бюджетной системы Российской Федерации, из которого предоставлены субсидии, в случае недостижения значений результатов предоставления субсидий) настоящих Правил в отношении грантов в форме субсидий некоммерческим организациям на осуществление уставной деятельности в социально-культурной сфере, а также субсидий на возмещение затрат (недополученных доходов).
XII. Особенности предоставления субсидий кредитным
организациям в целях возмещения недополученных ими доходов
в связи с предоставлением кредитов
46. Предоставление субсидий кредитным организациям в целях возмещения недополученных ими доходов в связи с предоставлением кредитов осуществляется с учетом особенностей, предусмотренных настоящим разделом.
47. Для целей принятия в соответствии с настоящими Правилами решений о предоставлении субсидий кредитным организациям в целях возмещения недополученных ими доходов в связи с предоставлением кредитов используются следующие понятия (если иное не предусмотрено решением о порядке предоставления субсидии):
"возмещаемая процентная ставка" - разность между коммерческой процентной ставкой и льготной процентной ставкой;
"заемщик" - юридическое лицо, индивидуальный предприниматель, физическое лицо, заключившее с кредитной организацией кредитные договоры (соглашения);
"кредитный договор (соглашение)" - кредитный договор (соглашение) и (или) дополнительное соглашение к кредитному договору (соглашению) об открытии кредитной линии, по которому получатель субсидии предоставил заемщику кредит или часть кредита в валюте Российской Федерации;
"кредитная организация" - российская кредитная организация, являющаяся получателем субсидии;
"коммерческая процентная ставка" - процентная ставка по кредиту, установленная кредитным договором (соглашением) вне периода льготного кредитования;
"льготная процентная ставка" - процентная ставка по кредиту, установленная кредитным договором (соглашением) в период льготного кредитования;
"период льготного кредитования" - период, в течение которого получателю субсидии возмещаются недополученные доходы по кредитам в соответствии с решением о порядке предоставления субсидии;
"реестр заемщиков" - сформированный получателем субсидии реестр заемщиков, заключивших с кредитной организацией кредитные договоры (соглашения).
48. Перечисление субсидии осуществляется в размере, рассчитанном как произведение суммы среднедневного остатка ссудной задолженности заемщиков по кредитным договорам (соглашениям) за отчетный период и соответствующей возмещаемой процентной ставки по каждому кредитному договору (соглашению), деленное на количество дней в текущем финансовом году и умноженное на количество дней в отчетном периоде (если иное не предусмотрено решением о порядке предоставления субсидии).
Правила расчета базовых индикаторов при расчете параметров субсидирования процентной ставки за счет средств федерального бюджета по кредитам в зависимости от сроков кредитования, а также определения предельного уровня конечной ставки кредитования, при превышении которого субсидирование процентной ставки не осуществляется, устанавливаются Правительством Российской Федерации.
49. Среднедневной остаток ссудной задолженности заемщика за отчетный период (СДО) определяется по формуле (если иное не предусмотрено решением о порядке предоставления субсидии):

где:
n - количество дней в отчетном периоде;
Oi - остаток ссудной задолженности заемщика по кредитному договору на конец i-го дня в отчетном периоде.
50. Сведения о выданных по льготной процентной ставке кредитах, а также о заключенных кредитных договорах (соглашениях), в отношении которых осуществляется предоставление субсидии, в том числе с указанием информации о заемщике, размере кредита, срока действия кредитного договора, процентной ставки по нему и об остатке ссудной задолженности, ежеквартально представляются получателем субсидии по форме, установленной соглашениями, заключаемыми с кредитными организациями в целях возмещения недополученных ими доходов в связи с предоставлением кредитов по льготной процентной ставке.
51. В соглашения, заключаемые с кредитными организациями в целях возмещения недополученных ими доходов в связи с предоставлением кредитов по льготной процентной ставке, если иное не предусмотрено решением о порядке предоставления субсидии, включаются:
а) требования к кредитным договорам (соглашениям), определенные решением о порядке предоставления субсидии, а также положения о запрете включения в кредитные договоры (соглашения) условий:
о взимании с заемщика комиссий и сборов, иных платежей, за исключением штрафных санкций в случае неисполнения заемщиком условий кредитного договора (соглашения);
об увеличении процентной ставки и размеров платежей заемщика по кредитному договору (соглашению) на период предоставления субсидии;
б) положения о включении в кредитные договоры (соглашения) условий достижения заемщиком результата использования целевого кредита и его характеристик, определенных решением о порядке предоставления субсидии, соответствующих мероприятию (результату) структурного элемента государственной программы Российской Федерации в системе "Электронный бюджет" и его характеристикам (при их установлении в соответствии с подпунктом "и" пункта 9 настоящих Правил) (далее - результат использования целевого кредита), в целях достижения которых предоставляется субсидия;
в) требования к заемщикам, в том числе в отношении заемщиков, являющихся юридическими лицами, аналогичные требованиям, предусмотренным подпунктами "а" - "г" пункта 18 настоящих Правил, а также при необходимости требованиям, предусмотренным пунктом 19 настоящих Правил, и наличие статуса налогового резидента Российской Федерации;
г) сроки и формы представления получателем субсидии:
отчета о целевом использовании кредитов, отражающего достижение результата использования целевого кредита;
сведений о выданных кредитах по льготной процентной ставке, в отношении которых осуществляется предоставление субсидий;
д) сроки представления получателем субсидии отчета, указанного в подпункте "а" пункта 29 настоящих Правил, которые не могут превышать 20 рабочих дней после окончания месяца, следующего за отчетным кварталом, или срока, предусмотренного решением о порядке предоставления субсидии, который не может быть позднее 20-го рабочего дня месяца, следующего за отчетным кварталом, а также не позднее 20-го рабочего дня после достижения результата предоставления субсидии.
52. При предоставлении субсидии кредитным организациям в целях возмещения недополученных ими доходов в связи с предоставлением целевых кредитов по льготной процентной ставке положения, указанные в абзаце четвертом подпункта "и" пункта 9 настоящих Правил, не применяются при условии соблюдения требования, установленного подпунктом "б" пункта 51 настоящих Правил, в части обеспечения достижения заемщиком результата использования целевого кредита.
XIII. Особенности предоставления
субсидий в целях оказания государственной поддержки
инновационной деятельности, а также субсидий на проведение
научно-исследовательских, опытно-конструкторских
и (или) технологических работ гражданского назначения
53. При предоставлении субсидий на развитие инновационной деятельности, предусматривающих последующее предоставление средств иным лицам, в соответствии с главой IV.1 Федерального закона "О науке и государственной научно-технической политике" в соглашение в дополнение к условиям, предусмотренным разделом III настоящих Правил, определяющим общие условия и порядок предоставления субсидий, включаются следующие положения:
а) получатель субсидии принимает решения о последующем предоставлении средств, источником финансового обеспечения которых является субсидия, иным лицам в соответствии с нормативным правовым актом Правительства Российской Федерации, предусмотренным абзацем вторым пункта 3 статьи 16.5 Федерального закона "О науке и государственной научно-технической политике";
б) получатель субсидии осуществляет мониторинг и контроль использования иными лицами средств, источником финансового обеспечения которых является субсидия, в соответствии с нормативным правовым актом, предусмотренным подпунктом "а" настоящего пункта;
в) результаты предоставления субсидии и характеристики определяются с учетом положений нормативного правового акта, предусмотренного подпунктом "а" настоящего пункта, и абзацев первого и второго пункта 10 статьи 16.5 Федерального закона "О науке и государственной научно-технической политике";
г) главный распорядитель бюджетных средств проводит оценку достижения результатов предоставления субсидии в соответствии с нормативным правовым актом, предусмотренным подпунктом "а" настоящего пункта;
д) получатель субсидии несет ответственность за несоблюдение и (или) нарушение порядка предоставления средств иным лицам, в том числе непроведение мониторинга и контроля использования средств иными лицами, несоблюдение методики оценки рисков реализации инновационного проекта и порядка принятия получателем субсидии решения о последующем предоставлении средств иным лицам;
е) последующее предоставление получателем субсидии средств иным лицам осуществляется в формах и в соответствии с условиями их предоставления, которые определены нормативным правовым актом, предусмотренным подпунктом "а" настоящего пункта.
54. При предоставлении субсидий на проведение научно-исследовательских, опытно-конструкторских и (или) технологических работ гражданского назначения в соглашение в дополнение к условиям предоставления субсидии, предусмотренным разделом III настоящих Правил, определяющим общие условия и порядок предоставления субсидий, включаются положения:
а) о получении по итогам прикладных научных исследований и (или) экспериментальных разработок результатов интеллектуальной деятельности, способных к правовой охране в качестве объекта патентных прав;
б) о размещении сведений о проведении научно-исследовательских, опытно-конструкторских и технологических работ гражданского назначения в единой государственной информационной системе учета научно-исследовательских, опытно-конструкторских и технологических работ гражданского назначения в порядке, предусмотренном Положением о единой государственной информационной системе учета научно-исследовательских, опытно-конструкторских и технологических работ гражданского назначения, утвержденным постановлением Правительства Российской Федерации от 12 апреля 2013 г. N 327 "О единой государственной информационной системе учета научно-исследовательских, опытно-конструкторских и технологических работ гражданского назначения";
в) о привлечении средств внебюджетных источников в размере не менее 50 процентов общей стоимости работ по проведению прикладных научных исследований и (или) экспериментальных разработок.
XIV. Особенности предоставления субсидий в целях оказания
государственной поддержки в отдельных отраслях экономики
55. При предоставлении субсидии в целях возмещения недополученных доходов в связи с оказанием транспортных услуг, если иное не предусмотрено решением о предоставлении субсидии, размер субсидии (V) определяется по формуле:

где:
Pтар - тариф на транспортную услугу;
Pлгт - льготный тариф на транспортную услугу;
N - количество оказанных транспортных услуг.
56. При предоставлении субсидии в целях возмещения недополученных доходов в связи с оказанием транспортных услуг, если иное не предусмотрено решением о предоставлении субсидии:
а) в решение о порядке предоставления субсидии включаются требования к имуществу, имеющемуся у получателя субсидии, позволяющему осуществлять транспортные услуги;
б) в соглашении определяются сроки и формы представления:
отчета о количестве фактически выполненных перевозок (перевезенных пассажиров);
отчета о недополученных доходах от предоставления транспортных услуг.
57. При предоставлении субсидии в целях приобретения оборудования в соглашение в дополнение к условиям предоставления субсидии, предусмотренным разделом III настоящих Правил, определяющим общие условия и порядок предоставления субсидий, включается условие об обеспечении сохранности получателем субсидии оборудования, приобретаемого за счет субсидии, в течение срока действия соглашения (за исключением случаев возникновения обстоятельств непреодолимой силы), а также условие о запрете на реализацию, передачу в аренду, залог и (или) отчуждение оборудования, приобретаемого за счет субсидии (за исключением субсидий, предоставляемых лизинговым компаниям).
58. При предоставлении субсидии на возмещение недополученных доходов, возникающих в результате государственного регулирования цен (тарифов) и (или) установления льготных тарифов (предоставления льгот), ресурсоснабжающих организаций в связи с оказанием ими коммунальных услуг, если иное не предусмотрено решением о порядке предоставления субсидии, размер субсидии (V) определяется по формуле:
V = НДтеп + НДвк + НДгвс,
где:
НДтеп - недополученные доходы получателя субсидии, возникающие в связи с установлением льготных тарифов на тепловую энергию;
НДвк - недополученные доходы получателя субсидии, возникающие в связи с установлением льготных тарифов на холодное водоснабжение и водоотведение;
НДгвс - недополученные доходы получателя субсидии, возникающие в связи с установлением льготных тарифов на горячее водоснабжение.
59. При предоставлении субсидии на возмещение недополученных доходов, возникающих в результате государственного регулирования цен (тарифов) и (или) установления льготных тарифов (предоставления льгот), ресурсоснабжающих организаций в связи с оказанием ими коммунальных услуг, если иное не предусмотрено решением о порядке предоставления субсидии, в соглашение в дополнение к условиям, предусмотренным разделом III настоящих Правил, определяющим общие условия и порядок предоставления субсидий, включается условие о представлении получателем субсидии:
а) договоров поставки коммунальных ресурсов в целях предоставления коммунальных услуг населению, заключенных с управляющими организациями, товариществами собственников жилья либо жилищными кооперативами или иными специализированными потребительскими кооперативами. В случае если получатель субсидии является исполнителем коммунальной услуги, наличие указанных договоров не требуется. Объем коммунального ресурса (услуги) подтверждается первичными документами бухгалтерского учета (счетом-фактурой или универсальным передаточным документом, актом приема-передачи, ведомостью начислений за оказанную физическим лицам коммунальную услугу по льготным тарифам). Размер субсидии подтверждается получателем субсидии по форме, установленной главным распорядителем бюджетных средств;
б) отчета о фактической потребности в субсидии по итогам года с приложением копий актов сверки с управляющими организациями, товариществами собственников жилья либо жилищными кооперативами или специализированными потребительскими кооперативами, итоговых справок об объемах и начислениях за коммунальные услуги (в случае если получатель субсидии является исполнителем коммунальных услуг).
60. Отчеты, предусмотренные пунктом 29 настоящих Правил, представляются получателем субсидии в срок, определенный соглашением, который не может превышать 30 рабочих дней после окончания месяца, следующего за отчетным кварталом, или срока, предусмотренного решением о порядке предоставления субсидии, который не может быть позднее 20-го рабочего дня месяца, следующего за отчетным кварталом, а также не позднее 30-го рабочего дня после достижения результата предоставления субсидии в отношении субсидий, предоставляемых в целях исполнения обязательств по гарантиям и поручительствам, предоставленным в целях обеспечения исполнения обязательств субъектов малого и среднего предпринимательства по кредитным договорам.
60(1). При предоставлении субсидий на возмещение затрат в целях государственной поддержки экспорта промышленной продукции допускается достижение результата предоставления субсидии и характеристик результата уполномоченными и (или) аффилированными организациями в случае, если это установлено решением о порядке предоставления субсидии.
XV. Особенности предоставления субсидий
в целях оказания государственной поддержки развития
агропромышленного комплекса
61. При предоставлении субсидий сельскохозяйственным товаропроизводителям, являющимся субъектами микропредпринимательства в соответствии с Федеральным законом "О развитии малого и среднего предпринимательства в Российской Федерации", гражданам, ведущим личное подсобное хозяйство, в целях оказания государственной поддержки в соответствии со статьей 3 и пунктом 1 части 1 статьи 7 Федерального закона "О развитии сельского хозяйства":
а) мониторинг достижения результата предоставления субсидии, предусмотренный пунктом 28 настоящих Правил, проводится в сроки, определенные решением о порядке предоставления субсидии, не реже одного раза в год;
б) отчет о достижении значений результатов предоставления субсидий, предусмотренный подпунктом "а" пункта 29 настоящих Правил, представляется в сроки, определенные решением о порядке предоставления субсидии, не реже одного раза в год.
62. При предоставлении субсидий кредитным организациям в целях возмещения недополученных ими доходов в связи с предоставлением кредитов для оказания государственной поддержки развития агропромышленного комплекса, а также государственной поддержки в рамках государственной программы Российской Федерации "Комплексное развитие сельских территорий" в порядке, установленном федеральным органом исполнительной власти, осуществляющим функции по выработке государственной политики и нормативно-правовому регулированию в сфере агропромышленного комплекса, осуществляются:
ведение реестров кредитных договоров;
формирование плана льготного кредитования заемщиков;
определение направлений целевого использования льготных кредитов с учетом размера субсидии, устанавливаемого в соответствии с решением о порядке предоставления субсидии, а также особенностей порядка их определения;
установление максимального размера льготного краткосрочного кредита, предоставляемого одному заемщику;
абзац утратил силу. - Постановление Правительства РФ от 11.11.2024 N 1528;
ведение реестров потенциальных заемщиков;
ведение реестров заемщиков, в том числе включение и исключение из них сельскохозяйственных товаропроизводителей (за исключением сельскохозяйственных кредитных потребительских кооперативов), организаций и индивидуальных предпринимателей, осуществляющих производство и (или) первичную и (или) последующую (промышленную) переработку сельскохозяйственной продукции и ее реализацию, содержащихся в реестре потенциальных заемщиков;
отбор сельскохозяйственных товаропроизводителей (за исключением сельскохозяйственных кредитных потребительских кооперативов), организаций и индивидуальных предпринимателей, осуществляющих производство и (или) первичную и (или) последующую (промышленную) переработку сельскохозяйственной продукции и ее реализацию, для заключения соглашений о повышении конкурентоспособности по установленным критериям;
установление формы соглашения о повышении конкурентоспособности;
внесение изменений в соглашения о повышении конкурентоспособности в случаях, установленных федеральным органом исполнительной власти, осуществляющим функции по выработке государственной политики и нормативно-правовому регулированию в сфере агропромышленного комплекса;
рассмотрение отчетов о достижении значений показателей соглашений о повышении конкурентоспособности.
63. При предоставлении субсидий лизинговым организациям в целях возмещения недополученных ими доходов по договорам финансовой аренды (лизинга) для оказания государственной поддержки развития агропромышленного комплекса федеральным органом исполнительной власти, осуществляющим функции по выработке государственной политики и нормативно-правовому регулированию в сфере агропромышленного комплекса, утверждаются:
перечень видов деятельности согласно Общероссийскому классификатору видов экономической деятельности, одному или нескольким из которых должна соответствовать деятельность машинно-технологических станций, оказывающих агротехнологические услуги сельскохозяйственным товаропроизводителям, организаций и индивидуальных предпринимателей, осуществляющих техническое обслуживание и (или) ремонт сельскохозяйственной техники, машин и оборудования (на основании данных единого государственного реестра юридических лиц или единого государственного реестра индивидуальных предпринимателей);
перечень (наименования) сельскохозяйственной техники, машин, оборудования, используемых в агропромышленном комплексе автотранспортных средств и иного имущества, приобретаемых лизинговой организацией для передачи по договорам финансовой аренды (лизинга), заключаемым на льготных (специальных) условиях.
XVI. Особенности предоставления субсидий в целях
государственной поддержки социальной сферы
64. Размер субсидии (V), предоставляемой в целях государственной поддержки социальной сферы, результатом которой является реализация соответствующих мероприятий, если иное не предусмотрено решением о порядке предоставления субсидии, по направлениям расходования определяется по формуле:
V = C1 + C2 + C3 + C4,
где:
C1 - затраты на оплату труда работников и начисления на выплаты по оплате труда таких работников в соответствии с законодательством Российской Федерации;
C2 - затраты организации на закупку работ (услуг) у третьих лиц, непосредственно связанных с достижением результата предоставления субсидии;
C3 - затраты организации на закупку и (или) аренду программного и аппаратного обеспечения, закупку и (или) аренду оборудования, комплектующих изделий, непосредственно связанных с достижением результата предоставления субсидии;
C4 - накладные расходы (при необходимости).
65. Соглашения о предоставлении из бюджета субъекта Российской Федерации (местного бюджета) субсидий в целях оказания получателем субсидии услуг физическим лицам на бесплатной (частично платной) основе, в том числе по регулируемым ценам (тарифам), в случаях, установленных федеральным законом, законом субъекта Российской Федерации (правовыми актами представительного органа муниципального образования), заключаются между казенным учреждением субъекта Российской Федерации (муниципального образования) и получателем субсидии, в случае если это предусмотрено решением о порядке предоставления субсидии.
66. При предоставлении субсидий организациям, осуществляющим образовательную деятельность, которым установлены контрольные цифры приема на обучение по профессиям, специальностям и направлениям подготовки и (или) укрупненным группам профессий, специальностей и направлений подготовки для обучения по образовательным программам среднего профессионального и высшего образования, а также по группам научных специальностей и (или) научным специальностям для обучения по программам подготовки научных и научно-педагогических кадров в аспирантуре (адъюнктуре), соглашения заключаются с указанными организациями по результатам публичного конкурса в соответствии с частью 3 статьи 100 Федерального закона "Об образовании в Российской Федерации".
67. Предоставление получателю субсидии субсидии, предусматривающей дальнейшее им достижение в очередном финансовом году результата предоставления субсидии, осуществляется в размере, рассчитываемом исходя из фактического выполнения получателем субсидии условий, установленных при предоставлении субсидии (в случае если это предусмотрено решением о порядке предоставления субсидии).
XVII. Иные особенности
68. При предоставлении субсидий в целях финансового обеспечения (возмещения) затрат, непосредственно связанных с содержанием и обеспечением целевого использования объекта (объектов) имущества, положения, указанные в абзаце втором подпункта "и" пункта 9 настоящих Правил, не применяются в случае, если это предусмотрено решением о порядке предоставления субсидии.
В случае если решением о порядке предоставления субсидии предусмотрено неприменение положений, указанных в абзаце втором подпункта "и" пункта 9 настоящих Правил, положения, указанные в пунктах 28 и 29 (в части, касающейся отчетности о достижении значений результатов предоставления субсидии и характеристик результатов) и 37 - 39 (в части, касающейся возврата средств субсидий в бюджет бюджетной системы Российской Федерации, из которого предоставлены субсидии, в случае недостижения значений результатов предоставления субсидий) настоящих Правил, не применяются.
69. В соглашения о предоставлении субсидий, перечень которых определен Правительством Российской Федерации, в дополнение к положениям, определенным в соответствии с настоящими Правилами, включаются условия:
а) о внедрении получателем субсидии (за исключением субсидий, указанных в абзацах втором - четвертом подпункта "б" настоящего пункта) современных технологий, включая решения на базе искусственного интеллекта, в соответствии с порядком, установленным Правительством Российской Федерации (далее - порядок внедрения), а также иные условия, определенные порядком внедрения;
б) об обеспечении включения получателем субсидии условий о внедрении современных технологий, включая решения на базе искусственного интеллекта, в соответствии с порядком внедрения, а также иных условий, установленных порядком внедрения:
в кредитные договоры (соглашения) (в отношении субсидий, предоставляемых кредитным организациям в целях возмещения недополученных ими доходов в связи с предоставлением кредитов);
в контракты (договоры), заключаемые с иными лицами (в отношении субсидий, предусматривающих предоставление получателем субсидии средств иным лицам);
в договоры лизинга (в отношении субсидий, предоставляемых лизинговым организациям в целях возмещения недополученных ими доходов в связи с предоставлением скидки по договорам лизинга).
70. При предоставлении субсидии на возмещение затрат (недополученных доходов), возникающих в результате государственного регулирования цен (тарифов) и (или) установления льготных тарифов (предоставления льгот), положения, указанные в абзаце втором подпункта "и" пункта 9, пунктах 28 и 29 (в части, касающейся отчетности о достижении значений результатов предоставления субсидии и характеристик результатов) и 37 - 39 (в части, касающейся возврата средств субсидий в бюджет бюджетной системы Российской Федерации, из которого предоставлены субсидии, в случае недостижения значений результатов предоставления субсидий) настоящих Правил, не включаются в соглашение в случае, если это предусмотрено решением о порядке предоставления субсидии.
71. В соглашения о предоставлении субсидий на приобретение товаров, работ и услуг из федерального бюджета, а также из бюджета субъекта Российской Федерации (местного бюджета), если источником финансового обеспечения расходных обязательств субъекта Российской Федерации (муниципального образования) по предоставлению указанных субсидий являются межбюджетные трансферты, имеющие целевое назначение, из федерального бюджета бюджету субъекта Российской Федерации, в дополнение к положениям, определенным в соответствии с настоящими Правилами, включаются условия об ограничении и (или) запрете приобретения получателями субсидий товаров (в том числе поставляемых при выполнении работ, оказании услуг), происходящих из иностранных государств, работ, услуг, соответственно выполняемых, оказываемых иностранными гражданами, иностранными юридическими лицами. Порядок определения указанных условий устанавливается Правительством Российской Федерации.