ПРАВИТЕЛЬСТВО РОССИЙСКОЙ ФЕДЕРАЦИИ
ПОСТАНОВЛЕНИЕ
от 9 апреля 2025 г. N 473
О ВНЕСЕНИИ ИЗМЕНЕНИЙ
В ПОСТАНОВЛЕНИЕ ПРАВИТЕЛЬСТВА РОССИЙСКОЙ ФЕДЕРАЦИИ
ОТ 24 ДЕКАБРЯ 2021 Г. N 2439
Правительство Российской Федерации постановляет:
1. Утвердить прилагаемые изменения, которые вносятся в государственную программу Российской Федерации "Развитие туризма", утвержденную постановлением Правительства Российской Федерации от 24 декабря 2021 г. N 2439 "Об утверждении государственной программы Российской Федерации "Развитие туризма" (Собрание законодательства Российской Федерации, 2022, N 1, ст. 147).
2. Министерству экономического развития Российской Федерации разместить государственную программу Российской Федерации "Развитие туризма" с изменениями, утвержденными настоящим постановлением, на своем официальном сайте, а также на портале государственных программ Российской Федерации в информационно-телекоммуникационной сети "Интернет" в 2-недельный срок со дня официального опубликования настоящего постановления.
Председатель Правительства
Российской Федерации
М.МИШУСТИН
Утверждены
постановлением Правительства
Российской Федерации
от 9 апреля 2025 г. N 473
ИЗМЕНЕНИЯ,
КОТОРЫЕ ВНОСЯТСЯ В ГОСУДАРСТВЕННУЮ ПРОГРАММУ РОССИЙСКОЙ
ФЕДЕРАЦИИ "РАЗВИТИЕ ТУРИЗМА"
1. Раздел II дополнить абзацем следующего содержания:
"Правила предоставления и распределения в 2025 - 2027 годах субсидий из федерального бюджета бюджетам субъектов Российской Федерации на государственную поддержку инвестиционных проектов по созданию модульных некапитальных средств размещения приведены в приложении N 19.".
2. Дополнить приложением N 19 следующего содержания:
"Приложение N 19
к государственной программе
Российской Федерации
"Развитие туризма"
ПРАВИЛА
ПРЕДОСТАВЛЕНИЯ И РАСПРЕДЕЛЕНИЯ В 2025 - 2027 ГОДАХ
СУБСИДИЙ ИЗ ФЕДЕРАЛЬНОГО БЮДЖЕТА БЮДЖЕТАМ СУБЪЕКТОВ
РОССИЙСКОЙ ФЕДЕРАЦИИ НА ГОСУДАРСТВЕННУЮ ПОДДЕРЖКУ
ИНВЕСТИЦИОННЫХ ПРОЕКТОВ ПО СОЗДАНИЮ МОДУЛЬНЫХ
НЕКАПИТАЛЬНЫХ СРЕДСТВ РАЗМЕЩЕНИЯ
1. Настоящие Правила устанавливают цели, условия и порядок предоставления и распределения в 2025 - 2027 годах субсидий из федерального бюджета бюджетам субъектов Российской Федерации на поддержку инвестиционных проектов по созданию модульных некапитальных средств размещения в целях софинансирования расходных обязательств субъектов Российской Федерации по предоставлению юридическим лицам (за исключением некоммерческих организаций, являющихся государственными (муниципальными) учреждениями) (далее - юридические лица) и (или) индивидуальным предпринимателям средств из бюджета субъекта Российской Федерации на финансовое обеспечение и (или) возмещение затрат на приобретение и монтаж модульных некапитальных средств размещения при реализации инвестиционных проектов, возникающих при реализации региональных проектов, обеспечивающих достижение целей, показателей и результатов федерального проекта "Создание номерного фонда, инфраструктуры и новых точек притяжения" национального проекта "Туризм и гостеприимство" (далее - субсидии).
2. Понятия, используемые в настоящих Правилах, означают следующее:
"автомобильный туристский маршрут" - путь следования туристов на автомобиле, автобусе, автодоме, мототехнике, проходящий по автомобильным дорогам федерального, регионального или межмуниципального значения и их участкам, включающий посещение и (или) использование туристами объектов туристских ресурсов и (или) туристской индустрии;
"заявка" - направляемое высшим исполнительным органом субъекта Российской Федерации (либо иным исполнительным органом субъекта Российской Федерации, уполномоченным высшим исполнительным органом субъекта Российской Федерации) в Министерство экономического развития Российской Федерации обращение об участии в конкурсном отборе, содержащее сведения об инвестиционном проекте;
"инвестиционный проект" - ограниченный по времени и затрачиваемым ресурсам комплекс мероприятий, предусматривающий создание (приобретение, монтаж, подведение соответствующей обеспечивающей инфраструктуры) юридическими лицами и (или) индивидуальными предпринимателями модульных некапитальных средств размещения и условия для их последующей круглогодичной эксплуатации в целях предоставления туристских услуг и (или) увеличения объемов существующего производства туристских услуг в целях оказания услуг средств размещения и (или) увеличения объемов оказываемых услуг средств размещения;
"конкурсный отбор" - отбор субъектов Российской Федерации, на территориях которых предполагается реализация инвестиционных проектов, направивших в Министерство экономического развития Российской Федерации заявку в целях получения субсидии;
"модульное некапитальное средство размещения" - быстровозводимая конструкция заводского производства, в том числе контейнерного типа, за исключением глэмпингов и кемпингов, оборудованная для круглогодичного комфортного и безопасного пребывания туристов и оснащенная индивидуальным туалетом, умывальником, душем, а также имеющая общую площадь не менее 15 кв. метров, без учета площади санузла;
"соглашение" - соглашение о предоставлении субсидии, заключаемое между субъектом Российской Федерации в лице высшего исполнительного органа субъекта Российской Федерации и Министерством экономического развития Российской Федерации в соответствии с пунктом 10 Правил формирования, предоставления и распределения субсидий из федерального бюджета бюджетам субъектов Российской Федерации, утвержденных постановлением Правительства Российской Федерации от 30 сентября 2014 г. N 999 "О формировании, предоставлении и распределении субсидий из федерального бюджета бюджетам субъектов Российской Федерации" (далее - Правила формирования субсидий).
3. В случае реализации инвестиционного проекта на территориях Дальневосточного федерального округа, Арктической зоны Российской Федерации и в границах муниципальных образований, относящихся к районам Крайнего Севера и приравненным к ним местностям, допускается возведение модульного некапитального средства размещения незаводского производства.
4. Субсидии предоставляются в пределах лимитов бюджетных обязательств, доведенных в установленном порядке до Министерства экономического развития Российской Федерации как получателя средств федерального бюджета на предоставление субсидий на цели, указанные в пункте 1 настоящих Правил (далее - лимиты бюджетных обязательств).
Размер субсидии не может составлять более 1,5 млн. рублей на один номер (одна или несколько жилых комнат и (или) помещений, соединенных между собой и оснащенных индивидуальным туалетом, умывальником и душем) в модульном некапитальном средстве размещения и более 50 процентов стоимости инвестиционного проекта.
Условием предоставления субсидии является эксплуатация прошедшими конкурсный отбор юридическими лицами и (или) индивидуальными предпринимателями модульных некапитальных средств размещения не менее 10 лет с даты ввода в эксплуатацию.
5. Субъект Российской Федерации вправе предоставить дополнительные средства из бюджета субъекта Российской Федерации на финансовое обеспечение или возмещение затрат юридическим лицам и (или) индивидуальным предпринимателям на реализацию инвестиционных проектов.
6. Результатом использования субсидии является количество номеров во введенных в эксплуатацию модульных некапитальных средствах размещения.
Подтверждением факта ввода в эксплуатацию модульного некапитального средства размещения является наличие документов, подтверждающих его приобретение, монтаж и подведение к нему соответствующей обеспечивающей инфраструктуры.
7. Предельный размер субсидии одному субъекту Российской Федерации на реализацию инвестиционных проектов составляет не более 10 процентов общего объема бюджетных ассигнований федерального бюджета, предусмотренных Министерству экономического развития Российской Федерации в 2025 - 2027 годах на предоставление субсидий на цели, указанные в пункте 1 настоящих Правил.
Субъект Российской Федерации вправе установить актом высшего исполнительного органа субъекта Российской Федерации дополнительные требования к инвестиционным проектам, не противоречащие настоящим Правилам.
8. Конкурсный отбор проводится в сроки, установленные в извещении о его проведении, с целью отбора субъектов Российской Федерации, на территориях которых планируется реализация инвестиционных проектов в 2025 - 2027 годах.
Извещение о проведении конкурсного отбора, содержащее сроки, порядок и условия его проведения, размещается Министерством экономического развития Российской Федерации на своем официальном сайте в информационно-телекоммуникационной сети "Интернет".
9. Высший исполнительный орган субъекта Российской Федерации либо иной исполнительный орган субъекта Российской Федерации, уполномоченный высшим исполнительным органом субъекта Российской Федерации, направляет в Министерство экономического развития Российской Федерации в сроки, указанные в извещении о проведении конкурсного отбора, по почте заказным почтовым отправлением (с описью вложения) на бумажном носителе или в электронном виде посредством системы межведомственного электронного документооборота заявку с приложением документов по перечню согласно приложению N 1 (далее - перечень документов) и сведений об инвестиционном проекте согласно приложению N 2.
Субъект Российской Федерации осуществляет предварительный анализ инвестиционных проектов на предмет их соответствия настоящим Правилам, в том числе в части минимальных габаритов и площадей помещений, доступности для маломобильных групп населения, материалов строительства, противопожарных и дополнительных требований, установленных в соответствии с пунктом 7 настоящих Правил. По результатам предварительного анализа субъектом Российской Федерации формируется и прилагается к заявке перечень инвестиционных проектов, которые не соответствуют указанным требованиям и в отношении которых принято решение об отказе в участии в конкурсном отборе (с указанием причин отказа).
Субъект Российской Федерации вправе подать неограниченное количество заявок.
10. Министерство экономического развития Российской Федерации в течение 5 рабочих дней со дня окончания срока приема заявок проверяет заявки в порядке очередности их поступления на предмет соответствия перечню документов.
По итогу рассмотрения заявок Министерство экономического развития Российской Федерации принимает одно из следующих решений:
об отклонении заявки в связи с ее поступлением в Министерство экономического развития Российской Федерации после даты окончания приема заявок и (или) несоответствием документов, представленных в составе заявки, перечню документов;
о направлении заявки, соответствующей требованиям настоящих Правил, в комиссию по вопросам предоставления субсидий, состав которой и положение о которой утверждает Министерство экономического развития Российской Федерации (далее - комиссия).
11. Комиссия в срок до 15 рабочих дней со дня поступления заявок от Министерства экономического развития Российской Федерации, указанных в пункте 10 настоящих Правил, проводит в 2 этапа оценку инвестиционных проектов на основе сведений, содержащихся в приложении N 2 к настоящим Правилам.
На первом этапе оцениваются инвестиционные проекты по 4 приоритетным направлениям с общим объемом потребности субсидии в размере 65 процентов лимитов бюджетных обязательств, из которых:
5 процентных пунктов приходится на реализацию инвестиционных проектов на территориях Донецкой Народной Республики, Луганской Народной Республики, Запорожской области и Херсонской области;
30 процентных пунктов приходится на реализацию инвестиционных проектов на территориях особых экономических зон туристско-рекреационного типа;
15 процентных пунктов приходится на реализацию инвестиционных проектов на особо охраняемых природных территориях и (или) в их охранных зонах. В случае реализации инвестиционных проектов на территории национального парка - при условии включения таких сведений в утвержденный план рекреационной деятельности соответствующего национального парка;
15 процентных пунктов приходится на реализацию инвестиционных проектов вблизи приоритетных автомобильных туристских маршрутов, проходящих по участкам одной или нескольких автомобильных дорог федерального значения М-4 "Дон", М-8 "Холмогоры", М-11 "Нева" и М-12 "Восток".
Оценка инвестиционных проектов по каждому приоритетному направлению осуществляется в соответствии с критериями согласно приложению N 3.
В случае если по 2 и более инвестиционным проектам набирается одинаковое количество баллов, приоритетным считается инвестиционный проект, в рамках которого ниже потребность в субсидии в расчете на один номер. Если по 2 и более инвестиционным проектам совпадают оценка по указанным критериям и размер потребности субсидии в расчете на один номер, приоритетным считается инвестиционный проект, сведения о котором содержатся в заявке, поступившей в Министерство экономического развития Российской Федерации в более ранний срок.
По результатам проведенной оценки комиссией составляется ранжированный перечень инвестиционных проектов по каждому приоритетному направлению. Средства субсидии в рамках каждого приоритетного направления распределяются по инвестиционным проектам, начиная с инвестиционного проекта с наивысшей оценкой и до исчерпания лимитов, определенных в соответствии с абзацами вторым - шестым настоящего пункта.
Инвестиционные проекты, которые не включены в приоритетное направление в связи с исчерпанием указанных лимитов, оцениваются на втором этапе. Если по итогам первого этапа остаются неиспользованные остатки лимитов, определенные по приоритетным направлениям, эти средства используются на распределение субсидии в рамках второго этапа.
На втором этапе проводится оценка инвестиционных проектов на основе сведений, предусмотренных приложением N 2 к настоящим Правилам, которые не оценивались на первом этапе. Объем субсидии, доступный для распределения на втором этапе, определяется как разность лимитов бюджетных обязательств и объема субсидии, распределенного на первом этапе.
Оценка инвестиционных проектов на втором этапе осуществляется в соответствии с критериями, предусмотренными приложением N 3 к настоящим Правилам.
По результатам проведенной оценки комиссией составляется ранжированный перечень инвестиционных проектов второго этапа. Средства субсидии распределяются по инвестиционным проектам, начиная с инвестиционного проекта с наивысшей оценкой и до исчерпания лимитов, которые определяются как разность лимитов бюджетных обязательств, доведенных до Министерства экономического развития Российской Федерации, и объема субсидии, распределенного на первом этапе.
В случае если по 2 и более инвестиционным проектам набирается одинаковое количество баллов, приоритетным считается инвестиционный проект, в рамках которого ниже потребность в субсидии в расчете на один номер. Если по 2 и более инвестиционным проектам совпадают оценка по критериям, предусмотренным приложением N 3 к настоящим Правилам, и размер потребности субсидии в расчете на один номер, приоритетным считается инвестиционный проект, сведения о котором содержатся в заявке, поступившей в Министерство экономического развития Российской Федерации в более ранний срок.
Если у субъекта (субъектов) Российской Федерации объем невостребованных средств субсидии в 2023 - 2024 годах (в том числе возвращенных в доход бюджета Российской Федерации и невостребованных в результате отказов получателей субсидии от реализации инвестиционных проектов) составляет 20 процентов включительно и более общего объема предоставленной субсидии на 1 января соответствующего финансового года, при оценке инвестиционных проектов, входящих в состав заявки такого субъекта Российской Федерации, сумма баллов по каждому инвестиционному проекту уменьшается на 2 балла (не распространяется на случаи, указанные в пункте 20 Правил формирования субсидий).
В случае если при оценке инвестиционного проекта невозможно установить его соответствие критериям, предусмотренным приложением N 3 к настоящим Правилам, комиссия запрашивает у субъекта Российской Федерации дополнительные документы и иные подтверждающие материалы в дополнительный срок до 5 рабочих дней.
По итогам оценки инвестиционных проектов на первом и втором этапах комиссией составляется и утверждается единый перечень отобранных проектов в разбивке по субъектам Российской Федерации на 2025 - 2027 годы с указанием размера субсидии, объема номерного фонда и оценки в баллах. Указанное решение комиссии оформляется протоколом заседания комиссии.
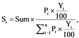
12. Размер субсидии, предоставляемой бюджету i-го субъекта Российской Федерации в соответствующем финансовом году (Si), определяется по формуле:

где:
Sum - объем бюджетных ассигнований, предусмотренных в федеральном бюджете на соответствующий финансовый год на предоставление субсидии;
Pi - общий объем расходного обязательства i-го субъекта Российской Федерации, определенный по результатам конкурсного отбора;
Yi - предельный уровень софинансирования расходного обязательства i-го субъекта Российской Федерации из федерального бюджета, определяемый в соответствии с пунктом 13 Правил формирования субсидии;
n - количество субъектов Российской Федерации, которым по результатам конкурсного отбора могут быть предоставлены субсидии в пределах лимитов бюджетных обязательств, доведенных в установленном порядке до Министерства экономического развития Российской Федерации.
Возмещение затрат юридических лиц и (или) индивидуальных предпринимателей на создание модульных некапитальных средств размещения при реализации инвестиционных проектов, поддержанных по итогам их оценки на первом и втором этапах и утвержденных решением комиссии, возникающих при реализации региональных проектов, обеспечивающих достижение целей, показателей и результатов федерального проекта "Создание номерного фонда, инфраструктуры и новых точек притяжения" национального проекта "Туризм и гостеприимство", возможно в отношении затрат, понесенных с 1 января 2025 г.
13. Министерство экономического развития Российской Федерации в течение 5 рабочих дней со дня подписания комиссией протокола заседания комиссии уведомляет о принятом решении субъекты Российской Федерации, от которых поступили заявки.
14. Субъекты Российской Федерации до 1 июня текущего финансового года вправе:
а) перераспределить невостребованные средства субсидии в объеме не более 10 процентов общего объема невостребованных средств в финансовом году в целях предоставления дополнительного финансового обеспечения иному инвестиционному проекту, прошедшему конкурсный отбор. При этом результат использования субсидии должен быть увеличен на объем номерного фонда, соответствующий объему перераспределяемых средств либо более этого объема (без ухудшения установленного результата использования субсидии по субъекту Российской Федерации);
б) представить в Министерство экономического развития Российской Федерации предложения по предоставлению субсидии на реализацию инвестиционных проектов, прошедших конкурсный отбор, в случае если субсидия не была предоставлена субъектам Российской Федерации в 2025 - 2027 годах, при условии наличия нераспределенного остатка лимита бюджетных обязательств, доведенных до Министерства экономического развития Российской Федерации (информация о готовности реализации инвестиционного проекта в 2025 - 2027 годах (в разбивке по годам) должна содержаться в заявке на момент ее подачи в Министерство экономического развития Российской Федерации).
15. В случае принятия решения о перераспределении средств субсидии либо наличия потребности в предоставлении субсидии в 2026 - 2027 годах в соответствии с пунктом 14 настоящих Правил высшим исполнительным органом субъекта Российской Федерации (либо иным исполнительным органом субъекта Российской Федерации, уполномоченным высшим исполнительным органом субъекта Российской Федерации) в Министерство экономического развития Российской Федерации направляется соответствующее уведомление (с приложением подтверждающих документов), содержащее в том числе:
а) информацию об инвестиционных проектах, в отношении которых принято решение о высвобождении субсидии, с указанием точного объема, обоснования высвобождения средств и параметров корректировки результата использования субсидии;
б) информацию об инвестиционных проектах, в отношении которых субъектом Российской Федерации принято решение о предоставлении субсидии, дополнительном финансовом обеспечении и параметрах корректировки результата использования субсидии;
в) заявки с предложениями о предоставлении субсидии в 2026 - 2027 годах.
16. Высвобождаемые средства субсидии, не перераспределенные субъектами Российской Федерации, а также неиспользованные остатки лимитов бюджетных обязательств в соответствии с пунктом 15 настоящих Правил могут быть направлены на реализацию инвестиционных проектов в иных субъектах Российской Федерации с учетом предварительного согласования президиумом Правительственной комиссии по развитию туризма в Российской Федерации без проведения конкурсного отбора в порядке, установленном бюджетным законодательством Российской Федерации.
17. Субсидии предоставляются при соблюдении условий, установленных пунктом 8 Правил формирования субсидий.
18. Критериями отбора субъектов Российской Федерации являются:
а) наличие обязательства юридического лица или индивидуального предпринимателя по временному размещению и обеспечению временного проживания туристов в создаваемых за счет средств субсидии модульных некапитальных средствах размещения в течение не менее 3 лет с даты ввода в эксплуатацию номеров в модульных некапитальных средствах размещения;
б) вид разрешенного использования и категория земельного участка соответствуют целевому назначению средств субсидии (за исключением земельных участков, входящих в состав территории особой экономической зоны туристско-рекреационного типа).
19. Перечисление субсидий осуществляется в установленном порядке на единые счета бюджетов, открытые финансовым органам субъектов Российской Федерации в территориальных органах Федерального казначейства.
20. Контроль за соблюдением субъектами Российской Федерации условий предоставления субсидий осуществляется Министерством экономического развития Российской Федерации в порядке, установленном Министерством экономического развития Российской Федерации, и уполномоченными органами государственного финансового контроля в соответствии с бюджетным законодательством.
21. Ответственность за достоверность представляемых в Министерство экономического развития Российской Федерации сведений возлагается на высший исполнительный орган субъекта Российской Федерации.
Ответственность и контроль за реализацией инвестиционных проектов, в том числе за достижением установленных результатов в субъектах Российской Федерации, а также за соблюдением требований пожарной и технической безопасности реализации инвестиционных проектов возлагаются на субъект Российской Федерации.
22. Министерство экономического развития Российской Федерации осуществляет мониторинг реализации инвестиционных проектов посредством сопоставления фактических и планируемых значений результата использования субсидии, предусмотренных соглашением.
Оценка эффективности использования субсидии осуществляется Министерством экономического развития Российской Федерации путем сравнения установленного соглашением планового значения результата использования субсидии и фактически достигнутого значения результата использования субсидии.
23. Уполномоченные высшим исполнительным органом субъекта Российской Федерации исполнительные органы субъекта Российской Федерации размещают в сроки, установленные соглашением, в государственной интегрированной информационной системе управления общественными финансами "Электронный бюджет" отчетность о расходах, в целях софинансирования которых предоставляется субсидия, а также отчетность о достижении значений результата использования субсидии.
24. Министерство экономического развития Российской Федерации вправе устанавливать в соглашении сроки и формы представления дополнительной отчетности.
25. Предоставление субсидии осуществляется на основании соглашения, подготавливаемого (формируемого) и заключаемого с использованием государственной интегрированной информационной системы управления общественными финансами "Электронный бюджет" в соответствии с типовой формой, утвержденной Министерством финансов Российской Федерации.
26. В случае нарушения субъектом Российской Федерации целей, установленных при предоставлении субсидии, применяются бюджетные меры принуждения, предусмотренные бюджетным законодательством Российской Федерации.
27. Порядок и условия возврата средств из бюджета субъекта Российской Федерации в федеральный бюджет в случае нарушения субъектом Российской Федерации обязательств по достижению значения результата использования субсидии, предусмотренного соглашением, а также основания для освобождения субъекта Российской Федерации от применения мер финансовой ответственности определяются в соответствии с пунктами 16 - 18 и 21 Правил формирования субсидий.
Приложение N 1
к Правилам предоставления
и распределения в 2025 - 2027 годах
субсидий из федерального бюджета
бюджетам субъектов Российской Федерации
на государственную поддержку
инвестиционных проектов по созданию
модульных некапитальных
средств размещения
ПЕРЕЧЕНЬ
ДОКУМЕНТОВ, ПРИЛАГАЕМЫХ К ЗАЯВКЕ СУБЪЕКТА
РОССИЙСКОЙ ФЕДЕРАЦИИ НА УЧАСТИЕ В КОНКУРСНОМ ОТБОРЕ
СУБЪЕКТОВ РОССИЙСКОЙ ФЕДЕРАЦИИ, НА ТЕРРИТОРИЯХ КОТОРЫХ
ПРЕДПОЛАГАЕТСЯ РЕАЛИЗАЦИЯ ИНВЕСТИЦИОННЫХ ПРОЕКТОВ
ЮРИДИЧЕСКИХ ЛИЦ И ИНДИВИДУАЛЬНЫХ ПРЕДПРИНИМАТЕЛЕЙ
ПО СОЗДАНИЮ МОДУЛЬНЫХ НЕКАПИТАЛЬНЫХ
СРЕДСТВ РАЗМЕЩЕНИЯ
1. Сведения об инвестиционном проекте юридических лиц и индивидуальных предпринимателей по созданию модульных некапитальных средств размещения (далее - инвестиционный проект) для участия в конкурсном отборе инвестиционных проектов по форме согласно приложению N 2 к приложению N 19 к государственной программе Российской Федерации "Развитие туризма", утвержденной постановлением Правительства Российской Федерации от 24 декабря 2021 г. N 2439 "Об утверждении государственной программы Российской Федерации "Развитие туризма" (далее - приложение N 19) (предоставляются в отношении каждого инвестиционного проекта, заявляемого субъектом Российской Федерации на участие в отборе).
Понятие "модульное некапитальное средство размещения" используется в значении, предусмотренном приложением N 19.
2. Финансово-экономическое обоснование заявленного размера субсидии из федерального бюджета бюджетам субъектов Российской Федерации на поддержку инвестиционных проектов в целях софинансирования расходных обязательств субъектов Российской Федерации по предоставлению юридическим лицам (за исключением некоммерческих организаций, являющихся государственными (муниципальными) учреждениями) и (или) индивидуальным предпринимателям средств из бюджета субъекта Российской Федерации на финансовое обеспечение и (или) возмещение части затрат на приобретение и монтаж модульных некапитальных средств размещения при реализации инвестиционных проектов, возникающих при реализации региональных проектов, обеспечивающих достижение целей, показателей и результатов федерального проекта "Создание номерного фонда, инфраструктуры и новых точек притяжения" национального проекта "Туризм и гостеприимство".
3. Описание комплекса мероприятий, включающего создание юридическими лицами и (или) индивидуальными предпринимателями модульных некапитальных средств размещения, обеспечение их водоснабжением и водоотведением, связью, энергоснабжением (в том числе электроснабжением, газоснабжением, теплоснабжением), а также подъездными путями, содержащее следующую информацию:
а) наименование инвестиционного проекта и местоположение земельного участка, на котором планируется его реализация, а также документы, подтверждающие права юридических лиц и (или) индивидуальных предпринимателей на указанные земельные участки и размещения на них модульных некапитальных средств размещения (при наличии);
б) срок реализации инвестиционного проекта;
в) количество номеров (одно или несколько помещений, соединенных между собой и оснащенных индивидуальным туалетом, умывальником и душем) в модульных некапитальных средствах размещения, предполагаемых к созданию в рамках инвестиционного проекта;
г) размер потребности в субсидии, указанной в пункте 2 настоящего документа;
д) сведения о категории земельного участка и виде разрешенного использования, на котором планируется размещение модульных некапитальных средств размещения, и подтверждающие документы об имеющихся на нем и прилегающих к нему земельных участках объектах водоснабжения и водоотведения (включая автономные), связи, энергоснабжения (в том числе электроснабжения, газоснабжения, теплоснабжения (включая автономные), подъездных автомобильных дорог (при наличии таких объектов);
е) сведения и подтверждающие документы о наличии на земельном участке, указанном в подпункте "д" настоящего пункта, или прилегающих к нему земельных участках объектов туристского показа и посещения, общественного питания, торговли продовольственными товарами, сувенирами, а также изделиями народных художественных промыслов, относящихся к организациям, осуществляющим деятельность в соответствии с видами деятельности по собирательной классификационной группировке видов экономической деятельности "Туризм" на основе Общероссийского классификатора видов экономической деятельности ОК 029-2014 (КДЕС Ред. 2) (при наличии);
ж) сведения о планируемом расположении модульных некапитальных средств размещения (при наличии):
на территории особой экономической зоны туристско-рекреационного типа;
на особо охраняемых природных территориях и (или) в их охранных зонах (при наличии);
в месте бытования народного художественного промысла;
з) сведения об инвестиционном проекте, планируемом к реализации вблизи (в радиусе не более 5 км от участков автомобильных дорог федерального значения и (или) не более 3 км от участков автомобильных дорог регионального или межмуниципального значения) утвержденного уполномоченным исполнительным органом субъекта Российской Федерации автомобильного туристского маршрута (в том числе в составе многофункциональной зоны дорожного сервиса) (при наличии).
4. Гарантийное письмо высшего исполнительного органа субъекта Российской Федерации о софинансировании инвестиционных проектов.
5. Перечень инвестиционных проектов, которые не соответствуют требованиям пункта 9 приложения N 19 и в отношении которых принято решение об отказе в участии в конкурсном отборе (с указанием причин отказа).
Приложение N 2
к Правилам предоставления
и распределения в 2025 - 2027 годах
субсидий из федерального бюджета
бюджетам субъектов Российской Федерации
на государственную поддержку
инвестиционных проектов по созданию
модульных некапитальных
средств размещения
СВЕДЕНИЯ
об инвестиционном проекте юридических лиц и индивидуальных
предпринимателей по созданию модульных некапитальных средств
размещения для участия в конкурсном отборе <*>
___________________________________________________________________________
(наименование субъекта Российской Федерации)
|
1.
|
Общая характеристика инвестиционного проекта юридических лиц и индивидуальных предпринимателей по созданию модульных некапитальных средств размещения (далее - инвестиционный проект)
|
|
|
1.1.
|
Наименование инвестиционного проекта
|
|
|
1.1.1.
|
Наименование инвестора
|
|
|
1.1.2.
|
Идентификационный номер налогоплательщика
|
|
|
1.1.3.
|
Основной государственный регистрационный номер
|
|
|
1.1.4.
|
Основной вид деятельности согласно Общероссийскому классификатору видов экономической деятельности ОК 029-2014 (КДЕС Ред. 2)
|
|
|
1.2.
|
Краткое описание инвестиционного проекта
|
|
|
1.3.
|
Срок реализации инвестиционного проекта
|
|
|
1.4.
|
Количество модульных некапитальных средств размещения
|
|
|
1.5.
|
Количество планируемых к вводу номеров в модульных некапитальных средствах размещения в составе инвестиционных проектов
|
|
|
2025 год
|
||
|
2026 год
|
||
|
2027 год
|
||
|
1.6.
|
Инвестиционный проект реализуется на территории особой экономической зоны туристско-рекреационного типа (в случае выполнения условия - указать наименование особой экономической зоны туристско-рекреационного типа)
|
|
|
1.7.
|
Сведения о земельном участке, а также о категории земли и виде его разрешенного пользования для размещения модульных некапитальных средств размещения
|
|
|
1.7.1.
|
Кадастровый номер земельного участка, на котором предполагается реализация проекта
|
|
|
1.7.2.
|
Категория земельного участка
|
|
|
1.7.3.
|
Вид разрешенного использования
|
|
|
1.8.
|
Перечень объектов, необходимых для функционирования модульных некапитальных средств размещения (объекты водоснабжения и водоотведения (включая автономные), связи, энергоснабжения (в том числе электроснабжения, газоснабжения, теплоснабжения), подъездных автомобильных дорог) (при наличии)
|
|
|
1.9.
|
Перечень объектов туристической инфраструктуры (объекты туристского показа и посещения, общественного питания, торговли продовольственными товарами, сувенирами, а также изделиями народных художественных промыслов, относящихся к организациям, осуществляющим деятельность в соответствии с видами деятельности по собирательной классификационной группировке видов экономической деятельности "Туризм" на основе Общероссийского классификатора видов экономической деятельности ОК 029-2014 (КДЕС Ред. 2) (при наличии)
|
|
|
1.10.
|
Инвестиционный проект реализуется вблизи (в радиусе не более 5 км от участков автомобильных дорог федерального значения и (или) не более 3 км от участков автомобильных дорог регионального или межмуниципального значения) утвержденного уполномоченным исполнительным органом субъекта Российской Федерации автомобильного туристского маршрута (в том числе в составе многофункциональной зоны дорожного сервиса) (при наличии)
|
|
|
1.10.1.
|
Наименование автомобильного туристского маршрута, утвержденного руководителем регионального органа исполнительной власти в сфере туризма
|
|
|
1.10.2.
|
Наименование автомобильной дороги федерального, регионального или межмуниципального значения, входящей в состав автомобильного туристского маршрута, вблизи которого реализуется инвестиционный проект
|
|
|
1.10.3.
|
Координаты месторасположения планируемого к реализации инвестиционного проекта с указанием радиуса от участков автомобильных дорог федерального, регионального или межмуниципального значения в составе автомобильного туристского маршрута
|
|
|
1.10.4.
|
Координаты многофункциональной зоны дорожного сервиса, расположенной вдоль автомобильной дороги федерального, регионального или межмуниципального значения в составе автомобильного туристского маршрута (при наличии)
|
|
|
1.11.
|
На территории субъекта Российской Федерации в очередном финансовом году и плановом периоде запланировано проведение мероприятий, посвященных празднованию на федеральном уровне памятных дат субъекта Российской Федерации или юбилейных дат выдающихся деятелей культуры, проводимых в том числе по решению Президента Российской Федерации и Правительства Российской Федерации (при выполнении условия - указать наименование мероприятия, реквизиты решения Президента Российской Федерации или Правительства Российской Федерации, срок проведения)
|
|
|
1.12.
|
Инвестиционный проект реализуется на особо охраняемой природной территории и (или) в ее охранной зоне (при выполнении условия - указать наименование особо охраняемой природной территории, а также реквизиты нормативного правового акта, утверждающего решение о создании такой особо охраняемой природной территории и (или) ее охранной зоны)
|
|
|
1.13.
|
Инвестиционный проект реализуется в месте бытования народного художественного промысла (при выполнении условия - указать наименование места бытования народного художественного промысла, а также реквизиты нормативного правового акта исполнительного органа субъекта Российской Федерации, утверждающего решение об установлении места бытования народного художественного промысла)
|
|
|
1.14.
|
Инвестиционный проект реализуется инвестором, имеющим опыт реализации проектов по созданию модульных некапитальных средств размещения (при выполнении условия указать наименования реализованных инвестором проектов по созданию модульных некапитальных средств размещения, их местоположение, а также плановое и фактическое количество введенных в эксплуатацию номеров в проектах)
|
|
|
2.
|
Параметры финансового обеспечения проекта
|
|
|
2.1.
|
Общая стоимость инвестиционного проекта
(тыс. рублей)
|
|
|
2025 год
|
||
|
2026 год
|
||
|
2027 год
|
||
|
2.2.
|
Объем потребности в средствах федерального бюджета на реализацию мероприятий
(тыс. рублей)
|
|
|
2025 год
|
||
|
2026 год
|
||
|
2027 год
|
||
|
2.3.
|
Объем средств субъекта Российской Федерации на реализацию инвестиционного проекта
(тыс. рублей)
|
|
|
2025 год
|
||
|
2026 год
|
||
|
2027 год
|
||
|
2.4.
|
Объем средств инвестора на реализацию инвестиционного проекта (тыс. рублей)
|
|
|
2025 год
|
||
|
2026 год
|
||
|
2027 год
|
||
--------------------------------
<*> Представляются в отношении каждого инвестиционного проекта в
составе заявки субъекта Российской Федерации. Ответственность за полноту и
достоверность представленных сведений возлагается на заявителя.
Приложение: на ____ л. в ___ экз.
-----------
_______________ _____________________________________ _____________
(должность) (фамилия, имя, отчество (при наличии) (подпись)
Приложение N 3
к Правилам предоставления
и распределения в 2025 - 2027 годах
субсидий из федерального бюджета
бюджетам субъектов Российской Федерации
на государственную поддержку
инвестиционных проектов по созданию
модульных некапитальных
средств размещения
КРИТЕРИИ
ОЦЕНКИ ИНВЕСТИЦИОННЫХ ПРОЕКТОВ ЮРИДИЧЕСКИХ ЛИЦ
И ИНДИВИДУАЛЬНЫХ ПРЕДПРИНИМАТЕЛЕЙ ПО СОЗДАНИЮ МОДУЛЬНЫХ
НЕКАПИТАЛЬНЫХ СРЕДСТВ РАЗМЕЩЕНИЯ
|
Наименование критерия оценки
|
Оценка по критерию (баллов)
|
|
|
1.
|
Инвестиционный проект юридических лиц и (или) индивидуальных предпринимателей по созданию модульных некапитальных средств размещения (далее - инвестиционный проект) реализуется на земельном участке или прилегающих к нему земельных участках с объектами, необходимой инфраструктурой для функционирования модульных некапитальных средств размещения (при наличии объектов водоснабжения и водоотведения (включая автономные), связи, энергоснабжения (электроснабжения, газоснабжения, теплоснабжения (включая автономные), подъездными автомобильными дорогами)
|
3
|
|
2.
|
Инвестиционный проект реализуется на земельном участке или прилегающих к нему земельных участках без разделения водным объектом с расположенными на них объектами туристского показа и посещения, общественного питания, торговли продовольственными товарами, сувенирами, а также изделиями народных художественных промыслов, относящихся к организациям, осуществляющим деятельность в соответствии с видами деятельности по собирательной классификационной группировке видов экономической деятельности "Туризм" на основе Общероссийского классификатора видов экономической деятельности ОК 029-2014 (КДЕС Ред. 2)
|
2
|
|
3.
|
Инвестиционный проект предусматривает создание более 50 номеров в модульных некапитальных средствах размещения
|
2
|
|
4.
|
Инвестиционный проект реализуется в месте бытования народного художественного промысла
|
1
|
|
5.
|
Инвестиционный проект реализуется инвесторами, имеющими опыт реализации проектов по созданию модульных некапитальных средств размещения
|
1
|
|
6.
|
На территории субъекта Российской Федерации в очередном финансовом году и плановом периоде запланировано проведение мероприятий, посвященных празднованию на федеральном уровне памятных дат субъекта Российской Федерации или юбилейных дат выдающихся деятелей культуры, проводимых в том числе по решению Президента Российской Федерации и Правительства Российской Федерации
|
1
|
|
7.
|
Субъект Российской Федерации не получал субсидию на создание модульных некапитальных средств размещения в соответствии с распоряжениями Правительства Российской Федерации от 31 мая 2023 г. N 1441-р, от 14 сентября 2023 г. N 2480-р и от 14 сентября 2023 г. 2481-р
|
1
|
|
8.
|
По территории субъекта Российской Федерации пролегает национальный туристский маршрут
|
1
|
|
9.
|
Инвестиционный проект предусматривает создание части номеров в модульных некапитальных средствах размещения, оборудованных для лиц с ограниченными возможностями здоровья
|
1
|
|
10.
|
Инвестиционный проект предусматривает создание модульных некапитальных средств размещения из экологичных строительных материалов, в том числе технологий деревянного домостроения
|
1".
|