ПРАВИТЕЛЬСТВО РОССИЙСКОЙ ФЕДЕРАЦИИ
ПОСТАНОВЛЕНИЕ
от 8 апреля 2022 г. N 619
О МЕРАХ
ГОСУДАРСТВЕННОЙ ПОДДЕРЖКИ ПРОГРАММ РАЗВИТИЯ ПЕРЕДОВЫХ
ИНЖЕНЕРНЫХ ШКОЛ
Правительство Российской Федерации постановляет:
1. Образовать Совет по грантам на оказание государственной поддержки создания и развития передовых инженерных школ.
2. Утвердить прилагаемые:
Положение о Совете по грантам на оказание государственной поддержки создания и развития передовых инженерных школ;
Правила предоставления грантов в форме субсидий из федерального бюджета на поддержку программ развития передовых инженерных школ, обеспечение прохождения практик и стажировок, в том числе в формате работы с наставниками, для талантливых студентов лучших магистерских программ, обеспечение повышения квалификации и (или) профессиональной переподготовки, в том числе в форме стажировки на базе высокотехнологичных компаний, для профессорско-преподавательского состава и управленческих команд передовых инженерных школ, а также образовательных организаций высшего образования, реализующих образовательные программы инженерного профиля.
3. Финансовое обеспечение мероприятий, предусмотренных настоящим постановлением, осуществляется в пределах бюджетных ассигнований, предусматриваемых начиная с 2022 года Министерству науки и высшего образования Российской Федерации на реализацию федерального проекта "Передовые инженерные школы" государственной программы Российской Федерации "Научно-технологическое развитие Российской Федерации", включая бюджетные ассигнования, выделяемые на операционное, информационно-аналитическое и экспертно-методическое сопровождение указанного федерального проекта.
4. Министерству науки и высшего образования Российской Федерации в 30-дневный срок со дня вступления в силу настоящего постановления в установленном порядке внести в Правительство Российской Федерации проект акта Правительства Российской Федерации об утверждении состава Совета по грантам на оказание государственной поддержки создания и развития передовых инженерных школ.
5. Настоящее постановление вступает в силу со дня его официального опубликования.
Председатель Правительства
Российской Федерации
М.МИШУСТИН
Утверждено
постановлением Правительства
Российской Федерации
от 8 апреля 2022 г. N 619
ПОЛОЖЕНИЕ
О СОВЕТЕ ПО ГРАНТАМ НА ОКАЗАНИЕ ГОСУДАРСТВЕННОЙ ПОДДЕРЖКИ
СОЗДАНИЯ И РАЗВИТИЯ ПЕРЕДОВЫХ ИНЖЕНЕРНЫХ ШКОЛ
1. Совет по грантам на оказание государственной поддержки создания и развития передовых инженерных школ (далее - Совет) является постоянно действующим совещательным органом, образованным в целях рассмотрения вопросов, связанных с предоставлением образовательным организациям высшего образования (далее - университеты) грантов в форме субсидий из федерального бюджета на поддержку программ развития передовых инженерных школ, обеспечение прохождения практик и стажировок, в том числе в формате работы с наставниками, для талантливых студентов лучших магистерских программ, обеспечение повышения квалификации и (или) профессиональной переподготовки, в том числе в форме стажировки на базе высокотехнологичных компаний, для профессорско-преподавательского состава и управленческих команд передовых инженерных школ, а также образовательных организаций высшего образования, реализующих образовательные программы инженерного профиля, в рамках реализации федерального проекта "Передовые инженерные школы" государственной программы Российской Федерации "Научно-технологическое развитие Российской Федерации" (далее соответственно - федеральный проект, гранты).
2. Совет руководствуется в своей деятельности Конституцией Российской Федерации, федеральными конституционными законами, федеральными законами, указами и распоряжениями Президента Российской Федерации, постановлениями и распоряжениями Правительства Российской Федерации, а также настоящим Положением.
3. Совет осуществляет следующие функции:
а) рассматривает и оценивает программы развития передовых инженерных школ университетов, претендующих на получение грантов, по критериям, указанным в пункте 21 Правил предоставления грантов в форме субсидий из федерального бюджета на поддержку программ развития передовых инженерных школ, обеспечение прохождения практик и стажировок, в том числе в формате работы с наставниками, для талантливых студентов лучших магистерских программ, обеспечение повышения квалификации и (или) профессиональной переподготовки, в том числе в форме стажировки на базе высокотехнологичных компаний, для профессорско-преподавательского состава и управленческих команд передовых инженерных школ, а также образовательных организаций высшего образования, реализующих образовательные программы инженерного профиля, утвержденных постановлением Правительства Российской Федерации от 8 апреля 2022 г. N 619 "О мерах государственной поддержки программ развития передовых инженерных школ";
б) осуществляет рейтингование университетов, претендующих на получение гранта, в порядке убывания баллов по результатам оценки, предусмотренной подпунктом "а" настоящего пункта;
в) определяет предельный размер гранта, а также устанавливает значения коэффициентов, используемых для расчета размера гранта, предоставляемого университету - получателю гранта;
г) определяет по итогам оценки программ развития передовых инженерных школ перечень университетов для предоставления гранта и размер гранта, предоставляемого университету - получателю гранта;
д) рассматривает предложения университетов - получателей грантов о корректировке (актуализации) программ развития передовых инженерных школ университетов и принимает решение об одобрении (отклонении) внесенных университетами - получателями грантов предложений;
е) готовит в пределах компетенции рекомендации университетам - получателям грантов по корректировке (актуализации) программ развития передовых инженерных школ университетов;
ж) рассматривает и оценивает отчеты университетов - получателей грантов о реализации программ развития передовых инженерных школ университетов;
з) дает рекомендации и предложения Министерству науки и высшего образования Российской Федерации о прекращении предоставления гранта университету - получателю гранта по итогам рассмотрения годовых отчетов о реализации программы развития передовых инженерных школ;
и) дает рекомендации и предложения Министерству науки и высшего образования Российской Федерации по развитию деятельности передовых инженерных школ университетов, в том числе рекомендации в части эффективного взаимодействия университетов и высокотехнологичных компаний;
к) осуществляет иные полномочия, предусмотренные Правилами предоставления грантов в форме субсидий из федерального бюджета на поддержку программ развития передовых инженерных школ, обеспечение прохождения практик и стажировок, в том числе в формате работы с наставниками, для талантливых студентов лучших магистерских программ, обеспечение повышения квалификации и (или) профессиональной переподготовки, в том числе в форме стажировки на базе высокотехнологичных компаний, для профессорско-преподавательского состава и управленческих команд передовых инженерных школ, а также образовательных организаций высшего образования, реализующих образовательные программы инженерного профиля, утвержденными постановлением Правительства Российской Федерации от 8 апреля 2022 г. N 619 "О мерах государственной поддержки программ развития передовых инженерных школ".
4. Совет имеет право:
а) привлекать на безвозмездной основе к работе Совета представителей органов государственной власти, высокотехнологичных компаний, предпринимательского сообщества, научных, образовательных и общественных организаций;
б) запрашивать и получать в установленном порядке от органов государственной власти и организаций материалы и информацию по вопросам, относящимся к компетенции Совета.
5. В состав Совета могут быть включены представители органов государственной власти, федерального государственного бюджетного учреждения "Российская академия наук", организаций реального сектора экономики, социальной сферы и финансового сектора, эксперты в области развития высшего образования и ведущие ученые по приоритетным направлениям научно-технологического развития Российской Федерации, определенным в соответствии со Стратегией научно-технологического развития Российской Федерации, утвержденной Указом Президента Российской Федерации от 1 декабря 2016 г. N 642 "О Стратегии научно-технологического развития Российской Федерации".
Общее число членов Совета должно составлять не менее 11 человек.
Совет формируется в составе председателя Совета, заместителей председателя Совета и членов Совета.
Председателем Совета является Министр науки и высшего образования Российской Федерации.
Состав Совета утверждается Правительством Российской Федерации по представлению Министерства науки и высшего образования Российской Федерации.
Члены Совета осуществляют свою деятельность на безвозмездной основе.
6. Основной формой деятельности Совета являются заседания Совета, которые проводятся очно, в том числе с использованием средств видео-конференц-связи, по мере необходимости, но не реже одного раза в год. Заседание Совета считается правомочным, если в нем участвуют не менее половины членов Совета.
Дату очередного заседания Совета назначает председатель Совета.
7. Решения Совета принимаются открытым голосованием простым большинством голосов присутствующих на заседании членов Совета и оформляются протоколами заседаний, которые подписывает председатель Совета. При равенстве голосов решающим является голос председательствующего.
Каждый из членов Совета может выступить с особым мнением, которое вносится в протокол заседания Совета.
Члены Совета, являющиеся представителями университетов, претендующих на получение гранта, университетов, получающих грант, либо иным образом аффилированные с указанными университетами, заявляют о самоотводе председателю Совета и не принимают участия в голосовании при рассмотрении и оценке программы развития передовой инженерной школы и отчетов о реализации программы развития передовой инженерной школы соответствующего университета.
8. Вопросы внутренней организации работы Совета, порядок привлечения к работе Совета лиц, не являющихся его членами, устанавливаются регламентом Совета, утверждаемым председателем Совета.
9. Организационно-техническое, информационное и экспертно-методическое обеспечение деятельности Совета осуществляет Министерство науки и высшего образования Российской Федерации.
Утверждены
постановлением Правительства
Российской Федерации
от 8 апреля 2022 г. N 619
ПРАВИЛА
ПРЕДОСТАВЛЕНИЯ ГРАНТОВ В ФОРМЕ СУБСИДИЙ ИЗ ФЕДЕРАЛЬНОГО
БЮДЖЕТА НА ПОДДЕРЖКУ ПРОГРАММ РАЗВИТИЯ ПЕРЕДОВЫХ ИНЖЕНЕРНЫХ
ШКОЛ, ОБЕСПЕЧЕНИЕ ПРОХОЖДЕНИЯ ПРАКТИК И СТАЖИРОВОК,
В ТОМ ЧИСЛЕ В ФОРМАТЕ РАБОТЫ С НАСТАВНИКАМИ, ДЛЯ ТАЛАНТЛИВЫХ
СТУДЕНТОВ ЛУЧШИХ МАГИСТЕРСКИХ ПРОГРАММ, ОБЕСПЕЧЕНИЕ
ПОВЫШЕНИЯ КВАЛИФИКАЦИИ И (ИЛИ) ПРОФЕССИОНАЛЬНОЙ
ПЕРЕПОДГОТОВКИ, В ТОМ ЧИСЛЕ В ФОРМЕ СТАЖИРОВКИ
НА БАЗЕ ВЫСОКОТЕХНОЛОГИЧНЫХ КОМПАНИЙ,
ДЛЯ ПРОФЕССОРСКО-ПРЕПОДАВАТЕЛЬСКОГО СОСТАВА
И УПРАВЛЕНЧЕСКИХ КОМАНД ПЕРЕДОВЫХ ИНЖЕНЕРНЫХ ШКОЛ,
А ТАКЖЕ ОБРАЗОВАТЕЛЬНЫХ ОРГАНИЗАЦИЙ ВЫСШЕГО
ОБРАЗОВАНИЯ, РЕАЛИЗУЮЩИХ ОБРАЗОВАТЕЛЬНЫЕ
ПРОГРАММЫ ИНЖЕНЕРНОГО ПРОФИЛЯ
1. Настоящие Правила устанавливают цели, условия и порядок предоставления образовательным организациям высшего образования (далее - университеты) грантов в форме субсидий из федерального бюджета на поддержку программ развития передовых инженерных школ, обеспечение прохождения практик и стажировок, в том числе в формате работы с наставниками, для талантливых студентов лучших магистерских программ, обеспечение повышения квалификации и (или) профессиональной переподготовки, в том числе в форме стажировки на базе высокотехнологичных компаний, для профессорско-преподавательского состава и управленческих команд передовых инженерных школ, а также образовательных организаций высшего образования, реализующих образовательные программы инженерного профиля, в рамках реализации федерального проекта "Передовые инженерные школы" государственной программы Российской Федерации "Научно-технологическое развитие Российской Федерации" (далее соответственно - федеральный проект, гранты).
Гранты предоставляются университетам в целях достижения результатов, установленных настоящими Правилами и федеральным проектом.
2. Понятия, используемые в настоящих Правилах, означают следующее:
"высокотехнологичная компания" - организация, действующая на территории Российской Федерации в соответствии с законодательством Российской Федерации, осуществляющая деятельность в высокотехнологичных и наукоемких отраслях;
"передовая инженерная школа" - структурное подразделение (без образования юридического лица) университета, осуществляющее образовательную, научную, инновационную деятельность в соответствии с программой развития передовой инженерной школы в партнерстве с высокотехнологичными компаниями.
3. Гранты предоставляются университетам по результатам отбора, проводимого Министерством науки и высшего образования Российской Федерации в порядке, предусмотренном настоящими Правилами.
Способом проведения отбора является конкурс, который проводится в целях определения университетов для предоставления грантов исходя из наилучших условий достижения результатов, установленных федеральным проектом, в целях достижения которых предоставляются гранты (далее - конкурс).
4. Гранты предоставляются университетам на поддержку программ развития передовых инженерных школ, обеспечение прохождения практик и стажировок, в том числе в формате работы с наставниками, для талантливых студентов лучших магистерских программ, обеспечение повышения квалификации и (или) профессиональной переподготовки, в том числе в форме стажировки на базе высокотехнологичных компаний, для профессорско-преподавательского состава и управленческих команд передовых инженерных школ, а также образовательных организаций высшего образования, реализующих образовательные программы инженерного профиля. Программы развития передовых инженерных школ должны включать мероприятия по обеспечению в партнерстве с высокотехнологичными компаниями условий для создания нового типа инженерной подготовки, осуществления прорывных разработок и исследований, направленных на решение задач, соответствующих мировому уровню актуальности и значимости в приоритетных областях технологического развития Российской Федерации, в том числе следующие мероприятия:
а) создание и (или) усовершенствование условий подготовки высококвалифицированных кадров высокопроизводительного сектора экономики Российской Федерации;
б) разработка и внедрение новых образовательных программ высшего образования для опережающей подготовки инженерных кадров и дополнительных профессиональных программ по актуальным научно-технологическим направлениям и "сквозным" цифровым технологиям, обеспеченных интерактивными комплексами опережающей подготовки;
в) привлечение работающих инженеров к осуществлению преподавательской деятельности в передовых инженерных школах;
г) создание на базе передовых инженерных школ специальных образовательных пространств (лаборатории, опытные производства, интерактивные комплексы опережающей подготовки, цифровые, "умные", виртуальные (кибер-физические) фабрики, оснащенные современным высокотехнологичным оборудованием, высокопроизводительными вычислительными системами и специализированным прикладным программным обеспечением);
д) выполнение прорывных разработок и исследований, направленных на решение задач, соответствующих мировому уровню актуальности и значимости в приоритетной области (областях) технологического развития Российской Федерации;
е) коммерциализация результатов интеллектуальной деятельности и трансфер технологий;
ж) тиражирование лучших практик передовых инженерных школ для подготовки и переподготовки инженеров;
з) повышение квалификации и (или) профессиональная переподготовка, в том числе в форме стажировки на базе высокотехнологичных компаний, управленческих команд и профессорско-преподавательского состава передовых инженерных школ и образовательных организаций высшего образования, реализующих образовательные программы инженерного профиля по специальностям и направлениям подготовки высшего образования для подготовки инженерных кадров по перечню согласно приложению;
и) прохождение практик и (или) стажировок вне рамок образовательного процесса, в том числе в формате работы с наставниками, для лучших студентов, обучающихся по программам магистратуры технологического профиля, которые реализуются на базе научно-исследовательских и опытно-конструкторских проектов по "сквозным" технологиям цифровой экономики и приоритетным направлениям развития техники и технологий при поддержке и участии высокотехнологичных компаний. Отбор таких студентов проводится передовыми инженерными школами ежегодно. Средства грантов в части прохождения указанных практик и (или) стажировок направляются на возмещение сопутствующих расходов студентов, проходящих практику и (или) стажировку. Состав конкурсной комиссии передовой инженерной школы по отбору студентов должен включать представителей высокотехнологичных компаний.
5. Средства гранта могут быть направлены на компенсацию затрат (части затрат) университета, осуществленных в текущем финансовом году на реализацию мероприятий, указанных в пункте 4 настоящих Правил, за счет собственных средств до заключения соглашения о предоставлении гранта в соответствии с типовой формой, установленной Министерством финансов Российской Федерации (далее - соглашение).
6. Гранты предоставляются в пределах лимитов бюджетных обязательств, доведенных в установленном порядке до Министерства науки и высшего образования Российской Федерации как получателя средств федерального бюджета на цели, указанные в пункте 1 настоящих Правил (далее - лимиты бюджетных обязательств).
При формировании проекта федерального закона о федеральном бюджете (проекта федерального закона о внесении изменений в федеральный закон о федеральном бюджете) сведения о грантах размещаются на едином портале бюджетной системы Российской Федерации в информационно-телекоммуникационной сети "Интернет" (далее - единый портал).
7. Результатами предоставления грантов являются:
а) создание передовых инженерных школ в партнерстве с высокотехнологичными компаниями и поддержка программ их развития;
б) проведение повышения квалификации и (или) профессиональной переподготовки, в том числе в форме стажировки на базе высокотехнологичных компаний, управленческих команд и профессорско-преподавательского состава передовых инженерных школ и образовательных организаций высшего образования, реализующих образовательные программы инженерного профиля по специальностям и направлениям подготовки высшего образования для подготовки инженерных кадров, предусмотренным приложением к настоящим Правилам;
в) прохождение студентами, осваивающими программы магистратуры ("технологическая магистратура"), практик и (или) стажировок вне рамок образовательного процесса, в том числе в формате работы с наставниками, за счет предоставленных грантов.
8. Показателями, необходимыми для достижения результатов предоставления гранта (для каждой передовой инженерной школы), являются:
а) количество разработанных и внедренных новых образовательных программ высшего образования для опережающей подготовки инженерных кадров и дополнительных профессиональных программ по актуальным научно-технологическим направлениям и "сквозным" цифровым технологиям, обеспеченных интерактивными комплексами опережающей подготовки (единиц) (не менее 4 на конец 2024 года (нарастающим итогом);
б) увеличение числа обучающихся по образовательным программам высшего образования для опережающей подготовки инженерных кадров и дополнительным профессиональным программам по актуальным научно-технологическим направлениям и "сквозным" цифровым технологиям передовой инженерной школы за счет развития сетевой формы обучения в образовательных организациях, в которых не созданы передовые инженерные школы (не менее 52 процентов на конец 2026 года, не менее 109 процентов на конец 2030 года);
в) количество инженеров, прошедших обучение по программам дополнительного профессионального образования в передовой инженерной школе (не менее 90 человек на конец 2024 года (нарастающим итогом), не менее 333 человек к 2030 году (нарастающим итогом);
г) количество обучающихся, прошедших обучение в передовой инженерной школе по образовательным программам высшего образования и дополнительным профессиональным программам, трудоустроившихся в российские высокотехнологичные компании и на предприятия (не менее 50 человек в 2025 году (нарастающим итогом), не менее 1335 человек к 2030 году (нарастающим итогом);
д) количество созданных на базе передовой инженерной школы специальных образовательных пространств (научно-технологические и экспериментальные лаборатории, опытные производства, оснащенные современным высокотехнологичным оборудованием, высокопроизводительными вычислительными системами и специализированным прикладным программным обеспечением, цифровые, "умные", виртуальные (кибер-физические) фабрики, интерактивные комплексы опережающей подготовки инженерных кадров на основе современных цифровых технологий) (не менее 4 на конец 2024 года);
е) отношение внебюджетных средств к объему финансового обеспечения программы развития передовой инженерной школы, предусмотренного на создание передовой инженерной школы в партнерстве с высокотехнологичными компаниями и поддержку указанной программы за счет средств федерального бюджета (не менее 35 процентов в 2022 году, не менее 25 процентов в 2023 году, не менее 20 процентов в 2024 году);
ж) объем финансирования, привлеченного передовой инженерной школой на исследования и разработки в интересах бизнеса (не менее 270 млн. рублей на конец 2024 года (нарастающим итогом) и не менее 2000 млн. рублей к концу 2030 года (нарастающим итогом);
з) рост количества регистрируемых результатов интеллектуальной деятельности образовательной организации высшего образования, на базе которой создана передовая инженерная школа (не менее 15 процентов на конец 2024 года, не менее 50 процентов на конец 2030 года);
и) количество студентов, прошедших практику и (или) стажировку вне рамок образовательного процесса, в том числе в формате работы с наставниками, обучающихся по программам магистратуры технологического профиля (не менее 21 человека на конец 2024 года (нарастающим итогом), не менее 63 человек к концу 2030 года (нарастающим итогом).
9. Участниками конкурса являются университеты, представившие заявки на участие в конкурсе (далее соответственно - заявки, участники конкурса), соответствующие следующим требованиям по состоянию на 1-е число месяца, предшествующего месяцу, в котором объявлен конкурс:
а) у участника конкурса отсутствует неисполненная обязанность по уплате налогов, сборов, страховых взносов, пеней, штрафов и процентов, подлежащих уплате в соответствии с законодательством Российской Федерации о налогах и сборах;
б) у участника конкурса отсутствуют просроченная задолженность по возврату в федеральный бюджет субсидий, бюджетных инвестиций, предоставленных в том числе в соответствии с иными правовыми актами, а также иная просроченная (неурегулированная) задолженность по денежным обязательствам перед Российской Федерацией;
в) участник конкурса не получает средства из федерального бюджета в соответствии с иными нормативными правовыми актами Российской Федерации на цели, указанные в пункте 1 настоящих Правил;
г) участник конкурса не находится в процессе реорганизации (за исключением реорганизации в форме присоединения к участнику конкурса другого юридического лица), ликвидации, в отношении участника конкурса не введена процедура банкротства, его деятельность не приостановлена в порядке, предусмотренном законодательством Российской Федерации;
д) участник конкурса не является иностранным юридическим лицом, а также российским юридическим лицом, в уставном (складочном) капитале которого доля участия иностранных юридических лиц, местом регистрации которых является государство (территория), включенное в утвержденный Министерством финансов Российской Федерации перечень государств и территорий, предоставляющих льготный налоговый режим налогообложения и (или) не предусматривающих раскрытия и предоставления информации при проведении финансовых операций (офшорные зоны), в совокупности превышает 50 процентов;
е) в реестре дисквалифицированных лиц отсутствуют сведения о дисквалифицированных руководителе, членах коллегиального исполнительного органа, лице, исполняющем функции единоличного исполнительного органа, или главном бухгалтере участника конкурса;
ж) участник конкурса имеет лицензию на осуществление образовательной деятельности не менее чем по одной образовательной программе высшего образования по специальности или направлению подготовки высшего образования, предусмотренным приложением к настоящим Правилам, и дополнительным профессиональным программам.
10. Министерство науки и высшего образования Российской Федерации в целях проведения конкурса не позднее 1 мая 2022 г., а начиная с 2023 г. - не позднее 1 апреля текущего финансового года размещает на едином портале объявление о проведении конкурса с указанием:
а) сроков проведения конкурса, даты начала подачи заявок, а также даты окончания приема заявок, которая не может быть ранее 30-го календарного дня, следующего за днем размещения объявления о проведении конкурса;
б) места нахождения, почтового адреса, адреса электронной почты Министерства науки и высшего образования Российской Федерации;
в) результатов предоставления гранта в соответствии с пунктом 7 настоящих Правил и показателей, необходимых для достижения результатов предоставления гранта;
г) доменного имени и (или) указателей страниц единого портала, на котором обеспечивается проведение конкурса;
д) требований к участникам конкурса в соответствии с пунктом 9 настоящих Правил и перечня документов, представляемых участниками конкурса для подтверждения их соответствия указанным требованиям;
е) порядка подачи заявок и требований, предъявляемых к форме и содержанию заявок в соответствии с пунктом 11 настоящих Правил;
ж) порядка отзыва заявок, порядка возврата заявок, определяющего в том числе основания для возврата заявок, и порядка внесения изменений в заявки;
з) правил рассмотрения и оценки заявок в соответствии с пунктами 14 - 19 настоящих Правил, включая сроки размещения информации о результатах рассмотрения заявок на едином портале;
и) порядка предоставления участникам конкурса разъяснений положений объявления о проведении конкурса, даты начала и окончания срока такого предоставления;
к) порядка и сроков заключения соглашения в соответствии с пунктом 33 настоящих Правил;
л) условий признания победителя (победителей) конкурса уклонившимся от заключения соглашения. Победитель (победители) конкурса признается уклонившимся от заключения соглашения в случае отказа от заключения соглашения и (или) неподписания соглашения в срок, установленный в пункте 36 настоящих Правил;
м) срока размещения результатов конкурса на едином портале, который не может быть позднее 14-го календарного дня, следующего за днем определения победителя конкурса;
н) рекомендуемых образцов документов, представляемых участником конкурса в составе заявки, включая образец оформления программы развития передовой инженерной школы, рекомендаций по их заполнению;
о) порядка рассмотрения и экспертизы заявок в соответствии с пунктами 14 - 19 настоящих Правил;
п) минимальных годовых значений для отдельных показателей, необходимых для достижения результатов предоставления гранта, с учетом значений показателей федерального проекта.
11. Для участия в конкурсе университет представляет в Министерство науки и высшего образования Российской Федерации заявку, включающую в себя следующие документы:
а) заявление об участии в конкурсе, подписанное руководителем университета или лицом, уполномоченным действовать от имени университета, включающее размер запрашиваемого гранта и согласие участника конкурса в случае признания его победителем по итогам конкурса:
на выполнение обязательств по использованию средств гранта на реализацию мероприятий, указанных в пункте 4 настоящих Правил, в целях, указанных в пункте 1 настоящих Правил;
на выполнение обязательств по достижению значений результатов предоставления гранта, указанных в пункте 7 настоящих Правил, и показателей, необходимых для достижения результатов предоставления гранта;
на выполнение обязательств по ведению раздельного учета средств гранта в случае заключения соглашения;
на осуществление Министерством науки и высшего образования Российской Федерации и органом государственного финансового контроля проверок соблюдения целей, условий и порядка предоставления гранта;
б) согласие участника конкурса на публикацию (размещение) в информационно-телекоммуникационной сети "Интернет" информации об университете, о подаваемой им заявке, иной информации об университете, связанной с конкурсом;
в) программа развития передовой инженерной школы на период не менее 8 лет (включая год, в котором проводится конкурс) в соответствии с образцом оформления указанной программы, приведенным в объявлении о проведении конкурса, утвержденная руководителем университета или лицом, уполномоченным действовать от имени университета, включающая в том числе результаты предоставления гранта, указанные в пункте 7 настоящих Правил, и показатели, необходимые для достижения результатов предоставления гранта, а также значения указанных показателей на каждый год реализации программы развития передовой инженерной школы (по состоянию на конец года не нарастающим итогом);
г) согласие органа государственной власти (государственного органа) или организации, осуществляющих функции и полномочия учредителя университета, являющегося бюджетным или автономным учреждением (за исключением университетов, функции и полномочия учредителя от имени Российской Федерации в отношении которых осуществляет Правительство Российской Федерации или Министерство науки и высшего образования Российской Федерации), на участие университета в конкурсе и последующее заключение университетом соглашения;
д) документ, подтверждающий полномочия лица, действующего от имени университета, в случае подписания документов, указанных в настоящем пункте, таким лицом;
е) справка, подписанная руководителем университета или лицом, уполномоченным действовать от имени университета, и главным бухгалтером (при наличии) университета, подтверждающая соответствие университета по состоянию на 1-е число месяца, предшествующего месяцу, в котором объявлен конкурс, требованиям, установленным пунктом 9 настоящих Правил;
ж) письмо (письма), подписанное руководителем высокотехнологичной компании, в партнерстве с которой планируется осуществлять деятельность передовой инженерной школы, включающее:
согласие высокотехнологичной компании осуществлять поддержку создания и развития передовой инженерной школы в связи со значимостью реализации проекта создания передовой инженерной школы для реального сектора экономики;
обязательство высокотехнологичной компании по софинансированию реализации мероприятий программы развития передовой инженерной школы с указанием объема предоставляемых средств в году проведения конкурса и плановом 7-летнем периоде.
12. Университет вправе подать только одну заявку.
Университет несет ответственность за достоверность сведений, представленных в документах, указанных в пункте 11 настоящих Правил.
В случае если на конкурс подана только одна заявка, победителем конкурса признается университет, представивший указанную заявку, при условии соответствия университета и подаваемой им заявки требованиям, установленным настоящими Правилами.
13. В целях проведения конкурса Министерство науки и высшего образования Российской Федерации создает экспертную комиссию, которая осуществляет полномочия, предусмотренные настоящими Правилами (далее - экспертная комиссия), и утверждает ее состав. В своей деятельности экспертная комиссия руководствуется Конституцией Российской Федерации, федеральными конституционными законами, федеральными законами, актами Президента Российской Федерации и Правительства Российской Федерации, нормативными правовыми актами Министерства науки и высшего образования Российской Федерации, а также настоящими Правилами.
В состав экспертной комиссии могут быть включены представители Министерства науки и высшего образования Российской Федерации, заинтересованных федеральных органов исполнительной власти, высокотехнологичных компаний, экспертного сообщества, научных организаций и образовательных организаций высшего образования. В состав экспертной комиссии включается в том числе член Общественного совета при Министерстве науки и высшего образования Российской Федерации. Общее количество членов экспертной комиссии должно составлять не менее 7 человек.
В состав экспертной комиссии входят председатель экспертной комиссии, заместитель председателя экспертной комиссии, секретарь экспертной комиссии и члены экспертной комиссии.
Экспертная комиссия вправе привлекать к своей работе экспертов в области развития высшего образования и науки и ведущих ученых по приоритетным направлениям научно-технологического развития Российской Федерации, определенным в Стратегии научно-технологического развития Российской Федерации, утвержденной Указом Президента Российской Федерации от 1 декабря 2016 г. N 642 "О Стратегии научно-технологического развития Российской Федерации", а также запрашивать у федеральных органов исполнительной власти и организаций необходимые материалы и информацию по вопросам, относящимся к ее компетенции.
Председатель экспертной комиссии руководит деятельностью экспертной комиссии, председательствует на заседаниях экспертной комиссии и организует ее работу.
Работа экспертной комиссии осуществляется в форме заседания, которое может быть проведено как очно, так и с использованием видео-конференц-связи. Заседание экспертной комиссии считается правомочным, если на нем присутствуют не менее половины членов экспертной комиссии.
Информация о дате, времени и месте проведения заседания экспертной комиссии направляется секретарем экспертной комиссии членам экспертной комиссии не позднее чем за 2 рабочих дня до дня проведения заседания экспертной комиссии посредством электронной почты.
Решения экспертной комиссии принимаются путем открытого голосования простым большинством голосов присутствующих на заседании членов экспертной комиссии. Решение экспертной комиссии оформляется протоколом, который подписывается председателем экспертной комиссии.
Копии протоколов заседаний экспертной комиссии в течение 3 рабочих дней со дня проведения заседания направляются секретарем экспертной комиссии членам экспертной комиссии.
14. Министерство науки и высшего образования Российской Федерации организует представление экспертной комиссии поступивших заявок в течение 3 рабочих дней со дня окончания приема заявок.
Экспертная комиссия осуществляет вскрытие конвертов с заявками в день, время и в месте, которые указаны в объявлении о проведении конкурса, и готовит соответствующий протокол, в котором указываются наименование конкурса и организатор конкурса, дата, время и место начала и окончания процедуры вскрытия конвертов с заявками, перерывы в процедуре вскрытия конвертов с заявками (при их наличии), а также наименования университетов, представивших заявки.
15. Министерство науки и высшего образования Российской Федерации:
а) публикует на едином портале протокол вскрытия заявок, подготовленный экспертной комиссией в соответствии с пунктом 14 настоящих Правил, в течение 5 рабочих дней со дня его подписания;
б) не позднее дня опубликования протокола вскрытия заявок обеспечивает проведение проверки на комплектность, полноту содержащихся в них сведений и наличие предусмотренных пунктом 11 настоящих Правил документов;
в) организует представление экспертной комиссии результатов проведения проверки, указанной в подпункте "б" настоящего пункта, в течение 5 рабочих дней со дня опубликования протокола вскрытия заявок.
16. Экспертная комиссия по результатам проверки, указанной в подпункте "б" пункта 15 настоящих Правил:
а) осуществляет рассмотрение заявок;
б) отбирает заявки, допущенные к экспертной оценке программ развития передовых инженерных школ (далее - экспертная оценка), определяет университеты, которым отказывается в участии в конкурсе по результатам проверки, указанной в подпункте "б" пункта 15 настоящих Правил, и готовит соответствующий протокол рассмотрения заявок, в котором указываются наименование конкурса и организатор конкурса, место, дата и время начала и окончания процедуры рассмотрения заявок, сведения о заявках, допущенных к экспертной оценке, сведения о заявках, отклоненных экспертной комиссией (с указанием причин отклонения).
17. В случае если по результатам рассмотрения заявок экспертной комиссией было принято решение об отклонении всех заявок, конкурс признается несостоявшимся.
18. Основаниями для отклонения заявки экспертной комиссией являются:
а) несоответствие участников конкурса требованиям, установленным пунктом 9 настоящих Правил;
б) несоответствие заявки и прилагаемых к ней документов требованиям, указанным в пункте 11 настоящих Правил и установленным в объявлении о проведении конкурса, а также непредставление (представление не в полном объеме) таких документов;
в) недостоверность представленной участниками конкурса информации, в том числе информации о месте нахождения и адресе;
г) подача университетами заявки после даты и (или) времени, определенных для подачи заявок.
19. Министерство науки и высшего образования Российской Федерации размещает на едином портале протокол рассмотрения заявок экспертной комиссией, подготовленный в соответствии с пунктом 16 настоящих Правил, в течение 5 рабочих дней со дня его подписания.
20. Министерство науки и высшего образования Российской Федерации организует проведение экспертной оценки экспертами. Экспертная оценка проводится с учетом критериев, установленных пунктом 21 настоящих Правил, в течение 30 рабочих дней со дня их поступления.
Состав экспертов для проведения экспертной оценки формируется в порядке, утверждаемом Министерством науки и высшего образования Российской Федерации.
Порядок экспертной оценки утверждается Министерством науки и высшего образования Российской Федерации.
21. Критериями экспертной оценки являются:
а) амбициозность целей и результатов реализации программы развития передовой инженерной школы, их соответствие Стратегии научно-технологического развития Российской Федерации, утвержденной Указом Президента Российской Федерации от 1 декабря 2016 г. N 642 "О Стратегии научно-технологического развития Российской Федерации", национальным целям развития Российской Федерации на период до 2030 года, определенным Указом Президента Российской Федерации от 21 июля 2020 г. N 474 "О национальных целях развития Российской Федерации на период до 2030 года", стратегиям социально-экономического развития субъектов Российской Федерации и (или) отраслевым документам стратегического планирования Российской Федерации;
б) академическое признание и потенциал университета;
в) степень проработки и обоснованности программы развития передовой инженерной школы;
г) система управления передовой инженерной школы и ее взаимодействие с высокотехнологичными компаниями - партнерами (включая оценку стратегии развития партнерства, деятельности управляющих органов, реализации образовательных программ и научных проектов);
д) объем внебюджетных средств, привлекаемых университетом со стороны высокотехнологичных компаний на реализацию программы развития передовой инженерной школы.
22. Министерство науки и высшего образования Российской Федерации организует представление в Совет по грантам на оказание государственной поддержки создания и развития передовых инженерных школ (далее - Совет):
а) программ развития передовых инженерных школ;
б) результатов экспертной оценки.
23. Совет проводит оценку программ развития передовых инженерных школ на основании критериев, указанных в пункте 21 настоящих Правил, в том числе с учетом экспертной оценки и результатов презентаций университетов, с участием представителей высокотехнологичных компаний на заседаниях Совета.
Каждый член Совета, присутствующий на заседании Совета, присваивает участнику конкурса от 0 до 10 баллов (целым числом, где 10 - наивысшая оценка) по каждому из критериев оценки программы развития передовой инженерной школы. Итоговый балл, полученный участником конкурса по результатам оценки программы развития передовой инженерной школы, рассчитывается в порядке, устанавливаемом Министерством науки и высшего образования Российской Федерации.
По итогам оценки программ развития передовых инженерных школ Советом осуществляется рейтингование университетов в порядке убывания баллов и установление пороговых значений рейтингов для определения перечня университетов для предоставления грантов. Участнику конкурса, получившему наибольший итоговый балл, присваивается первый номер. Если 2 и более университета набрали при проведении оценки одинаковый балл, меньший порядковый номер присваивается университету, подавшему заявку ранее других.
24. Совет подводит итоги конкурса, дает рекомендации и предложения Министерству науки и высшего образования Российской Федерации по определению университетов - победителей конкурса с учетом результатов рейтингования им университетов (далее - победитель конкурса) и готовит итоговый протокол, в котором указываются следующие сведения:
а) дата, время и место оценки программ развития передовых инженерных школ;
б) наименования университетов, программы развития передовых инженерных школ которых были рассмотрены;
в) наименования победителей конкурса;
г) предельный размер гранта;
д) значения коэффициентов, используемых для расчета размера гранта, предоставляемого победителям конкурса в очередном финансовом году;
е) размер частей гранта, предоставляемого победителям конкурса по каждому направлению расходов с учетом лимитов бюджетных обязательств.
25. Размер предоставляемого гранта в соответствующем финансовом году (Vобщ) рассчитывается по формуле:

где:
Vпиш - общий объем бюджетных ассигнований, предусмотренных Министерству науки и высшего образования Российской Федерации на создание передовых инженерных школ университетами в партнерстве с высокотехнологичными компаниями и поддержку программ их развития в соответствующем финансовом году;
ki - коэффициент, установленный Советом для i-го победителя конкурса на основании итоговой оценки заявки в баллах по результатам ранжирования;
n - общее число победителей конкурса, получающих грант в соответствующем финансовом году по итогам оценки Совета;
Vдпо - общий объем бюджетных ассигнований, предусмотренных Министерству науки и высшего образования Российской Федерации на повышение квалификации и (или) профессиональную переподготовку, в том числе в форме стажировки на базе высокотехнологичных компаний, управленческих команд и профессорско-преподавательского состава передовых инженерных школ и образовательных организаций высшего образования, реализующих образовательные программы инженерного профиля по специальностям и направлениям подготовки высшего образования, предусмотренным приложением к настоящим Правилам, на соответствующий финансовый год;
Vтм - общий объем бюджетных ассигнований, предусмотренных Министерству науки и высшего образования Российской Федерации на обеспечение прохождения практик и (или) стажировок вне рамок образовательного процесса, в том числе в формате работы с наставниками, для лучших студентов, обучающихся по программам магистратуры технологического профиля, на соответствующий финансовый год.
26. Министерство науки и высшего образования Российской Федерации размещает на едином портале итоговый протокол в течение 10 рабочих дней со дня его подписания.
Совет по итогам заседания Совета готовит и представляет в Министерство науки и высшего образования Российской Федерации для последующего направления получателям гранта рекомендации по корректировке (актуализации) программ развития передовых инженерных школ.
27. Распределение гранта победителям конкурса осуществляется Министерством науки и высшего образования Российской Федерации на очередной финансовый год (в год проведения конкурса - на текущий финансовый год).
28. Начиная с года, следующего за годом проведения конкурса, определение размера гранта на следующий год осуществляется на основании рассмотрения и оценки Советом скорректированных (актуализированных) программ развития передовых инженерных школ и отчетов об их реализации с учетом предложений Совета об исключении университетов из числа получателей гранта.
29. Отчеты о реализации программ развития передовых инженерных школ оцениваются Советом на основании критериев экспертной оценки, указанных в пункте 21 настоящих Правил, а также следующих критериев:
а) качественные характеристики реализации мероприятий программы развития университета в отчетном периоде;
б) выполнение университетом рекомендаций Совета.
30. Оценка отчетов о реализации программ развития передовых инженерных школ осуществляется на основании отчетов о реализации программ развития передовых инженерных школ, экспертной оценки отчетов о реализации программ развития передовых инженерных школ и результатов мониторинга достижения значений результатов предоставления гранта и показателей, необходимых для достижения результатов предоставления гранта, а также предложений университетов по корректировке (актуализации) программы развития передовых инженерных школ (при наличии).
Итоговый балл, полученный университетом по результатам оценки отчета о реализации программы развития передовой инженерной школы, рассчитывается в порядке, устанавливаемом Министерством науки и высшего образования Российской Федерации.
31. Министерство науки и высшего образования Российской Федерации уведомляет победителей конкурса посредством направления письма по адресу электронной почты, указанной в заявке, о готовности заключить соглашение не позднее 10 рабочих дней со дня размещения на едином портале итогового протокола.
Дополнительное соглашение к соглашению, а также дополнительное соглашение о расторжении соглашения (при необходимости) заключаются в соответствии с типовыми формами, установленными Министерством финансов Российской Федерации.
32. Если размер гранта, предоставляемого победителю конкурса, меньше запрашиваемой в заявке суммы, победитель конкурса вправе:
а) привлечь дополнительные внебюджетные средства в целях реализации программы развития передовой инженерной школы в полном объеме согласно указанному в программе развития передовой инженерной школы общему объему финансового обеспечения;
б) отказаться от получения гранта в течение 10 календарных дней со дня опубликования на едином портале итогового протокола посредством направления соответствующей информации в письменной форме в Министерство науки и высшего образования Российской Федерации.
33. Министерство науки и высшего образования Российской Федерации в течение 30 рабочих дней со дня подписания итогового протокола заключает с победителем конкурса соглашение, в котором предусматриваются в том числе:
а) целевое назначение гранта;
б) размер гранта и условия его предоставления;
в) обязательство университета использовать средства гранта на реализацию мероприятий из числа мероприятий, указанных в пункте 4 настоящих Правил;
г) результаты предоставления гранта, предусмотренные пунктом 7 настоящих Правил, и показатели, необходимые для достижения результатов предоставления гранта, предусмотренные пунктом 8 настоящих Правил, их значения с разбивкой по годам на срок заключения соглашения и обязанность университета по их достижению;
д) запрет приобретения за счет средств гранта иностранной валюты,
за исключением операций, осуществляемых в соответствии с валютным законодательством Российской Федерации при закупке (поставке) высокотехнологичного импортного оборудования, сырья и комплектующих изделий, а также иных операций, связанных с достижением указанных в пункте 1 настоящих Правил целей предоставления гранта;
е) формы, порядок и сроки представления отчетности и дополнительной отчетности в соответствии с пунктами 39 и 40 настоящих Правил;
ж) согласие университета на проведение Министерством науки и высшего образования Российской Федерации и органом государственного финансового контроля проверок соблюдения университетом целей, условий и порядка предоставления гранта;
з) обязательство университета по включению в договоры (соглашения) с лицами, являющимися поставщиками (подрядчиками, исполнителями) по договорам (соглашениям), заключенным университетом в целях исполнения обязательств по соглашению, согласия таких лиц на осуществление в отношении этих лиц проверок Министерством науки и высшего образования Российской Федерации и органом государственного финансового контроля;
и) порядок заключения дополнительного соглашения к соглашению, в том числе в случае сокращения лимитов бюджетных обязательств (более чем на 20 процентов) с возможностью корректировки значений результатов предоставления гранта и показателей, необходимых для достижения результатов предоставления гранта;
к) условия и порядок заключения дополнительного соглашения о расторжении соглашения (при необходимости), основания для одностороннего расторжения Министерством науки и высшего образования Российской Федерации соглашения, в том числе неисполнение университетом в течение 9 месяцев контрольных точек, предусмотренных соглашением, недостижение значений результатов предоставления гранта и показателей, необходимых для достижения результатов предоставления гранта, за отчетный период;
л) ответственность университета за несоблюдение целей, условий и порядка предоставления гранта, а также за недостижение значений результатов предоставления гранта и показателей, необходимых для достижения результатов предоставления гранта;
м) порядок и сроки возврата университетом средств гранта в федеральный бюджет в соответствии с бюджетным законодательством Российской Федерации и соглашением в случае установления фактов несоблюдения целей, условий и порядка предоставления гранта, недостижения результатов предоставления гранта, а также невыполнения иных обязательств, установленных соглашением;
н) порядок и сроки перечисления гранта с учетом положений, установленных бюджетным законодательством Российской Федерации;
о) положение о согласовании новых условий соглашения или о расторжении соглашения при недостижении согласия по новым условиям в случае уменьшения Министерству науки и высшего образования Российской Федерации ранее доведенных лимитов бюджетных обязательств, приводящего к невозможности предоставления гранта в размере, определенном в соглашении;
п) возможность осуществления расходов, источником финансового обеспечения которых являются не использованные в отчетном финансовом году остатки гранта, при принятии Министерством науки и высшего образования Российской Федерации по согласованию с Министерством финансов Российской Федерации решения о наличии потребности в указанных средствах;
р) обязательство университета представить документы, подтверждающие привлечение им средств внебюджетных источников на реализацию программы развития передовой инженерной школы;
с) казначейское сопровождение предоставленного гранта, установленное правилами казначейского сопровождения в соответствии с бюджетным законодательством Российской Федерации, в случае если грант подлежит казначейскому сопровождению в соответствии с бюджетным законодательством Российской Федерации;
т) принятие университетом решения о последующем предоставлении средств, источником финансового обеспечения которых является грант, иным юридическим лицам в рамках развития инновационной деятельности в соответствии с постановлением Правительства Российской Федерации от 22 декабря 2020 г. N 2204 "О некоторых вопросах реализации государственной поддержки инновационной деятельности, в том числе путем венчурного и (или) прямого финансирования инновационных проектов, и признании утратившими силу акта Правительства Российской Федерации и отдельного положения акта Правительства Российской Федерации";
у) осуществление университетом мониторинга и контроля использования иными юридическими лицами средств, источником финансового обеспечения которых является грант и которые были предоставлены иным лицам в рамках развития инновационной деятельности в соответствии с постановлением Правительства Российской Федерации от 22 декабря 2020 г. N 2204 "О некоторых вопросах реализации государственной поддержки инновационной деятельности, в том числе путем венчурного и (или) прямого финансирования инновационных проектов, и признании утратившими силу акта Правительства Российской Федерации и отдельного положения акта Правительства Российской Федерации".
34. Значения результатов предоставления гранта и показателей, необходимых для достижения результатов предоставления гранта, указываются в соглашении (дополнительном соглашении к соглашению) в соответствии с программой развития передовой инженерной школы, представленной в составе заявки. При изменении значений результатов предоставления гранта, и показателей, необходимых для достижения результатов предоставления гранта, в соответствии с рекомендациями Совета заключается дополнительное соглашение о внесении изменений в соглашение в соответствии с утвержденной скорректированной (актуализированной) программой развития передовой инженерной школы, согласованной с Министерством науки и высшего образования Российской Федерации.
35. Соглашение, дополнительное соглашение к соглашению, в том числе дополнительное соглашение о расторжении соглашения (при необходимости), заключаются в государственной интегрированной информационной системе управления общественными финансами "Электронный бюджет" (далее - система "Электронный бюджет") в соответствии с типовыми формами, установленными Министерством финансов Российской Федерации.
36. Победителю конкурса может быть отказано в предоставлении гранта в следующих случаях:
а) неподписание победителем конкурса соглашения в течение 10 рабочих дней со дня его формирования и размещения Министерством науки и высшего образования Российской Федерации в системе "Электронный бюджет";
б) несоответствие победителя конкурса требованиям, определенным в соответствии с пунктом 9 настоящих Правил, или несоответствие представленных победителем конкурса документов требованиям, определенным в соответствии с пунктом 11 настоящих Правил, или непредставление (представление не в полном объеме) указанных документов;
в) установление факта недостоверности информации, содержащейся в документах, представленных победителем конкурса.
37. В случае принятия Министерством науки и высшего образования Российской Федерации решения об отказе победителю конкурса в предоставлении гранта по основаниям, указанным в пункте 36 настоящих Правил, грант предоставляется университету, заявка которого имела по итогам оценки Советом программы развития передовой инженерной школы следующий (меньший) рейтинг.
38. Перечисление грантов победителям конкурса, являющимся бюджетными или автономными учреждениями, осуществляется в течение 20 рабочих дней со дня заключения соглашения на лицевые счета, открытые в территориальном органе Федерального казначейства.
Перечисление гранта осуществляется в установленном порядке на казначейский счет для осуществления и отражения операций с денежными средствами юридических лиц, не являющихся участниками бюджетного процесса, бюджетными и автономными учреждениями, открытый в территориальном органе Федерального казначейства, не позднее 2-го рабочего дня после представления в территориальный орган Федерального казначейства университетом распоряжений о совершении казначейских платежей для оплаты денежного обязательства университета.
39. Университет, с которым заключено соглашение, формирует в системе "Электронный бюджет" в форме электронных документов:
а) ежеквартально (не реже одного раза в квартал), не позднее 15-го числа месяца, следующего за отчетным кварталом, отчет о расходах, источником финансового обеспечения которых является грант, по форме, определенной типовой формой соглашения, установленной Министерством финансов Российской Федерации;
б) ежемесячно, не позднее 3-го рабочего дня месяца, следующего за отчетным, отчет о достижении значений результатов предоставления грантов, указанных в пункте 7 настоящих Правил, и показателей, необходимых для достижения результатов предоставления грантов, по форме, определенной типовой формой соглашения, установленной Министерством финансов Российской Федерации.
40. Ежемесячно, не позднее 3-го рабочего дня месяца, следующего за отчетным, получатель гранта представляет в Министерство науки и высшего образования Российской Федерации подписанный руководителем (лицом, исполняющим обязанности руководителя) университета отчет о реализации программы развития передовой инженерной школы в соответствии с образцом, установленным соглашением.
Министерство науки и высшего образования Российской Федерации вправе устанавливать в соглашении сроки и формы представления получателем гранта дополнительной отчетности.
41. Получатели гранта при необходимости вправе направлять в Министерство науки и высшего образования Российской Федерации предложения по корректировке (актуализации) программ развития передовых инженерных школ.
В случае представления получателями гранта предложений по корректировке (актуализации) программ развития передовых инженерных школ Совет принимает решения об одобрении (отклонении) внесенных предложений.
Указанные решения Совета оформляются протоколом о рассмотрении предложений по корректировке (актуализации) программ развития передовых инженерных школ, который включает перечень университетов, в отношении которых принято решение об одобрении предложений по корректировке (актуализации) программ развития передовых инженерных школ, и перечень университетов, в отношении которых принято решение об отклонении предложений по корректировке (актуализации) программ развития передовых инженерных школ. Указанный протокол размещается на едином портале в течение 10 рабочих дней со дня его подписания.
42. В случае непредставления отчетов, предусмотренных пунктами 39 и 40 настоящих Правил, а также по итогам оценки указанных отчетов Совет направляет в Министерство науки и высшего образования Российской Федерации предложение о прекращении предоставления грантов.
Указанное предложение оформляется протоколом, включающим сведения об университетах, рекомендуемых для исключения из состава получателей гранта в следующем финансовом году. Протокол размещается на едином портале в течение 10 рабочих дней со дня его подписания.
Решение об исключении университета из состава получателей гранта на основании рекомендации Совета, предусмотренных настоящим пунктом, принимается Министерством науки и высшего образования Российской Федерации.
43. Контроль за соблюдением целей, условий и порядка предоставления грантов осуществляется Министерством науки и высшего образования Российской Федерации и органом государственного финансового контроля.
Мониторинг достижения результатов предоставления грантов осуществляется Министерством науки и высшего образования Российской Федерации исходя из достижения значений результатов предоставления гранта, определенных соглашением, и событий, отражающих факт завершения соответствующего мероприятия по получению результата предоставления гранта (контрольная точка), в порядке и по формам, которые установлены Министерством финансов Российской Федерации.
44. В случае установления по результатам проверок, проведенных Министерством науки и высшего образования Российской Федерации и органом государственного финансового контроля, фактов несоблюдения целей, условий и порядка предоставления гранта и (или) недостижения значений результатов предоставления гранта и показателей, необходимых для достижения результатов предоставления гранта, соответствующие средства подлежат возврату в федеральный бюджет:
а) на основании требования Министерства науки и высшего образования Российской Федерации - не позднее 10-го рабочего дня со дня получения университетом указанного требования;
б) на основании представления и (или) предписания органа государственного финансового контроля - в сроки, установленные в соответствии с бюджетным законодательством Российской Федерации.
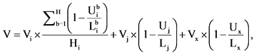
45. Расчет размера гранта, подлежащего возврату в федеральный бюджет (V), осуществляется по формуле:

где:
Vi - размер гранта, полученный университетом в отчетном году на достижение результата предоставления гранта, указанного в подпункте "а" пункта 7 настоящих Правил;
H - значение показателя, необходимого для достижения результата предоставления гранта, указанного в пункте 8 настоящих Правил;
- значение b-го показателя, необходимого для достижения результата предоставления гранта, указанного в пункте 8 настоящих Правил, фактически достигнутое университетом в отчетном году в рамках достижения результата предоставления гранта, указанного в подпункте "а" пункта 7 настоящих Правил;
- плановое значение b-го показателя, необходимого для достижения результата предоставления гранта, указанного в пункте 8 настоящих Правил, установленное в программе развития передовой инженерной школы на отчетный год в рамках достижения результата предоставления гранта, указанного в подпункте "а" пункта 7 настоящих Правил;
Hi - общее количество показателей, необходимых для достижения результата предоставления гранта, указанных в пункте 8 настоящих Правил;
Vj - размер гранта, полученный университетом в отчетном году в рамках достижения результата предоставления гранта, указанного в подпункте "б" пункта 7 настоящих Правил;
Uj - значение результата предоставления гранта, указанного в подпункте "б" пункта 7 настоящих Правил, фактически достигнутое университетом в отчетном году;
Lj - плановое значение результата предоставления гранта, указанного в подпункте "б" пункта 7 настоящих Правил, на отчетный год;
Vx - размер гранта, полученный университетом в отчетном году в рамках достижения результата предоставления гранта, указанного в подпункте "в" пункта 7 настоящих Правил;
Ux - значение результата предоставления гранта, указанного в подпункте "в" пункта 7 настоящих Правил, фактически достигнутое университетом в отчетном году;
Lx - плановое значение результата предоставления гранта, указанного в подпункте "в" пункта 7 настоящих Правил, на отчетный год.
46. При недостижении университетом значений результатов предоставления гранта и показателей, необходимых для достижения результатов предоставления гранта, в случае наступления документально подтвержденных обстоятельств непреодолимой силы, препятствующих исполнению соответствующих обязательств, возврат гранта в федеральный бюджет не осуществляется.
Приложение
к Правилам предоставления грантов
в форме субсидий из федерального
бюджета на поддержку программ
развития передовых инженерных
школ, обеспечение прохождения
практик и стажировок, в том числе
в формате работы с наставниками,
для талантливых студентов
лучших магистерских программ,
обеспечение повышения квалификации
и (или) профессиональной переподготовки,
в том числе в форме стажировки
на базе высокотехнологичных компаний,
для профессорско-преподавательского
состава и управленческих команд
передовых инженерных школ,
а также образовательных организаций
высшего образования, реализующих
образовательные программы
инженерного профиля
ПЕРЕЧЕНЬ
СПЕЦИАЛЬНОСТЕЙ И НАПРАВЛЕНИЙ ПОДГОТОВКИ ВЫСШЕГО ОБРАЗОВАНИЯ
ДЛЯ ПОДГОТОВКИ ИНЖЕНЕРНЫХ КАДРОВ
|
Коды укрупненных групп направлений подготовки (специальностей). Коды направлений подготовки (специальностей)
|
Наименования укрупненных групп направлений подготовки (специальностей). Наименования направлений подготовки (специальностей)
|
|
МАТЕМАТИЧЕСКИЕ И ЕСТЕСТВЕННЫЕ НАУКИ
|
|
|
04.00.00
|
ХИМИЯ
|
|
04.03.01
|
Химия
|
|
04.03.02
|
Химия, физика и механика материалов
|
|
04.04.01
|
Химия
|
|
04.04.02
|
Химия, физика и механика материалов
|
|
04.05.01
|
Фундаментальная и прикладная химия
|
|
04.06.01
|
Химические науки
|
|
06.00.00
|
БИОЛОГИЧЕСКИЕ НАУКИ
|
|
06.05.01
|
Биоинженерия и биоинформатика
|
|
06.05.02
|
Фундаментальная и прикладная биология
|
|
06.06.01
|
Биологические науки
|
|
ИНЖЕНЕРНОЕ ДЕЛО, ТЕХНОЛОГИИ И ТЕХНИЧЕСКИЕ НАУКИ
|
|
|
09.00.00
|
ИНФОРМАТИКА И ВЫЧИСЛИТЕЛЬНАЯ ТЕХНИКА
|
|
09.03.01
|
Информатика и вычислительная техника
|
|
09.03.02
|
Информационные системы и технологии
|
|
09.03.03
|
Прикладная информатика
|
|
09.03.04
|
Программная инженерия
|
|
09.04.01
|
Информатика и вычислительная техника
|
|
09.04.02
|
Информационные системы и технологии
|
|
09.04.03
|
Прикладная информатика
|
|
09.04.04
|
Программная инженерия
|
|
09.05.01
|
Применение и эксплуатация автоматизированных систем специального назначения
|
|
09.06.01
|
Информатика и вычислительная техника
|
|
11.00.00
|
ЭЛЕКТРОНИКА, РАДИОТЕХНИКА И СИСТЕМЫ СВЯЗИ
|
|
11.03.01
|
Радиотехника
|
|
11.03.02
|
Инфокоммуникационные технологии и системы связи
|
|
11.03.03
|
Конструирование и технология электронных средств
|
|
11.03.04
|
Электроника и наноэлектроника
|
|
11.04.01
|
Радиотехника
|
|
11.04.02
|
Инфокоммуникационные технологии и системы связи
|
|
11.04.03
|
Конструирование и технология электронных средств
|
|
11.04.04
|
Электроника и наноэлектроника
|
|
11.05.01
|
Радиоэлектронные системы и комплексы
|
|
11.05.02
|
Специальные радиотехнические системы
|
|
11.05.03
|
Применение и эксплуатация средств и систем специального мониторинга
|
|
11.05.04
|
Инфокоммуникационные технологии и системы специальной связи
|
|
11.06.01
|
Электроника, радиотехника и системы связи
|
|
12.00.00
|
ФОТОНИКА, ПРИБОРОСТРОЕНИЕ, ОПТИЧЕСКИЕ И БИОТЕХНИЧЕСКИЕ СИСТЕМЫ И ТЕХНОЛОГИИ
|
|
12.03.01
|
Приборостроение
|
|
12.03.02
|
Оптотехника
|
|
12.03.03
|
Фотоника и оптоинформатика
|
|
12.03.04
|
Биотехнические системы и технологии
|
|
12.03.05
|
Лазерная техника и лазерные технологии
|
|
12.04.01
|
Приборостроение
|
|
12.04.02
|
Оптотехника
|
|
12.04.03
|
Фотоника и оптоинформатика
|
|
12.04.04
|
Биотехнические системы и технологии
|
|
12.04.05
|
Лазерная техника и лазерные технологии
|
|
12.05.01
|
Электронные и оптико-электронные приборы специального назначения
|
|
12.06.01
|
Фотоника, приборостроение, оптические и биотехнические системы и технологии
|
|
13.00.00
|
ЭЛЕКТРО- И ТЕПЛОЭНЕРГЕТИКА
|
|
13.03.01
|
Теплоэнергетика и теплотехника
|
|
13.03.02
|
Электроэнергетика и электротехника
|
|
13.03.03
|
Энергетическое машиностроение
|
|
13.04.01
|
Теплоэнергетика и теплотехника
|
|
13.04.02
|
Электроэнергетика и электротехника
|
|
13.04.03
|
Энергетическое машиностроение
|
|
13.05.01
|
Тепло- и электрообеспечение специальных технических систем и объектов
|
|
13.05.02
|
Специальные электромеханические системы
|
|
13.06.01
|
Электро- и теплотехника
|
|
14.00.00
|
ЯДЕРНАЯ ЭНЕРГЕТИКА И ТЕХНОЛОГИИ
|
|
14.03.01
|
Ядерная энергетика и теплофизика
|
|
14.03.02
|
Ядерные физика и технологии
|
|
14.04.01
|
Ядерная энергетика и теплофизика
|
|
14.04.02
|
Ядерные физика и технологии
|
|
14.05.01
|
Ядерные реакторы и материалы
|
|
14.05.02
|
Атомные станции: проектирование, эксплуатация и инжиниринг
|
|
14.05.03
|
Технологии разделения изотопов и ядерное топливо
|
|
14.05.04
|
Электроника и автоматика физических установок
|
|
14.06.01
|
Ядерная, тепловая и возобновляемая энергетика и сопутствующие технологии
|
|
15.00.00
|
МАШИНОСТРОЕНИЕ
|
|
15.03.01
|
Машиностроение
|
|
15.03.02
|
Технологические машины и оборудование
|
|
15.03.03
|
Прикладная механика
|
|
15.03.04
|
Автоматизация технологических процессов и производств
|
|
15.03.05
|
Конструкторско-технологическое обеспечение машиностроительных производств
|
|
15.03.06
|
Мехатроника и робототехника
|
|
15.04.01
|
Машиностроение
|
|
15.04.02
|
Технологические машины и оборудование
|
|
15.04.03
|
Прикладная механика
|
|
15.04.04
|
Автоматизация технологических процессов и производств
|
|
15.04.05
|
Конструкторско-технологическое обеспечение машиностроительных производств
|
|
15.04.06
|
Мехатроника и робототехника
|
|
15.05.01
|
Проектирование технологических машин и комплексов
|
|
15.05.02
|
Робототехника военного и специального назначения
|
|
15.06.01
|
Машиностроение
|
|
16.00.00
|
ФИЗИКО-ТЕХНИЧЕСКИЕ НАУКИ И ТЕХНОЛОГИИ
|
|
16.03.01
|
Техническая физика
|
|
16.03.02
|
Высокотехнологические плазменные и энергетические установки
|
|
16.03.03
|
Холодильная, криогенная техника и системы жизнеобеспечения
|
|
16.04.01
|
Техническая физика
|
|
16.04.02
|
Высокотехнологические плазменные и энергетические установки
|
|
16.04.03
|
Холодильная, криогенная техника и системы жизнеобеспечения
|
|
16.05.01
|
Специальные системы жизнеобеспечения
|
|
16.06.01
|
Физико-технические науки и технологии
|
|
18.00.00
|
ХИМИЧЕСКИЕ ТЕХНОЛОГИИ
|
|
18.03.01
|
Химическая технология
|
|
18.03.02
|
Энерго- и ресурсосберегающие процессы в химической технологии, нефтехимии и биотехнологии
|
|
18.04.01
|
Химическая технология
|
|
18.04.02
|
Энерго- и ресурсосберегающие процессы в химической технологии, нефтехимии и биотехнологии
|
|
18.05.01
|
Химическая технология энергонасыщенных материалов и изделий
|
|
18.05.02
|
Химическая технология материалов современной энергетики
|
|
18.06.01
|
Химическая технология
|
|
19.00.00
|
ПРОМЫШЛЕННАЯ ЭКОЛОГИЯ И БИОТЕХНОЛОГИИ
|
|
19.03.01
|
Биотехнология
|
|
19.03.02
|
Продукты питания из растительного сырья
|
|
19.03.03
|
Продукты питания животного происхождения
|
|
19.03.04
|
Технология продукции и организация общественного питания
|
|
19.04.01
|
Биотехнология
|
|
19.04.02
|
Продукты питания из растительного сырья
|
|
19.04.03
|
Продукты питания животного происхождения
|
|
19.04.04
|
Технология продукции и организация общественного питания
|
|
19.04.05
|
Высокотехнологичные производства пищевых продуктов функционального и специализированного назначения
|
|
19.06.01
|
Промышленная экология и биотехнологии
|
|
20.00.00
|
ТЕХНОСФЕРНАЯ БЕЗОПАСНОСТЬ И ПРИРОДООБУСТРОЙСТВО
|
|
20.03.01
|
Техносферная безопасность
|
|
20.03.02
|
Природообустройство и водопользование
|
|
20.04.01
|
Техносферная безопасность
|
|
20.04.02
|
Природообустройство и водопользование
|
|
20.05.01
|
Пожарная безопасность
|
|
20.06.01
|
Техносферная безопасность
|
|
21.00.00
|
ПРИКЛАДНАЯ ГЕОЛОГИЯ, ГОРНОЕ ДЕЛО, НЕФТЕГАЗОВОЕ ДЕЛО И ГЕОДЕЗИЯ
|
|
21.03.01
|
Нефтегазовое дело
|
|
21.03.02
|
Землеустройство и кадастры
|
|
21.03.03
|
Геодезия и дистанционное зондирование
|
|
21.04.01
|
Нефтегазовое дело
|
|
21.04.02
|
Землеустройство и кадастры
|
|
21.04.03
|
Геодезия и дистанционное зондирование
|
|
21.05.01
|
Прикладная геодезия
|
|
21.05.02
|
Прикладная геология
|
|
21.05.03
|
Технология геологической разведки
|
|
21.05.04
|
Горное дело
|
|
21.05.05
|
Физические процессы горного или нефтегазового производства
|
|
21.05.06
|
Нефтегазовые техника и технологии
|
|
21.06.01
|
Геология, разведка и разработка полезных ископаемых
|
|
21.06.02
|
Геодезия
|
|
22.00.00
|
ТЕХНОЛОГИИ МАТЕРИАЛОВ
|
|
22.03.01
|
Материаловедение и технологии материалов
|
|
22.03.02
|
Металлургия
|
|
22.04.01
|
Материаловедение и технологии материалов
|
|
22.04.02
|
Металлургия
|
|
22.06.01
|
Технологии материалов
|
|
23.00.00
|
ТЕХНИКА И ТЕХНОЛОГИИ НАЗЕМНОГО ТРАНСПОРТА
|
|
23.03.01
|
Технология транспортных процессов
|
|
23.03.02
|
Наземные транспортно-технологические комплексы
|
|
23.03.03
|
Эксплуатация транспортно-технологических машин и комплексов
|
|
23.04.01
|
Технология транспортных процессов
|
|
23.04.02
|
Наземные транспортно-технологические комплексы
|
|
23.04.03
|
Эксплуатация транспортно-технологических машин и комплексов
|
|
23.05.01
|
Наземные транспортно-технологические средства
|
|
23.05.02
|
Транспортные средства специального назначения
|
|
23.05.03
|
Подвижной состав железных дорог
|
|
23.05.04
|
Эксплуатация железных дорог
|
|
23.05.05
|
Системы обеспечения движения поездов
|
|
23.05.06
|
Строительство железных дорог, мостов и транспортных тоннелей
|
|
23.06.01
|
Техника и технологии наземного транспорта
|
|
24.00.00
|
АВИАЦИОННАЯ И РАКЕТНО-КОСМИЧЕСКАЯ ТЕХНИКА
|
|
24.03.01
|
Ракетные комплексы и космонавтика
|
|
24.03.02
|
Системы управления движением и навигация
|
|
24.03.03
|
Баллистика и гидроаэродинамика
|
|
24.03.04
|
Авиастроение
|
|
24.03.05
|
Двигатели летательных аппаратов
|
|
24.04.01
|
Ракетные комплексы и космонавтика
|
|
24.04.02
|
Системы управления движением и навигация
|
|
24.04.03
|
Баллистика и гидроаэродинамика
|
|
24.04.04
|
Авиастроение
|
|
24.04.05
|
Двигатели летательных аппаратов
|
|
24.05.01
|
Проектирование, производство и эксплуатация ракет и ракетно-космических комплексов
|
|
24.05.02
|
Проектирование авиационных и ракетных двигателей
|
|
24.05.03
|
Испытание летательных аппаратов
|
|
24.05.04
|
Навигационно-баллистическое обеспечение применения космической техники
|
|
24.05.05
|
Интегрированные системы летательных аппаратов
|
|
24.05.06
|
Системы управления летательными аппаратами
|
|
24.05.07
|
Самолето- и вертолетостроение
|
|
24.06.01
|
Авиационная и ракетно-космическая техника
|
|
25.00.00
|
АЭРОНАВИГАЦИЯ И ЭКСПЛУАТАЦИЯ АВИАЦИОННОЙ И РАКЕТНО-КОСМИЧЕСКОЙ ТЕХНИКИ
|
|
25.03.01
|
Техническая эксплуатация летательных аппаратов и двигателей
|
|
25.03.02
|
Техническая эксплуатация авиационных электросистем и пилотажно-навигационных комплексов
|
|
25.03.03
|
Аэронавигация
|
|
25.03.04
|
Эксплуатация аэропортов и обеспечение полетов воздушных судов
|
|
25.04.01
|
Техническая эксплуатация летательных аппаратов и двигателей
|
|
25.04.02
|
Техническая эксплуатация авиационных электросистем и пилотажно-навигационных комплексов
|
|
25.04.03
|
Аэронавигация
|
|
25.04.04
|
Эксплуатация аэропортов и обеспечение полетов воздушных судов
|
|
25.05.01
|
Техническая эксплуатация и восстановление боевых летательных аппаратов и двигателей
|
|
25.05.02
|
Техническая эксплуатация и восстановление электросистем и пилотажно-навигационных комплексов боевых летательных аппаратов
|
|
25.05.03
|
Техническая эксплуатация транспортного радиооборудования
|
|
25.05.04
|
Летная эксплуатация и применение авиационных комплексов
|
|
25.05.05
|
Эксплуатация воздушных судов и организация воздушного движения
|
|
25.06.01
|
Аэронавигация и эксплуатация авиационной и ракетно-космической техники
|
|
26.00.00
|
ТЕХНИКА И ТЕХНОЛОГИИ КОРАБЛЕСТРОЕНИЯ И ВОДНОГО ТРАНСПОРТА
|
|
26.03.01
|
Управление водным транспортом и гидрографическое обеспечение судоходства
|
|
26.03.02
|
Кораблестроение, океанотехника и системотехника объектов морской инфраструктуры
|
|
26.03.03
|
Водные пути, порты и гидротехнические сооружения
|
|
26.04.01
|
Управление водным транспортом и гидрографическое обеспечение судоходства
|
|
26.04.02
|
Кораблестроение, океанотехника и системотехника объектов морской инфраструктуры
|
|
26.05.01
|
Проектирование и постройка кораблей, судов и объектов океанотехники
|
|
26.05.02
|
Проектирование, изготовление и ремонт энергетических установок и систем автоматизации кораблей и судов
|
|
26.05.03
|
Строительство, ремонт и поисково-спасательное обеспечение надводных кораблей и подводных лодок
|
|
26.05.04
|
Применение и эксплуатация технических систем надводных кораблей и подводных лодок
|
|
26.05.05
|
Судовождение
|
|
26.05.06
|
Эксплуатация судовых энергетических установок
|
|
26.05.07
|
Эксплуатация судового электрооборудования и средств автоматики
|
|
26.06.01
|
Техника и технологии кораблестроения и водного транспорта
|
|
27.00.00
|
УПРАВЛЕНИЕ В ТЕХНИЧЕСКИХ СИСТЕМАХ
|
|
27.03.01
|
Стандартизация и метрология
|
|
27.03.02
|
Управление качеством
|
|
27.03.03
|
Системный анализ и управление
|
|
27.03.04
|
Управление в технических системах
|
|
27.03.05
|
Инноватика
|
|
27.04.01
|
Стандартизация и метрология
|
|
27.04.02
|
Управление качеством
|
|
27.04.03
|
Системный анализ и управление
|
|
27.04.04
|
Управление в технических системах
|
|
27.04.05
|
Инноватика
|
|
27.04.06
|
Организация и управление наукоемкими производствами
|
|
27.04.07
|
Наукоемкие технологии и экономика инноваций
|
|
27.04.08
|
Управление интеллектуальной собственностью
|
|
27.05.01
|
Специальные организационно-технические системы
|
|
27.05.02
|
Метрологическое обеспечение вооружения и военной техники
|
|
27.06.01
|
Управление в технических системах
|
|
28.00.00
|
НАНОТЕХНОЛОГИИ И НАНОМАТЕРИАЛЫ
|
|
28.03.01
|
Нанотехнологии и микросистемная техника
|
|
28.03.02
|
Наноинженерия
|
|
28.03.03
|
Наноматериалы
|
|
28.04.01
|
Нанотехнологии и микросистемная техника
|
|
28.04.02
|
Наноинженерия
|
|
28.04.03
|
Наноматериалы
|
|
28.04.04
|
Наносистемы и наноматериалы
|
|
28.06.01
|
Нанотехнологии и наноматериалы
|
|
29.00.00
|
ТЕХНОЛОГИИ ЛЕГКОЙ ПРОМЫШЛЕННОСТИ
|
|
29.03.01
|
Технология изделий легкой промышленности
|
|
29.03.02
|
Технологии и проектирование текстильных изделий
|
|
29.03.03
|
Технология полиграфического и упаковочного производства
|
|
29.03.04
|
Технология художественной обработки материалов
|
|
29.03.05
|
Конструирование изделий легкой промышленности
|
|
29.04.01
|
Технология изделий легкой промышленности
|
|
29.04.02
|
Технологии и проектирование текстильных изделий
|
|
29.04.03
|
Технология полиграфического и упаковочного производства
|
|
29.04.04
|
Технология художественной обработки материалов
|
|
29.04.05
|
Конструирование изделий легкой промышленности
|
|
29.06.01
|
Технологии легкой промышленности
|