См. Документы Федерального агентства водных ресурсов
МИНИСТЕРСТВО ПРИРОДНЫХ РЕСУРСОВ И ЭКОЛОГИИ
РОССИЙСКОЙ ФЕДЕРАЦИИ
ФЕДЕРАЛЬНОЕ АГЕНТСТВО ВОДНЫХ РЕСУРСОВ
ПРИКАЗ
от 27 июня 2025 г. N 164
ОБ УТВЕРЖДЕНИИ ПРАВИЛ
ИСПОЛЬЗОВАНИЯ ВОДНЫХ РЕСУРСОВ МАРЬЕВСКОГО ВОДОХРАНИЛИЩА
В соответствии с пунктом 4 Положения о разработке, согласовании и утверждении правил использования водохранилищ, в том числе типовых правил использования водохранилищ, утвержденного постановлением Правительства Российской Федерации от 22 апреля 2009 г. N 349, приказываю:
1. Утвердить прилагаемые Правила использования водных ресурсов Марьевского водохранилища.
2. Настоящий приказ действует в течение 15 лет с даты его вступления в силу.
Руководитель
Д.М.КИРИЛЛОВ
Утверждены
приказом Росводресурсов
от 27.06.2025 N 164
ПРАВИЛА
ИСПОЛЬЗОВАНИЯ ВОДНЫХ РЕСУРСОВ МАРЬЕВСКОГО ВОДОХРАНИЛИЩА
I. Общие положения
1. Настоящие Правила разработаны в соответствии со статьей 45 Водного кодекса Российской Федерации и Методическими указаниями по разработке правил использования водохранилищ, утвержденными приказом Министерства природных ресурсов и экологии Российской Федерации от 26.01.2011 N 17 <1>.
--------------------------------
<1> Зарегистрирован Минюстом России 04.05.2011, регистрационный N 20655.
2. Настоящие Правила определяют режим использования водных ресурсов, в том числе режим наполнения и сработки, Марьевского водохранилища.
3. В настоящих Правилах все отметки нормативных и иных уровней воды, отметки сооружений гидроузла и других гидротехнических сооружений на водохранилище, отметки уровней воды на характеристиках пропускной способности сооружений и участков реки и водохранилища даны в действующей государственной Балтийской системе высот 1977 г.
II. Характеристики гидроузла, водохранилища
и их возможностей
4. Марьевское водохранилище находится в пределах территории Перелюбского муниципального района Саратовской области, в степной зоне умеренного климатического пояса.
Гидроузел, образующий Марьевское водохранилище, расположен в верховьях р. Камелик, в 21 км от истока реки (201 км от устья), в 1,5 км севернее села Марьевка и в 5 км севернее села Перелюб.
5. Марьевское водохранилище образовано речным средненапорным гидроузлом и относится к русловому долинному типу, его полезный объем позволяет осуществлять многолетнее регулирование стока р. Камелик.
6. Строительство Марьевского водохранилища начато в мае 1967 г. Водохранилище принято в постоянную эксплуатацию актом государственной приемочной комиссии от 22.11.1968. Начало заполнения водохранилища - апрель 1968 г.
7. Первоначальный проект гидроузла и водохранилища разработан Приволжским государственным институтом по проектированию сельскохозяйственного строительства "Приволжгипросельхозстрой" в 1967 г. В 2005 - 2006 гг. выполнена отсыпка верха плотины до проектных отметок, в 2013 г. осуществлено строительство нового сифонного водовыпуска. Проектная документация не сохранилась.
8. Задачей создания Марьевского водохранилища, содержащейся в первоначальном проекте гидроузла и водохранилища, являлось аккумулирование стока весеннего половодья и дождевых паводков для водоснабжения сел Перелюб и Марьевка Перелюбского муниципального района Саратовской области, водообводнения населенных пунктов, расположенных ниже створа гидроузла, а также для орошения сельскохозяйственных земель. Фактическое использование Марьевского водохранилища на момент вступления в силу настоящих Правил соответствует проектному назначению.
Марьевское водохранилище является водным объектом рыбохозяйственного значения.
9. Сведения о ранее действовавших нормативных документах, определявших режим использования водных ресурсов Марьевского водохранилища, отсутствуют.
10. Карта-схема расположения гидроузла и Марьевского водохранилища с указанием границ гидрографических единиц и водохозяйственных участков приведена в приложении N 1 к настоящим Правилам.
III. Основные характеристики водотока
11. Река Камелик, на которой расположено Марьевское водохранилище, является притоком р. Большой Иргиз. Общая длина р. Камелик - 222 км, площадь водосбора - 9070 км2.
Исток р. Камелик расположен на западных отрогах возвышенности Общий Сырт вблизи села Новый Камелик в Большечерниговском районе Самарской области. Река Камелик берет начало из системы прудов и запруд, образованных земляными плотинами в истоке реки. Протекает р. Камелик по холмистой низменности в широкой долине, в извилистом, меандрирующем русле, образующем множество стариц. Река Камелик впадает в р. Большой Иргиз с левого берега на 406 км от устья.
Гидроузел Марьевского водохранилища расположен в верховьях р. Камелик, на 201 км от устья. Площадь водосбора в створе гидроузла составляет 150 км2.
12. Параметры естественного годового стока в створе гидроузла:
|
Наименование параметра
|
Единица измерения
|
Значение параметра
|
|
Объем среднего многолетнего стока
|
млн м3
|
7,88
|
|
Максимальный наблюдавшийся (восстановленный) объем годового стока (1988/89 г.)
|
млн м3
|
15
|
|
Минимальный наблюдавшийся (восстановленный) объем годового стока (1969/70 г., 1984/85 г.)
|
млн м3
|
3,91
|
|
Максимальный наблюденный расход воды
|
м3/с
|
0,48
|
|
Минимальный наблюденный расход воды
|
м3/с
|
0,12
|
|
Коэффициент изменчивости годового стока (Cv)
|
-
|
0,40
|
|
Коэффициент асимметрии (Cs)
|
0,80
|
Расчетная кривая обеспеченности объемов годового стока (общего притока в водохранилище) в створе гидроузла Марьевского водохранилища:
|
Обеспеченность, %
|
Объем, млн м3
|
Обеспеченность, %
|
Объем, млн м3
|
Обеспеченность, %
|
Объем, млн м3
|
|
0,01
|
25,2
|
0,1
|
21,3
|
1
|
17
|
|
2
|
15,6
|
3
|
14,8
|
5
|
13,7
|
|
10
|
12,1
|
20
|
10,3
|
25
|
9,72
|
|
30
|
9,18
|
40
|
8,26
|
50
|
7,46
|
|
60
|
6,72
|
70
|
5,98
|
75
|
5,59
|
|
80
|
5,18
|
90
|
4,21
|
95
|
3,5
|
|
97
|
3,09
|
98
|
2,82
|
99
|
2,42
|
|
99,9
|
1,52
|
99,99
|
0,99
|
-
|
-
|
Расчетная кривая обеспеченности объемов годового стока (общего притока в водохранилище) в створе гидроузла Марьевского водохранилища приведена в приложении N 2 к настоящим Правилам.
Распределение объемов годового стока р. Камелик в створе гидроузла Марьевского водохранилища по сезонам года:
|
Условия водности, вероятность превышения
|
Объем стока, млн м3/в % от годового
|
|||
|
год
(III - II)
|
весна
(III - V)
|
лето - осень
(VI - XI)
|
зима
(XII - II)
|
|
|
Многоводный, 10%
|
12,1/100%
|
7,21/59,6%
|
3,19/26,4%
|
1,7/14%
|
|
Средний по водности, 50%
|
7,46/100%
|
5,17/69,4%
|
1,63/21,8%
|
0,66/8,8%
|
|
Маловодный, 75%
|
5,59/100%
|
5,09/91,1%
|
0,50/8,9%
|
0
|
|
Маловодный, 90%
|
4,21/100%
|
4,21/100%
|
0
|
0
|
|
Маловодный, 95%
|
3,50/100%
|
3,50/100%
|
0
|
0
|
|
Маловодный, 97%
|
3,09/100%
|
3,09/100%
|
0
|
0
|
|
Маловодный, 99%
|
2,42/100%
|
2,42/100%
|
0
|
0
|
В маловодные годы постоянного расхода воды в реке не наблюдается, сток только в период весеннего половодья. В остальные периоды устанавливается устойчивая межень и река представляет собой систему естественных плесов, разобщенных сухими перекатами.
13. Наибольшие в году расходы воды на р. Камелик наблюдаются в период весеннего половодья, которое длится 30 - 40 дней (наименьшая продолжительность - 13 дней, наибольшая - 70 дней). Начало весеннего половодья приходится на третью декаду марта - начало апреля; окончание - конец апреля - начало мая. Пик весеннего половодья наблюдается в конце марта - апреле.
Максимальные расходы и объемы летне-осенних и зимних паводков не превышают максимальные расходы и объемы весеннего половодья и в настоящих Правилах не установлены.
14. Характеристики максимального стока воды (максимальные расходы и объемы половодья) определены по методу гидрологической аналогии с использованием данных по гидрологическому посту-аналогу р. Чагра - Новотулка.
Статистические параметры максимального стока воды в створе гидроузла Марьевского водохранилища:
|
Наименование параметра
|
Статистические параметры кривой обеспеченности
|
Обеспеченность, %
|
||||||
|
средние многолетние максимальные расходы и объемы
|
коэффициент изменчивости максимальных расходов и объемов (Cv)
|
соотношение коэффициентов асимметрии и изменчивости максимальных расходов и объемов (Cs/Cv)
|
0,5
|
1
|
3
|
5
|
10
|
|
|
Максимальные расходы, м3/с
|
-
|
-
|
-
|
92,8
|
85,4
|
72,4
|
66
|
55
|
|
Объем стока, млн м3
|
6,35
|
0,63
|
1,0
|
18,9
|
17,4
|
14,7
|
13,5
|
11,6
|
IV. Состав и описание гидротехнических
сооружений водохранилища
15. В состав основных гидротехнических сооружений гидроузла Марьевского водохранилища входят земляная плотина, паводковый водосбросной канал, донные водовыпуски диаметром 250 и 300 мм и сифонный водовыпуск диаметром 400 мм.
16. Состав и описание гидротехнических сооружений Марьевского водохранилища:
|
Наименование сооружения
|
Местоположение сооружения
|
Описание сооружения
|
|
Земляная плотина
|
Перекрывает русло р. Камелик.
Справа примыкает к коренному склону
|
Земляная насыпная плотина из местных грунтов (тяжелые суглинки) с частично крепленым верховым откосом.
Основные параметры:
- проектная отметка гребня плотины - 83,92 м; фактическая - от 83,20 до 83,50 м;
- длина плотины по гребню - 1244 м;
- ширина по гребню - 6 м;
- максимальная ширина по основанию - 124,6 м;
- максимальная высота - 13,9 м;
- максимальный напор на плотину - 10,7 м.
Заложение откосов: верхового - 1:3 (верхней части), далее - 1:6, низового - от 1:2 до 1:3.
Верховой откос в верхней части от волновых воздействий частично крепится сборными железобетонными плитами размером 4 x 2 x 0,15 м по слою щебеночно-песчаной подготовки толщиной 12 см. Остальная часть плотины закрепляется отсыпкой бутового камня толщиной слоя 30 см.
От ветровой эрозии низовой откос плотины крепится посевом трав по слою растительной земли толщиной 20 см
|
|
Паводковый водосбросной канал
|
Примыкает к левому берегу
|
Открытый водосбросной канал, нерегулируемый.
Сброс паводковых вод производится в балку, расположенную в 600 м от створа плотины, затем по балке в р. Камелик.
Канал трапецеидального сечения в земляном русле. Начальный и концевой участок канала закреплен каменной наброской.
Основные параметры:
- ширина канала по дну - 46 м;
- длина канала - 600 м;
- отметка дна канала на входе (порога водослива) - 81,42 м;
- отметка верха водосброса - 83,92 м;
- уклон канала - 0,0004;
- заложение откосов преимущественно 1:5
|
|
Донный водовыпуск диаметром 250 мм
|
В теле плотины, на расстоянии 620 м от начала плотины
|
Донный трубчатый водовыпуск из стальной трубы диаметром 250 мм предназначен для забора воды на водоснабжение и опорожнения водохранилища. Основные параметры:
- диаметр водовыпуска - 250 мм;
- длина водовыпуска - 93 м;
- отметка оси входного оголовка - 71,80 м;
- отметка оси выходного оголовка - 71,70 м.
На входном оголовке установлена рыбозаградительная решетка, которая выполняет функцию сороудерживающего сооружения. В концевой части донного водовыпуска устроен смотровой колодец с запорной арматурой
|
|
Донный водовыпуск диаметром 300 мм
|
В теле плотины, на расстоянии 528 м от начала плотины
|
Донный трубчатый водовыпуск из стальной трубы диаметром 300 мм. Предназначен для забора воды на водоснабжение.
Основные параметры:
- диаметр водовыпуска - 300 мм;
- длина водовыпуска - 110 м;
- отметка оси входного оголовка - 72,40 м;
- отметка оси выходного оголовка - 71,80 м.
На входном оголовке установлена рыбозаградительная решетка, которая выполняет функцию сороудерживающего сооружения. В концевой части донного водовыпуска устроен смотровой колодец с запорной арматурой.
Вода подается по донному водовыпуску в отводящий канал и далее по каналу к стационарной насосной станции. Отводящий канал устроен в земляном русле трапецеидального сечения в полувыемке - полунасыпи с откосами 1:1,5, уклоном канала 0,00026, шириной по дну - 3 м
|
|
Сифонный водовыпуск диаметром 400 мм
|
В правой части тела плотины
|
Сифонный регулируемый водовыпуск состоит из двух ниток металлических труб. Предназначен для забора воды на водоснабжение населенных пунктов. Основные параметры:
- диаметр водовыпуска - 400 мм;
- длина водовыпуска - 64,4 м;
- отметка оси входной части - 77,30 м;
- отметка оси выходной части - 73,20 м.
Включение водовыпуска осуществляется путем наполнения сифона водой через зарядное устройство, выключение водовыпуска - путем открытия зарядного устройства и поступления воздуха в сифон.
Сифонный водовыпуск оборудован рыбозаградительной решеткой
|
|
Судоходные шлюзы и судоподъемные устройства, насосные станции и другие сооружения и устройства, в том числе не входящие в состав гидроузла Марьевского водохранилища гидротехнические сооружения, оказывающие влияние на режим использования водных ресурсов водохранилища или накладывающие определенные ограничения на режим регулирования уровней воды в водохранилище, в составе гидроузла и на акватории водохранилища отсутствуют.
|
||
17. Характеристика пропускной способности паводкового водосбросного канала в зависимости от уровней воды в верхнем бьефе гидроузла Марьевского водохранилища приведена в приложении N 3 к настоящим Правилам.
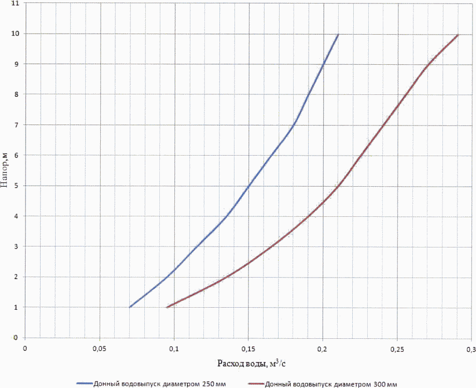
Пропускная способность донных водовыпусков приведена в приложении N 4 к настоящим Правилам.
V. Основные параметры водохранилища
18. Характерные (нормативные) уровни воды в Марьевском водохранилище:
|
Наименование параметра
|
Значение параметра, м
|
|
Нормальный подпорный уровень (далее - НПУ)
|
81,42
|
|
Минимальный допустимый уровень, уровень мертвого объема (далее - УМО)
|
74,90
|
|
Максимальный допустимый (для расчетных характеристик максимальной водности) уровень, форсированный подпорный уровень (далее - ФПУ)
|
82,32
|
|
Уровень принудительной предполоводной сработки (далее - УПС) на 1 марта
|
80,62
|
19. Топографические характеристики Марьевского водохранилища:
|
Наименование параметра
|
Единица измерения
|
Значение параметра
|
|
Площадь зеркала водохранилища при НПУ
|
км2
|
5,3
|
|
Площадь зеркала водохранилища при УМО
|
км2
|
0,925
|
|
Полная статическая емкость водохранилища при НПУ, полный объем
|
млн м3
|
20,4
|
|
Полная статическая емкость водохранилища при УМО, мертвый объем
|
млн м3
|
1,26
|
|
Полезный объем водохранилища при НПУ, разница между полным и мертвым объемами
|
млн м3
|
19,14
|
|
Объем принудительной предполоводной сработки водохранилища, полезная статическая емкость водохранилища между отметками НПУ и УПС
|
млн м3
|
4,06
|
|
Полный форсированный объем водохранилища, полная статическая емкость водохранилища при отметке ФПУ
|
млн м3
|
24,4
|
|
Объем форсировки водохранилища, статическая емкость водохранилища между отметками ФПУ и НПУ
|
млн м3
|
4
|
Статическая кривая зависимости объемов воды в Марьевском водохранилище от уровней воды приведена в приложении N 5 к настоящим Правилам.
20. Состав и максимальная пропускная способность водопропускных сооружений гидроузла Марьевского водохранилища.
Состав водопропускных сооружений гидроузла водохранилища:
паводковый водосбросной канал (открытый, нерегулируемый, длина порога водослива - 46 м, отметка порога водослива 81,42 м - на отметке НПУ);
донный водовыпуск диаметром 250 мм (регулируемый, отметка оси входного оголовка - 71,80 м);
донный водовыпуск диаметром 300 мм (регулируемый, отметка оси входного оголовка - 72,40 м);
сифонный водовыпуск диаметром 400 мм (регулируемый, две нитки, отметка входной части - 77,30 м).
Максимальная пропускная способность водопропускных сооружений гидроузла Марьевского водохранилища:
|
Гидротехническое сооружение
|
Пропускная способность, м3/с
|
|
|
при НПУ
|
при ФПУ
|
|
|
Паводковый водосбросной канал
|
0
|
41
|
|
Донный водовыпуск диаметром 250 мм
|
0,2
|
0,21
|
|
Донный водовыпуск диаметром 300 мм
|
0,27
|
0,29
|
|
Сифонный водовыпуск диаметром 400 мм
|
0,87
|
0,87
|
|
Суммарная пропускная способность гидроузла
|
1,34
|
42,37
|
Допустимый максимальный (расчетный) расход воды в нижнем бьефе гидроузла Марьевского водохранилища при пропуске половодья:
расчетной вероятностью превышения 0,5% (поверочный случай) - 42,1 м3/с;
расчетной вероятностью превышения 3% (основной случай) - 32,9 м3/с.
21. Характерные расходы воды в нижнем бьефе гидроузла Марьевского водохранилища:
|
Наименование параметра
|
Значение параметра, м3/с
|
|
Расчетный средний многолетний расход воды
|
0,16
|
|
Расчетный среднемесячный расход 95% обеспеченности
|
0,03
|
|
Расчетный максимальный среднедекадный расход воды при пропуске половодья 3% обеспеченности
|
10,7
|
|
Минимальный среднесуточный сбросной расход воды по сезонам года:
|
|
|
весенний
|
0,04
|
|
летне-осенний
|
0,03
|
|
зимний
|
0,03
|
|
Максимальный по условиям незатопления в нижнем бьефе расход воды
|
не установлено
|
22. Расчетные уровни воды в нижнем бьефе гидроузла Марьевского водохранилища:
|
Наименование параметра
|
Значение параметра, м
|
|
Уровень воды при среднемноголетнем расходе воды
|
70,40
|
|
Уровень воды при среднемесячном расходе воды 95% обеспеченности
|
68,75
|
|
Уровень воды при минимальном среднесуточном расходе воды
|
68,14
|
23. Водные ресурсы Марьевского водохранилища используются в целях водоснабжения сел Перелюб и Марьевка Перелюбского муниципального района Саратовской области, обводнения населенных пунктов, расположенных ниже створа плотины, и орошения сельскохозяйственных земель.
Основные показатели использования водных ресурсов Марьевского водохранилища:
|
Показатель
|
Объем,
млн м3 в год
|
Характеристика
|
|
Забор (изъятие) водных ресурсов для водоснабжения населенных пунктов
|
0,38
|
Водопользователь: муниципальное унитарное предприятие "Перелюбское жилищно-коммунальное хозяйство". Забор воды осуществляется из водоподводящего канала в нижнем бьефе гидроузла. Максимальный среднемесячный расход - 0,03 м3/с
|
|
Забор (изъятие) водных ресурсов для орошения сельскохозяйственных земель
|
1,68
|
Забор воды осуществляется с мая по сентябрь из р. Камелик в нижнем бьефе гидроузла. Максимальный среднемесячный расход - 0,26 м3/с. Основные показатели водопользования:
- площадь орошаемых земель - 560 га,
- оросительная норма - 3000 м3 в год
|
|
Итого
|
2,06
|
-
|
Марьевское водохранилище является местом обитания, нереста и нагула рыб и молоди. Аквакультура (рыбоводство) в Марьевском водохранилище не осуществляется. В нижнем бьефе гидроузла Марьевского водохранилища нерестилища ценных промысловых видов рыб отсутствуют.
24. Среднемноголетний укрупненный водный баланс Марьевского водохранилища (по результатам расчета водохозяйственных балансов по многолетнему стоковому ряду с 1968/69 по 2020/21 гг.):
|
Статья баланса
|
Значение параметра, млн м3
|
|
Приходные статьи
|
|
|
Общий приток воды к водохранилищу
|
7,88
|
|
Осадки на зеркало водохранилища
|
1,64
|
|
Расходные статьи
|
|
|
Потери воды на испарение с поверхности водохранилища
|
3,93
|
|
Поступление воды в нижний бьеф
|
4,96
|
|
Фильтрация
|
0,63
|
25. Характеристики максимальных расходов и уровней воды в верхнем и нижнем бьефах гидроузла Марьевского водохранилища при пропуске половодий расчетных обеспеченностей:
|
Вероятность превышения
|
Максимальные среднесуточные расходы воды, м3/с
|
Максимальные уровни воды, м
|
||
|
в верхнем бьефе
|
в нижнем бьефе
|
в верхнем бьефе
|
в нижнем бьефе
|
|
|
0,5%
|
61,2
|
42,1
|
82,32
|
72,05
|
|
3%
|
47,8
|
32,9
|
82,17
|
71,80
|
VI. Требования по безопасности в верхнем и нижнем бьефах
26. Требования и ограничения, накладываемые на режим использования водных ресурсов Марьевского водохранилища в целях непревышения значений допустимых нагрузок на водоподпорные и водопропускные гидротехнические сооружения:
|
Наименование параметра
|
Значение параметра
|
|
Предельные отметки наполнения и сработки водохранилища:
|
|
|
в весенний период (март - май):
|
|
|
НПУ
|
81,42 м
|
|
ФПУ
|
82,32 м
|
|
УПС
|
80,62 м
|
|
в летне-осенний и зимний меженный периоды (июнь - февраль):
|
|
|
НПУ
|
81,42 м
|
|
ФПУ
|
82,32 м
|
|
УМО
|
74,90 м
|
|
Допустимые продолжительности стояния уровней воды на предельных отметках
|
не установлено
|
|
Допустимые интенсивности подъема и снижения уровней верхнего бьефа
|
не установлено
|
|
Максимальные допустимые напоры, действующие на водоподпорные и водопропускные сооружения:
|
|
|
на земляную плотину
|
10,7 м
|
|
Минимальные допустимые напоры по условиям работы гидромеханического оборудования
|
не установлено
|
|
Максимальные допустимые расходы воды через водопропускные сооружения гидроузла при отметке уровня воды 82,32 м (ФПУ),
|
42,37 м3/с
|
|
в том числе:
|
|
|
через паводковый водосброс
|
41 м3/с
|
|
через сифонный водовыпуск
|
0,87 м3/с
|
|
через донные водовыпуски
|
0,5 м3/с
|
|
Допустимые, рекомендуемые и запрещенные схемы маневрирования затворами водовыпусков
|
сработка водохранилища не ниже 74,90 м
|
|
Максимально допустимые отметки уровней воды в нижнем бьефе гидроузла по условиям незатопления систем вентиляции и энергоснабжения, помещений сооружений гидроузла, его оборудования, размещенного на внешних площадках
|
не установлено
|
27. Максимальные уровни воды у плотины гидроузла, обеспечивающие неподтопление объектов и территорий по длине водохранилища при пропуске максимальных расходов расчетной обеспеченности, не устанавливаются.
28. Максимально допустимые интенсивности сработки водохранилища в зимний период (декабрь - февраль) из условия обеспечения сохранности сооружений на берегах водохранилища, устойчивости берегов из-за изменения фильтрационных потоков и ледовых нагрузок на берега и сооружения не устанавливаются.
29. Максимально допустимые зарегулированные расходы сброса воды в нижний бьеф гидроузла водохранилища и соответствующие им уровни воды по условиям незатопления и неподтопления населенных пунктов, хозяйственных объектов и территорий не устанавливаются.
VII. Водопользование и объемы водопотребления
30. Водные ресурсы Марьевского водохранилища используются в целях забора (изъятия) воды на водоснабжение сел Перелюб и Марьевка Перелюбского муниципального района Саратовской области и для орошения сельскохозяйственных земель.
Основным показателем надежности обеспечения объемов водопотребления является показатель расчетной обеспеченности водоотдачи.
31. Использование водных ресурсов Марьевского водохранилища в целях водоснабжения осуществляется в течение всего года. Объем забора (изъятия) водных ресурсов за период 2018 - 2022 гг. - 0,38 млн м3 в год (в виде попусков в нижний бьеф).
Величина расчетной обеспеченности водоотдачи на водоснабжение населенных пунктов по числу бесперебойных лет - 98%.
32. Использование водных ресурсов Марьевского водохранилища в целях орошения осуществляется с мая по сентябрь.
Объем потребления водных ресурсов Марьевского водохранилища в целях орошения составляет 1,68 млн м3 в год.
Величина расчетной обеспеченности водоотдачи Марьевского водохранилища на орошение по числу бесперебойных лет - 98%.
33. Для исключения влияния внутригодового распределения дефицита воды на орошение в маловодные годы в режим регулирования с мая по сентябрь вводится ступень сниженной отдачи на 10 и 30% относительно гарантированной отдачи. Максимальный среднемесячный расход воды при сниженной на 10% отдаче водохранилища составляет 0,28 м3/с, при снижении на 30% - 0,22 м3/с.
34. Величина санитарного попуска в нижний бьеф гидроузла Марьевского водохранилища составляет:
маловодные годы обеспеченностью 90 - 99%:
в весенний период: март и май - 0,037 м3/с, апрель - 0,19 м3/с;
в летне-осенний и зимний периоды (июнь - февраль) - 0,02 м3/с;
в маловодные, средние по водности и многоводные годы обеспеченностью 10 - 75%:
в весенний период: март и май - 0,07 м3/с, апрель - 0,26 м3/с;
в летне-осенний и зимний периоды (июнь - февраль) - 0,02 м3/с.
Расчетная обеспеченность санитарного попуска по числу бесперебойных лет - 99%.
35. Поддержание благоприятных условий для естественного воспроизводства рыбных запасов обеспечивается соблюдением в нерестовый период режима использования водных ресурсов Марьевского водохранилища в соответствии с диспетчерским графиком работы Марьевского водохранилища, приведенным в приложении N 6 к настоящим Правилам.
36. Устанавливаются следующие ступени снижения отдачи Марьевского водохранилища относительно гарантированной:
первая ступень снижения отдачи на 10% относительно гарантированной обеспеченностью 99%;
вторая ступень снижения отдачи на 30% относительно гарантированной обеспеченностью 99,9%.
Ступени повышения отдачи Марьевского водохранилища относительно гарантированной не устанавливаются.
VIII. Порядок регулирования режима
функционирования водохранилища
37. Режим использования водных ресурсов Марьевского водохранилища назначается исходя из отметок уровней воды у плотины гидроузла в соответствии с диспетчерским графиком работы Марьевского водохранилища, приведенным в приложении N 6 к настоящим Правилам.
38. Поле диспетчерского графика, построенного в координатах отметок уровней воды у плотины гидроузла Марьевского водохранилища и времени года, разбито на 5 зон:
38.1. Зона I - зона неиспользуемого объема, расположена ниже отметки УМО. В данной зоне расход воды в нижний бьеф гидроузла за счет фильтрации составляет 0,015 - 0,02 м3/с. В течение всего года зона I ограничена линией 1 диспетчерского графика.
38.2. Зона II - зона перебоев или сниженной, относительно гарантированной, отдачи водохранилища (сбросной расход воды в нижний бьеф гидроузла, включая попуски на орошение, водоснабжение и санитарный попуск). В пределах зоны II выделены две подзоны:
подзона IIа - подзона отдачи, сниженной на 10% относительно гарантированной. Сбросной расход в нижний бьеф гидроузла в данной подзоне назначается в диапазоне 0,063 - 0,28 м3/с. С мая по сентябрь подзона IIа ограничена линиями 2 и 3 диспетчерского графика;
подзона IIб - подзона отдачи, сниженной на 30% относительно гарантированной. Сбросной расход в нижний бьеф гидроузла в данной подзоне назначается в диапазоне 0,049 - 0,22 м3/с. С мая по сентябрь подзона IIб ограничена линиями 1 и 2 диспетчерского графика.
38.3. Зона III - зона гарантированного режима. Сбросной расход в нижний бьеф гидроузла в данной зоне назначается в диапазоне 0,032 - 1,3 м3/с. В течение всего года зона III ограничена линиями 1, 3, 4 и 5 диспетчерского графика.
38.4. Зона IV - зона противопаводковой призмы, сбросной расход в нижний бьеф назначается в диапазоне 0,57 - 1,33 м3/с. С февраля по апрель зона IV ограничена линиями 4 и 5 диспетчерского графика.
38.5. Зона V - зона максимальных сбросов. Сбросной расход в нижний бьеф гидроузла в данной зоне назначается в диапазоне 1,34 - 42,37 м3/с. В течение всего года зона V ограничена линиями 4 и 6 диспетчерского графика.
39. Регулирование режима работы Марьевского водохранилища по диспетчерскому графику осуществляется в соответствии с интервалами регулирования, составляющими 1 календарный месяц в течение всего календарного года в период с марта по февраль.
При интенсивном развитии половодья, а также при прохождении высоких паводковых вод интервал регулирования может быть сокращен до одних суток и менее.
40. Режимы работы Марьевского водохранилища по диспетчерскому графику, включая порядок прохождения границ зон и подзон диспетчерского графика, назначаются в следующем порядке:
40.1. Сбросные расходы в нижний бьеф гидроузла назначаются исходя из расчетного значения уровня воды у плотины гидроузла на конец конкретного интервала регулирования таким образом, чтобы средний за указанный интервал сбросной расход в нижний бьеф гидроузла был равен соответствующим значениям той зоны (подзоны) диспетчерского графика, в пределах которой окажется расчетная отметка уровня воды в водохранилище в конце интервала регулирования. Таким образом, изменение режима работы Марьевского водохранилища может осуществляться до пересечения линий, разграничивающих зоны (подзоны) диспетчерского графика.
В случае если расчетное значение отметки уровня воды на конец интервала регулирования попадает точно на границу зон (подзон) диспетчерского графика, средний за указанный интервал сбросной расход в нижний бьеф гидроузла должен располагаться в пределах значений сбросных расходов, соответствующих зон (подзон) диспетчерского графика, разграничиваемых данными линиями.
40.2. При назначении режимов работы Марьевского водохранилища на поле диспетчерского графика наносится отметка уровня воды у плотины гидроузла на начало расчетного интервала времени (интервала регулирования) и определяется зона (подзона), в которой начинает работать гидроузел в этот интервал времени.
Среднеинтервальный сбросной расход в нижнем бьефе гидроузла определяется соответствующей зоной (подзоной) диспетчерского графика.
Расчет отметки уровня воды на конец интервала регулирования выполняется по заданному сбросному расходу в нижний бьеф гидроузла и притоку в Марьевское водохранилище (прогнозному или оценочному).
В соответствии с определенной зоной (подзоной) определяется среднеинтервальный расход воды в нижний бьеф гидроузла.
Расчет отметки уровня воды на конец интервала регулирования выполняется по заданному расходу воды в нижний бьеф гидроузла и притоку воды в Марьевское водохранилище (прогнозному или оценочному).
40.3. Уровень воды в Марьевском водохранилище в течение всего года (за исключением периода подготовки и пропуска половодья) следует поддерживать на отметке 81,42 м, уровень предполоводной сработки (80,62 м) достигается к 1 марта.
41. Допустимое на конец расчетного интервала регулирования отклонение отметки уровня воды у плотины гидроузла Марьевского водохранилища от расчетной отметки не должно превышать +/- 5 см (без учета сгонно-нагонных ветровых явлений).
В случае если назначенный сбросной расход в нижний бьеф гидроузла не соответствует ни одной зоне (подзоне) диспетчерского графика (при попадании расчетной отметки уровня воды в Марьевском водохранилище на границу двух зон (подзон) диспетчерского графика), отклонение среднего фактического сбросного расхода в нижний бьеф гидроузла за прошедший интервал регулирования должно находиться в пределах допустимых отклонений для зон (подзон), по границе которых был назначен сбросной расход в нижний бьеф гидроузла.
Отклонение среднего фактического сбросного расхода воды в нижний бьеф гидроузла за прошедший интервал регулирования от расхода, требуемого по диспетчерскому графику, не должно превышать +/- 5%.
При установлении режима работы Марьевского водохранилища в виде диапазона расходов (отметок) допустимые отклонения не устанавливаются.
В случае ожидающегося перехода уровня воды в верхнем бьефе у плотины гидроузла в течение одного интервала регулирования из одной зоны диспетчерского графика в другую допускается не изменять режим работы Марьевского водохранилища при условии отклонения расчетной отметки наполнения данного водохранилища (на конец интервала регулирования) от координаты границы зоны (подзоны), в соответствии с которой был установлен сбросной расход в нижний бьеф гидроузла на величину до +/- 5 см (без учета сгонно-нагонных ветровых явлений).
42. При наличии гидрологических прогнозов притока воды в Марьевское водохранилище на предстоящий интервал регулирования устанавливается следующий порядок их использования:
если уровень воды у плотины гидроузла на начало интервала регулирования находится на линии ограничений или ниже, принимается нижний предел прогноза притока;
если уровень воды у плотины гидроузла на начало интервала регулирования находится в пределах гарантированного режима, принимается среднее значение диапазона прогноза притока;
если уровень воды у плотины гидроузла на начало интервала регулирования находится на верхней противоперебойной линии или превышает ее, принимается верхний предел прогноза притока.
При отсутствии прогнозов притока воды в Марьевское водохранилище приток на предстоящий интервал регулирования вычисляется путем экстраполяции изменения фактического притока воды в данное водохранилище за предшествующие 10 - 15 суток.
43. Ограничения на внутрисуточные и внутринедельные изменения режимов работы гидроузла и на режим его работы в зимних условиях не устанавливаются.
44. Кривые продолжительности основных элементов режимов работы Марьевского водохранилища приведены в приложении N 7 к настоящим Правилам.
45. Полные балансовые таблицы расчетных режимов работы Марьевского водохранилища за конкретные водохозяйственные годы с объемами стока, близкими по расчетным обеспеченностям к характерным значениям, приведены в приложении N 8 к настоящим Правилам.
46. Полные балансовые таблицы расчетных режимов работы Марьевского водохранилища за самый маловодный пятилетний период многолетнего расчетного ряда (с 2006/07 по 2010/11 водохозяйственные годы) приведены в приложении N 9 к настоящим Правилам.
47. Таблицы расчетных режимов пропуска модельных половодий расчетных обеспеченностей через гидроузел Марьевского водохранилища приведены в приложении N 10 к настоящим Правилам.
48. Продольные профили с координатами расчетных кривых свободной поверхности Марьевского водохранилища и водотока в верхнем и нижнем бьефах гидроузла Марьевского водохранилища при прохождении максимальных расходов воды расчетной обеспеченности приведены в приложении N 11 к настоящим Правилам.
IX. Порядок проведения работ и предоставления информации
в области гидрометеорологии
49. На дату вступления в силу настоящих Правил наблюдения за гидрометеорологическими условиями Марьевского водохранилища, нижнего бьефа гидроузла, зон формирования притока воды в Марьевское водохранилище федеральным государственным бюджетным учреждением "Приволжское управление по гидрометеорологии и мониторингу окружающей среды" (далее - ФГБУ "Приволжское УГМС") не проводятся в связи с отсутствием действующих пунктов государственной наблюдательной сети.
50. Балаковским филиалом федерального государственного бюджетного учреждения "Управление мелиорации земель и сельскохозяйственного водоснабжения по Саратовской области" (далее - Балаковский филиал ФГБУ "Управление "Саратовмелиоводхоз") ведутся постоянные наблюдения за уровнями воды в верхнем и нижнем бьефах гидроузла Марьевского водохранилища, притоком воды в данное водохранилище и сбросными расходами воды в нижний бьеф гидроузла.
Балаковский филиал ФГБУ "Управление "Саратовмелиоводхоз" ежедневно предоставляет в Нижне-Волжское бассейновое водное управление Федерального агентства водных ресурсов (далее - Нижне-Волжское БВУ) следующие данные о режиме работы Марьевского водохранилища:
уровень воды в верхнем бьефе на 8:00 по местному времени;
среднесуточный уровень воды в нижнем бьефе за предыдущие сутки;
средний сбросной расход воды через гидроузел за предыдущие сутки.
X. Порядок оповещения органов исполнительной власти,
водопользователей, жителей об изменениях водного режима
водохранилища, в том числе о режиме функционирования
водохранилища при возникновении аварий и иных
чрезвычайных ситуаций
51. Непосредственное регулирование режима работы гидроузла Марьевского водохранилища в порядке, установленном настоящими Правилами, осуществляет эксплуатирующая организация - Балаковский филиал ФГБУ "Управление "Саратовмелиоводхоз" (далее - эксплуатирующая организация).
52. В соответствии с подпунктом 5.8 пункта 5 Положения о Федеральном агентстве водных ресурсов, утвержденного постановлением Правительства Российской Федерации от 16.06.2004 N 282, Федеральное агентство водных ресурсов устанавливает режимы пропуска паводков, специальных попусков, наполнения и сработки (выпуска воды) водохранилищ.
Указания по ведению режима работы Марьевского водохранилища составляются Нижне-Волжским БВУ и доводятся до эксплуатирующей организации посредством электронной почты и (или) факсимильной связи не менее чем за 2 дня до дня начала их реализации.
53. Рекомендуемый образец указаний по ведению режима работы Марьевского водохранилища приведен в приложении N 12 к настоящим Правилам.
54. Согласно статье 9 Федерального закона от 21.07.1997 N 117-ФЗ "О безопасности гидротехнических сооружений" собственник гидротехнического сооружения и (или) эксплуатирующая организация обязаны своевременно осуществлять разработку и реализацию мер по обеспечению технически исправного состояния гидротехнического сооружения и его безопасности, а также по предотвращению аварии гидротехнического сооружения.
Перевод гидроузла Марьевского водохранилища на режим работы, не предусмотренный настоящими Правилами, осуществляется лицом, являющимся в эксплуатирующей организации ответственным за безопасную эксплуатацию гидротехнических сооружений, при угрозе или возникновении аварии гидротехнического сооружения, которая может привести к возникновению чрезвычайной ситуации.
В указанных обстоятельствах перевод гидроузла Марьевского водохранилища на режим работы, не предусмотренный настоящими Правилами, производится с уведомлением об этом Нижне-Волжского БВУ, ФГБУ "Приволжское УГМС", Правительства Саратовской области, администрации Перелюбского муниципального района Саратовской области, Главного управления Министерства Российской Федерации по делам гражданской обороны, чрезвычайным ситуациям и ликвидации последствий стихийных бедствий по Саратовской области, Средне-Поволжского управления Федеральной службы по экологическому, технологическому и атомному надзору, Межрегионального управления Федеральной службы по надзору в сфере природопользования по Саратовской и Пензенской областям, Волго-Камского территориального управления Федерального агентства по рыболовству, ФГБУ "Управление "Саратовмелиоводхоз" в порядке и сроки, установленные планом действий по предупреждению и ликвидации чрезвычайных ситуаций, который утверждается руководителем эксплуатирующей организации <2> (далее - план действий).
--------------------------------
<2> Пункт 23 Положения о единой государственной системе предупреждения и ликвидации чрезвычайных ситуаций, утвержденного постановлением Правительства Российской Федерации от 30.12.2003 N 794.
55. Доступ населения к оперативной информации о фактических, а также об установленных на ближайший период режимах функционирования гидроузла и образованного им Марьевского водохранилища обеспечивается путем размещения данных сведений на официальном сайте Нижне-Волжского БВУ в информационно-телекоммуникационной сети "Интернет".
56. Оповещение о чрезвычайных и аварийных отступлениях от нормального режима работы гидроузла Марьевского водохранилища осуществляется в соответствии с планом действий.
Локальная система оповещения о чрезвычайных и аварийных ситуациях на гидротехнических сооружениях гидроузла Марьевского водохранилища, относящихся на дату вступления в силу настоящих Правил к гидротехническим сооружениям средней опасности, не предусмотрена.
Приложение N 1
к Правилам использования водных ресурсов
Марьевского водохранилища, утвержденным
приказом Росводресурсов
от 27.06.2025 N 164
КАРТА-СХЕМА
РАСПОЛОЖЕНИЯ ГИДРОУЗЛА И МАРЬЕВСКОГО ВОДОХРАНИЛИЩА
С УКАЗАНИЕМ ГРАНИЦ ГИДРОГРАФИЧЕСКИХ ЕДИНИЦ
И ВОДОХОЗЯЙСТВЕННЫХ УЧАСТКОВ

Приложение N 2
к Правилам использования водных ресурсов
Марьевского водохранилища, утвержденным
приказом Росводресурсов
от 27.06.2025 N 164
РАСЧЕТНАЯ КРИВАЯ
ОБЕСПЕЧЕННОСТИ ОБЪЕМОВ ГОДОВОГО СТОКА (ОБЩЕГО
ПРИТОКА В ВОДОХРАНИЛИЩЕ) В СТВОРЕ ГИДРОУЗЛА
МАРЬЕВСКОГО ВОДОХРАНИЛИЩА

|
Обозначения:
|
+
|
эмпирическое распределение
|
|
|
-
|
распределение Крицкого-Менкеля
|
Приложение N 3
к Правилам использования водных ресурсов
Марьевского водохранилища, утвержденным
приказом Росводресурсов
от 27.06.2025 N 164
ХАРАКТЕРИСТИКА
ПРОПУСКНОЙ СПОСОБНОСТИ ПАВОДКОВОГО ВОДОСБРОСНОГО КАНАЛА
В ЗАВИСИМОСТИ ОТ УРОВНЕЙ ВОДЫ В ВЕРХНЕМ БЬЕФЕ ГИДРОУЗЛА
МАРЬЕВСКОГО ВОДОХРАНИЛИЩА
|
Уровни, м
|
Напор, м
|
Расход, м3/с
|
|||||||||
|
0,00
|
0,01
|
0,02
|
0,03
|
0,04
|
0,05
|
0,06
|
0,07
|
0,08
|
0,09
|
||
|
81,42
|
0
|
0,00
|
0,30
|
0,60
|
0,90
|
1,20
|
1,50
|
1,80
|
2,10
|
2,40
|
2,70
|
|
81,52
|
0,1
|
3,36
|
3,69
|
4,02
|
4,35
|
4,66
|
4,98
|
5,29
|
5,59
|
5,90
|
6,20
|
|
81,62
|
0,2
|
6,49
|
6,79
|
7,08
|
7,37
|
7,66
|
7,95
|
8,24
|
8,52
|
8,81
|
9,10
|
|
81,72
|
0,3
|
9,39
|
9,68
|
9,97
|
10,3
|
10,6
|
10,9
|
11,2
|
11,5
|
11,8
|
12,1
|
|
81,82
|
0,4
|
12,4
|
12,7
|
13,0
|
13,4
|
13,7
|
14,0
|
14,4
|
14,7
|
15,1
|
15,5
|
|
81,92
|
0,5
|
15,8
|
16,2
|
16,6
|
17,0
|
17,4
|
17,8
|
18,2
|
18,7
|
19,1
|
19,6
|
|
82,02
|
0,6
|
20,1
|
20,5
|
21,0
|
21,5
|
22,0
|
22,6
|
23,1
|
23,7
|
24,2
|
24,8
|
|
82,12
|
0,7
|
25,4
|
26,0
|
26,6
|
27,3
|
27,9
|
28,6
|
29,3
|
30,0
|
30,7
|
31,4
|
|
82,22
|
0,8
|
32,2
|
32,9
|
33,7
|
34,5
|
35,4
|
36,2
|
37,1
|
38,0
|
38,9
|
39,8
|
|
82,32
|
0,9
|
41,0
|
-
|
-
|
-
|
-
|
-
|
-
|
-
|
-
|
-
|
Приложение N 4
к Правилам использования водных ресурсов
Марьевского водохранилища, утвержденным
приказом Росводресурсов
от 27.06.2025 N 164
ПРОПУСКНАЯ СПОСОБНОСТЬ ДОННЫХ ВОДОВЫПУСКОВ

Приложение N 5
к Правилам использования водных ресурсов
Марьевского водохранилища, утвержденным
приказом Росводресурсов
от 27.06.2025 N 164
СТАТИЧЕСКАЯ КРИВАЯ
ЗАВИСИМОСТИ ОБЪЕМОВ ВОДЫ В МАРЬЕВСКОМ ВОДОХРАНИЛИЩЕ
ОТ УРОВНЕЙ ВОДЫ

Координаты статической кривой зависимости объемов воды
в Марьевском о водохранилище от уровней воды, млн м3
|
Отметки уровней воды, м
|
0
|
0,01
|
0,02
|
0,03
|
0,04
|
0,05
|
0,06
|
0,07
|
0,08
|
0,09
|
|
74,90
|
1,26
|
1,27
|
1,27
|
1,28
|
1,29
|
1,30
|
1,31
|
1,32
|
1,33
|
1,34
|
|
75,00
|
1,35
|
1,36
|
1,37
|
1,38
|
1,39
|
1,40
|
1,41
|
1,42
|
1,43
|
1,44
|
|
75,10
|
1,45
|
1,46
|
1,47
|
1,48
|
1,49
|
1,50
|
1,52
|
1,53
|
1,54
|
1,55
|
|
75,20
|
1,56
|
1,57
|
1,58
|
1,59
|
1,60
|
1,61
|
1,62
|
1,64
|
1,65
|
1,66
|
|
75,30
|
1,67
|
1,68
|
1,69
|
1,70
|
1,72
|
1,73
|
1,74
|
1,75
|
1,76
|
1,77
|
|
75,40
|
1,79
|
1,80
|
1,81
|
1,82
|
1,83
|
1,85
|
1,86
|
1,87
|
1,88
|
1,90
|
|
75,50
|
1,91
|
1,92
|
1,93
|
1,95
|
1,96
|
1,97
|
1,98
|
2,00
|
2,01
|
2,02
|
|
75,60
|
2,03
|
2,05
|
2,06
|
2,07
|
2,09
|
2,10
|
2,11
|
2,13
|
2,14
|
2,15
|
|
75,70
|
2,17
|
2,18
|
2,19
|
2,21
|
2,22
|
2,24
|
2,25
|
2,26
|
2,28
|
2,29
|
|
75,80
|
2,31
|
2,32
|
2,33
|
2,35
|
2,36
|
2,38
|
2,39
|
2,40
|
2,42
|
2,43
|
|
75,90
|
2,45
|
2,46
|
2,48
|
2,49
|
2,51
|
2,52
|
2,54
|
2,55
|
2,57
|
2,58
|
|
76,00
|
2,55
|
2,56
|
2,58
|
2,59
|
2,61
|
2,62
|
2,64
|
2,66
|
2,67
|
2,69
|
|
76,10
|
2,70
|
2,72
|
2,74
|
2,75
|
2,77
|
2,78
|
2,80
|
2,82
|
2,83
|
2,85
|
|
76,20
|
2,87
|
2,88
|
2,90
|
2,92
|
2,93
|
2,95
|
2,97
|
2,98
|
3,00
|
3,02
|
|
76,30
|
3,03
|
3,05
|
3,07
|
3,09
|
3,10
|
3,12
|
3,14
|
3,15
|
3,17
|
3,19
|
|
76,40
|
3,21
|
3,23
|
3,24
|
3,26
|
3,28
|
3,30
|
3,31
|
3,33
|
3,35
|
3,37
|
|
76,50
|
3,39
|
3,41
|
3,42
|
3,44
|
3,46
|
3,48
|
3,50
|
3,52
|
3,54
|
3,55
|
|
76,60
|
3,57
|
3,59
|
3,61
|
3,63
|
3,65
|
3,67
|
3,69
|
3,71
|
3,73
|
3,74
|
|
76,70
|
3,76
|
3,78
|
3,80
|
3,82
|
3,84
|
3,86
|
3,88
|
3,90
|
3,92
|
3,94
|
|
76,80
|
3,96
|
3,98
|
4,00
|
4,02
|
4,04
|
4,06
|
4,08
|
4,10
|
4,12
|
4,14
|
|
76,90
|
4,16
|
4,18
|
4,21
|
4,23
|
4,25
|
4,27
|
4,29
|
4,31
|
4,33
|
4,35
|
|
77,00
|
4,37
|
4,39
|
4,41
|
4,44
|
4,46
|
4,48
|
4,50
|
4,52
|
4,54
|
4,57
|
|
77,10
|
4,59
|
4,61
|
4,63
|
4,65
|
4,67
|
4,70
|
4,72
|
4,74
|
4,76
|
4,78
|
|
77,20
|
4,81
|
4,83
|
4,85
|
4,87
|
4,90
|
4,92
|
4,94
|
4,96
|
4,99
|
5,01
|
|
77,30
|
5,03
|
5,06
|
5,08
|
5,10
|
5,12
|
5,15
|
5,17
|
5,19
|
5,22
|
5,24
|
|
77,40
|
5,26
|
5,29
|
5,31
|
5,33
|
5,36
|
5,38
|
5,41
|
5,43
|
5,45
|
5,48
|
|
77,50
|
5,50
|
5,53
|
5,55
|
5,57
|
5,60
|
5,62
|
5,65
|
5,67
|
5,70
|
5,72
|
|
77,60
|
5,74
|
5,77
|
5,79
|
5,82
|
5,84
|
5,87
|
5,89
|
5,92
|
5,94
|
5,97
|
|
77,70
|
5,99
|
6,02
|
6,04
|
6,07
|
6,09
|
6,12
|
6,15
|
6,17
|
6,20
|
6,22
|
|
77,80
|
6,25
|
6,27
|
6,30
|
6,33
|
6,35
|
6,38
|
6,40
|
6,43
|
6,46
|
6,48
|
|
77,90
|
6,51
|
6,53
|
6,56
|
6,59
|
6,61
|
6,64
|
6,67
|
6,69
|
6,72
|
6,75
|
|
78,00
|
6,77
|
6,80
|
6,82
|
6,84
|
6,87
|
6,89
|
6,91
|
6,94
|
6,96
|
6,99
|
|
78,10
|
7,01
|
7,04
|
7,06
|
7,09
|
7,11
|
7,14
|
7,16
|
7,19
|
7,21
|
7,24
|
|
78,20
|
7,26
|
7,29
|
7,32
|
7,34
|
7,37
|
7,39
|
7,42
|
7,45
|
7,48
|
7,50
|
|
78,30
|
7,53
|
7,56
|
7,59
|
7,61
|
7,64
|
7,67
|
7,70
|
7,73
|
7,75
|
7,78
|
|
78,40
|
7,81
|
7,84
|
7,87
|
7,90
|
7,93
|
7,96
|
7,99
|
8,02
|
8,05
|
8,08
|
|
78,50
|
8,11
|
8,14
|
8,17
|
8,20
|
8,23
|
8,26
|
8,30
|
8,33
|
8,36
|
8,39
|
|
78,60
|
8,42
|
8,46
|
8,49
|
8,52
|
8,55
|
8,59
|
8,62
|
8,65
|
8,68
|
8,72
|
|
78,70
|
8,75
|
8,79
|
8,82
|
8,85
|
8,89
|
8,92
|
8,96
|
8,99
|
9,02
|
9,06
|
|
78,80
|
9,09
|
9,13
|
9,17
|
9,20
|
9,24
|
9,27
|
9,31
|
9,34
|
9,38
|
9,42
|
|
78,90
|
9,45
|
9,49
|
9,53
|
9,56
|
9,60
|
9,64
|
9,68
|
9,71
|
9,75
|
9,79
|
|
79,00
|
9,83
|
9,86
|
9,90
|
9,93
|
9,96
|
10,00
|
10,03
|
10,07
|
10,10
|
10,14
|
|
79,10
|
10,17
|
10,21
|
10,24
|
10,28
|
10,31
|
10,35
|
10,38
|
10,42
|
10,45
|
10,49
|
|
79,20
|
10,52
|
10,56
|
10,59
|
10,63
|
10,66
|
10,70
|
10,74
|
10,77
|
10,81
|
10,84
|
|
79,30
|
10,88
|
10,92
|
10,95
|
10,99
|
11,03
|
11,06
|
11,10
|
11,14
|
11,17
|
11,21
|
|
79,40
|
11,25
|
11,28
|
11,32
|
11,36
|
11,40
|
11,43
|
11,47
|
11,51
|
11,55
|
11,58
|
|
79,50
|
11,62
|
11,66
|
11,70
|
11,74
|
11,77
|
11,81
|
11,85
|
11,89
|
11,93
|
11,96
|
|
79,60
|
12,00
|
12,04
|
12,08
|
12,12
|
12,16
|
12,20
|
12,24
|
12,28
|
12,31
|
12,35
|
|
79,70
|
12,39
|
12,43
|
12,47
|
12,51
|
12,55
|
12,59
|
12,63
|
12,67
|
12,71
|
12,75
|
|
79,80
|
12,79
|
12,83
|
12,87
|
12,91
|
12,95
|
12,99
|
13,03
|
13,07
|
13,11
|
13,15
|
|
79,90
|
13,20
|
13,24
|
13,28
|
13,32
|
13,36
|
13,40
|
13,44
|
13,48
|
13,53
|
13,57
|
|
80,00
|
13,61
|
13,65
|
13,69
|
13,73
|
13,78
|
13,82
|
13,86
|
13,90
|
13,94
|
13,99
|
|
80,10
|
14,03
|
14,07
|
14,11
|
14,16
|
14,20
|
14,24
|
14,29
|
14,33
|
14,37
|
14,41
|
|
80,20
|
14,46
|
14,50
|
14,54
|
14,59
|
14,63
|
14,67
|
14,72
|
14,76
|
14,81
|
14,85
|
|
80,30
|
14,89
|
14,94
|
14,98
|
15,03
|
15,07
|
15,11
|
15,16
|
15,20
|
15,25
|
15,29
|
|
80,40
|
15,34
|
15,38
|
15,43
|
15,47
|
15,52
|
15,56
|
15,61
|
15,65
|
15,70
|
15,74
|
|
80,50
|
15,79
|
15,83
|
15,88
|
15,93
|
15,97
|
16,02
|
16,06
|
16,11
|
16,16
|
16,20
|
|
80,60
|
16,25
|
16,29
|
16,34
|
16,39
|
16,43
|
16,48
|
16,53
|
16,57
|
16,62
|
16,67
|
|
80,70
|
16,72
|
16,76
|
16,81
|
16,86
|
16,90
|
16,95
|
17,00
|
17,05
|
17,09
|
17,14
|
|
80,80
|
17,19
|
17,24
|
17,29
|
17,33
|
17,38
|
17,43
|
17,48
|
17,53
|
17,58
|
17,62
|
|
80,90
|
17,67
|
17,72
|
17,77
|
17,82
|
17,87
|
17,92
|
17,97
|
18,02
|
18,06
|
18,11
|
|
81,00
|
18,16
|
18,22
|
18,27
|
18,32
|
18,38
|
18,43
|
18,48
|
18,53
|
18,59
|
18,64
|
|
81,10
|
18,69
|
18,75
|
18,80
|
18,85
|
18,91
|
18,96
|
19,01
|
19,07
|
19,12
|
19,17
|
|
81,20
|
19,23
|
19,28
|
19,33
|
19,38
|
19,44
|
19,49
|
19,54
|
19,60
|
19,65
|
19,70
|
|
81,30
|
19,76
|
19,81
|
19,87
|
19,92
|
19,97
|
20,03
|
20,08
|
20,13
|
20,19
|
20,24
|
|
81,40
|
20,29
|
20,35
|
20,40
|
20,45
|
20,51
|
20,56
|
20,62
|
20,67
|
20,72
|
20,78
|
|
81,50
|
20,83
|
20,88
|
20,94
|
20,99
|
21,05
|
21,10
|
21,15
|
21,21
|
21,26
|
21,31
|
|
81,60
|
21,37
|
21,42
|
21,48
|
21,53
|
21,58
|
21,64
|
21,69
|
21,75
|
21,80
|
21,85
|
|
81,70
|
21,91
|
21,96
|
22,02
|
22,07
|
22,13
|
22,18
|
22,23
|
22,29
|
22,34
|
22,40
|
|
81,80
|
22,45
|
22,50
|
22,56
|
22,61
|
22,67
|
22,72
|
22,78
|
22,83
|
22,89
|
22,94
|
|
81,90
|
22,99
|
23,05
|
23,10
|
23,16
|
23,21
|
23,27
|
23,32
|
23,38
|
23,43
|
23,48
|
|
82,00
|
23,54
|
23,55
|
23,56
|
23,58
|
23,59
|
23,60
|
23,62
|
23,64
|
23,65
|
23,67
|
|
82,10
|
23,69
|
23,72
|
23,74
|
23,76
|
23,79
|
23,81
|
23,84
|
23,86
|
23,89
|
23,92
|
|
82,20
|
23,95
|
23,98
|
24,02
|
24,05
|
24,09
|
24,12
|
24,16
|
24,20
|
24,23
|
24,27
|
|
82,30
|
24,32
|
24,36
|
24,40
|
-
|
-
|
-
|
-
|
-
|
-
|
-
|
Приложение N 6
к Правилам использования водных ресурсов
Марьевского водохранилища, утвержденным
приказом Росводресурсов
от 27.06.2025 N 164
ДИСПЕТЧЕРСКИЙ ГРАФИК РАБОТЫ МАРЬЕВСКОГО ВОДОХРАНИЛИЩА

Координаты линий диспетчерского графика работы Марьевского
водохранилища, разграничивающих его зоны и подзоны
|
Дата на начало интервала
|
Зона I
|
Линия 1
|
Подзона IIб
|
Линия 2
|
Подзона IIа
|
Линия 3
|
Зона III
|
Линия 4
|
Зона IV
|
Линия 5
|
Зона V
|
Линия 6
|
|
01.03
|
зона неиспользуемого объема водохранилища, отдача 0,015 - 0,02 м3/с
|
74,90
|
зона перебоев, отдача 0,049 - 0,22 м3/с
|
-
|
зона перебоев, отдача 0,063 - 0,28 м3/с
|
-
|
зона гарантированного режима, отдача 0,032 - 1,3 м3/с
|
81,42
|
зона противопаводковой призмы, отдача 0,57 - 1,33 м3/с
|
80,62
|
зона максимальных сбросов, отдача 1,34 - 42,37 м3/с
|
82,32
|
|
01.04
|
74,90
|
-
|
-
|
81,42
|
80,80
|
82,32
|
||||||
|
01.05
|
74,90
|
77,46
|
78,12
|
81,42
|
81,42
|
82,32
|
||||||
|
01.06
|
74,90
|
77,42
|
78,06
|
81,42
|
-
|
82,32
|
||||||
|
01.07
|
74,90
|
77,09
|
77,59
|
81,42
|
-
|
82,32
|
||||||
|
01.08
|
74,90
|
76,54
|
77,05
|
81,42
|
-
|
82,32
|
||||||
|
01.09
|
74,90
|
76,04
|
76,43
|
81,42
|
-
|
82,32
|
||||||
|
01.10
|
74,90
|
75,66
|
76,00
|
81,42
|
-
|
82,32
|
||||||
|
01.11
|
74,90
|
-
|
-
|
81,42
|
-
|
82,32
|
||||||
|
01.12
|
74,90
|
-
|
-
|
81,42
|
-
|
82,32
|
||||||
|
01.01
|
74,90
|
-
|
81,42
|
-
|
82,32
|
|||||||
|
01.02
|
74,90
|
-
|
-
|
81,42
|
81,42
|
82,32
|
Приложение N 7
к Правилам использования водных ресурсов
Марьевского водохранилища, утвержденным
приказом Росводресурсов
от 27.06.2025 N 164
КРИВЫЕ
ПРОДОЛЖИТЕЛЬНОСТИ ОСНОВНЫХ ЭЛЕМЕНТОВ РЕЖИМОВ РАБОТЫ
МАРЬЕВСКОГО ВОДОХРАНИЛИЩА
Кривые обеспеченности уровней воды в верхнем бьефе гидроузла
Марьевского водохранилища
Март - май

Июнь - август

Сентябрь - ноябрь

Декабрь - февраль

Кривые обеспеченности средних за интервал суммарных расходов
воды в нижнем бьефе гидроузла Марьевского водохранилища
Март - май

Июнь - август

Сентябрь - ноябрь

Декабрь - февраль

Кривые обеспеченности средних за интервал расходов воды
в нижнем бьефе гидроузла Марьевского водохранилища
через паводковый водосброс
Март - май

Июнь - август

Сентябрь - ноябрь

Декабрь - февраль

Кривые обеспеченности средних за интервал расходов воды
в нижнем бьефе гидроузла Марьевского водохранилища
через донные водовыпуски
Март - май

Июнь - август

Сентябрь - ноябрь

Декабрь - февраль

Кривые обеспеченности средних за интервал расходов воды
в нижнем бьефе гидроузла Марьевского водохранилища
через сифонный водовыпуск
Март - май

Июнь - август

Сентябрь - ноябрь

Декабрь - февраль

Кривые обеспеченности средних за интервал расходов подачи
воды на орошение сельскохозяйственных культур
Май - сентябрь

Кривые обеспеченности средних за интервал расходов подачи
воды на водоснабжение населенных пунктов
Март - май

Июнь - август

Сентябрь - ноябрь

Декабрь - февраль

Приложение N 8
к Правилам использования водных ресурсов
Марьевского водохранилища, утвержденным
приказом Росводресурсов
от 27.06.2025 N 164
ПОЛНЫЕ БАЛАНСОВЫЕ ТАБЛИЦЫ
РАСЧЕТНЫХ РЕЖИМОВ РАБОТЫ МАРЬЕВСКОГО ВОДОХРАНИЛИЩА
ЗА КОНКРЕТНЫЕ ВОДОХОЗЯЙСТВЕННЫЕ ГОДЫ С ОБЪЕМАМИ СТОКА,
БЛИЗКИМИ ПО РАСЧЕТНЫМ ОБЕСПЕЧЕННОСТЯМ
К ХАРАКТЕРНЫМ ЗНАЧЕНИЯМ
|
Расчетный интервал
|
Приток к водохранилищу, млн м3
|
Отметка уровня воды в верхнем бьефе на начало и конец интервала, м
|
Объем воды водохранилища на начало и конец интервала, млн м3
|
Наполнение (+), сработка (-) водохранилища, млн м3
|
Потери стока, млн м3
|
Забор воды, млн м3
|
Санитарный попуск, млн м3
|
Поступление воды в нижний бьеф гидроузла
|
||||||
|
год
|
месяц
|
|||||||||||||
|
на дополнительное испарение (за вычетом осадков на зеркало водохранилища)
|
на фильтрацию
|
попуски на орошение
|
водоснабжение населенных пунктов
|
|||||||||||
|
начало
|
конец
|
начало
|
конец
|
|||||||||||
|
объем, млн м3
|
расход, м3/с
|
|||||||||||||
|
Расчетный режим работы водохранилища в многоводный 1990/91 водохозяйственный год, обеспеченность P = 10%
|
||||||||||||||
|
1990/91
|
март
|
2,62
|
80,61
|
80,79
|
16,24
|
17,10
|
0,86
|
0,00
|
0,04
|
0,00
|
0,02
|
0,20
|
1,72
|
0,64
|
|
апрель
|
1,95
|
80,79
|
81,01
|
17,10
|
18,20
|
1,10
|
0,08
|
0,04
|
0,00
|
0,02
|
0,70
|
0,73
|
0,28
|
|
|
май
|
0,70
|
81,01
|
80,95
|
18,20
|
17,91
|
-0,29
|
0,43
|
0,07
|
0,25
|
0,04
|
0,20
|
0,49
|
0,18
|
|
|
июнь
|
0,54
|
80,95
|
80,78
|
17,91
|
17,05
|
-0,86
|
0,55
|
0,06
|
0,67
|
0,07
|
0,05
|
0,79
|
0,31
|
|
|
июль
|
0,54
|
80,78
|
80,62
|
17,05
|
16,33
|
-0,72
|
0,66
|
0,06
|
0,44
|
0,05
|
0,05
|
0,54
|
0,20
|
|
|
август
|
0,67
|
80,62
|
80,54
|
16,33
|
15,96
|
-0,37
|
0,64
|
0,06
|
0,25
|
0,04
|
0,05
|
0,34
|
0,13
|
|
|
сентябрь
|
0,54
|
80,54
|
80,54
|
15,96
|
15,93
|
-0,03
|
0,36
|
0,05
|
0,07
|
0,04
|
0,05
|
0,16
|
0,06
|
|
|
октябрь
|
0,52
|
80,54
|
80,62
|
15,93
|
16,29
|
0,36
|
0,04
|
0,05
|
0,00
|
0,02
|
0,05
|
0,07
|
0,03
|
|
|
ноябрь
|
0,80
|
80,62
|
80,78
|
16,29
|
17,09
|
0,80
|
-0,12
|
0,05
|
0,00
|
0,02
|
0,05
|
0,07
|
0,03
|
|
|
декабрь
|
1,18
|
80,78
|
81,00
|
17,09
|
18,15
|
1,06
|
0,00
|
0,05
|
0,00
|
0,02
|
0,05
|
0,07
|
0,03
|
|
|
январь
|
0,56
|
81,00
|
81,08
|
18,15
|
18,59
|
0,44
|
0,00
|
0,05
|
0,00
|
0,02
|
0,05
|
0,07
|
0,03
|
|
|
февраль
|
0,48
|
81,08
|
80,62
|
18,59
|
16,30
|
-2,29
|
0,00
|
0,05
|
0,00
|
0,02
|
0,05
|
2,72
|
1,12
|
|
|
Итого
|
-
|
11,10
|
-
|
-
|
-
|
-
|
0,06
|
2,64
|
0,63
|
1,68
|
0,38
|
1,55
|
7,77
|
-
|
|
Расчетный режим работы водохранилища в средний по водности 1997/98 водохозяйственный год, обеспеченность P = 50%
|
||||||||||||||
|
1997/98
|
март
|
0,56
|
80,23
|
80,30
|
14,57
|
14,87
|
0,30
|
0,00
|
0,04
|
0,00
|
0,02
|
0,20
|
0,22
|
0,08
|
|
апрель
|
1,84
|
80,30
|
80,53
|
14,87
|
15,88
|
1,01
|
0,07
|
0,04
|
0,00
|
0,02
|
0,70
|
0,72
|
0,28
|
|
|
май
|
1,15
|
80,53
|
80,57
|
15,88
|
16,10
|
0,22
|
0,37
|
0,07
|
0,25
|
0,04
|
0,20
|
0,49
|
0,18
|
|
|
июнь
|
0,85
|
80,57
|
80,47
|
16,10
|
15,63
|
-0,47
|
0,47
|
0,06
|
0,67
|
0,07
|
0,05
|
0,79
|
0,31
|
|
|
июль
|
0,59
|
80,47
|
80,34
|
15,63
|
15,06
|
-0,57
|
0,56
|
0,06
|
0,44
|
0,05
|
0,05
|
0,54
|
0,20
|
|
|
август
|
0,00
|
80,34
|
80,12
|
15,06
|
14,12
|
-0,94
|
0,54
|
0,06
|
0,25
|
0,04
|
0,05
|
0,34
|
0,13
|
|
|
сентябрь
|
0,49
|
80,12
|
80,12
|
14,12
|
14,09
|
-0,03
|
0,31
|
0,05
|
0,07
|
0,04
|
0,05
|
0,16
|
0,06
|
|
|
октябрь
|
0,49
|
80,12
|
80,20
|
14,09
|
14,43
|
0,34
|
0,03
|
0,05
|
0,00
|
0,02
|
0,05
|
0,07
|
0,03
|
|
|
ноябрь
|
0,51
|
80,20
|
80,31
|
14,43
|
14,92
|
0,49
|
-0,10
|
0,05
|
0,00
|
0,02
|
0,05
|
0,07
|
0,03
|
|
|
декабрь
|
0,54
|
80,31
|
80,41
|
14,92
|
15,34
|
0,42
|
0,00
|
0,05
|
0,00
|
0,02
|
0,05
|
0,07
|
0,03
|
|
|
январь
|
0,56
|
80,41
|
80,50
|
15,34
|
15,78
|
0,44
|
0,00
|
0,05
|
0,00
|
0,02
|
0,05
|
0,07
|
0,03
|
|
|
февраль
|
0,48
|
80,50
|
80,58
|
15,78
|
16,14
|
0,36
|
0,00
|
0,05
|
0,00
|
0,02
|
0,05
|
0,07
|
0,03
|
|
|
Итого
|
-
|
8,06
|
-
|
-
|
-
|
-
|
1,57
|
2,25
|
0,63
|
1,68
|
0,38
|
1,55
|
3,61
|
-
|
|
Расчетный режим работы водохранилища в среднемаловодный 2009/10 водохозяйственный год, обеспеченность P = 75%
|
||||||||||||||
|
2009/10
|
март
|
0,54
|
80,12
|
80,21
|
14,09
|
14,47
|
0,38
|
0,00
|
0,04
|
0,00
|
0,02
|
0,10
|
0,12
|
0,04
|
|
апрель
|
2,38
|
80,21
|
80,60
|
14,47
|
16,21
|
1,74
|
0,08
|
0,04
|
0,00
|
0,02
|
0,50
|
0,52
|
0,20
|
|
|
май
|
0,54
|
80,60
|
80,52
|
16,21
|
15,86
|
-0,35
|
0,43
|
0,07
|
0,25
|
0,04
|
0,10
|
0,39
|
0,15
|
|
|
июнь
|
0,00
|
80,52
|
80,20
|
15,86
|
14,46
|
-1,40
|
0,55
|
0,06
|
0,67
|
0,07
|
0,05
|
0,79
|
0,31
|
|
|
июль
|
0,00
|
80,20
|
79,92
|
14,46
|
13,30
|
-1,16
|
0,56
|
0,06
|
0,44
|
0,05
|
0,05
|
0,54
|
0,20
|
|
|
август
|
0,00
|
79,92
|
79,69
|
13,30
|
12,36
|
-0,94
|
0,54
|
0,06
|
0,25
|
0,04
|
0,05
|
0,34
|
0,13
|
|
|
сентябрь
|
0,00
|
79,69
|
79,55
|
12,36
|
11,84
|
-0,52
|
0,31
|
0,05
|
0,07
|
0,04
|
0,05
|
0,16
|
0,06
|
|
|
октябрь
|
0,00
|
79,55
|
79,51
|
11,84
|
11,69
|
-0,15
|
0,03
|
0,05
|
0,00
|
0,02
|
0,05
|
0,07
|
0,03
|
|
|
ноябрь
|
0,00
|
79,51
|
79,51
|
11,69
|
11,67
|
-0,02
|
-0,10
|
0,05
|
0,00
|
0,02
|
0,05
|
0,07
|
0,03
|
|
|
декабрь
|
0,54
|
79,51
|
79,62
|
11,67
|
12,09
|
0,42
|
0,00
|
0,05
|
0,00
|
0,02
|
0,05
|
0,07
|
0,03
|
|
|
январь
|
0,54
|
79,62
|
79,73
|
12,09
|
12,51
|
0,42
|
0,00
|
0,05
|
0,00
|
0,02
|
0,05
|
0,07
|
0,03
|
|
|
февраль
|
0,48
|
79,73
|
79,82
|
12,51
|
12,87
|
0,36
|
0,00
|
0,05
|
0,00
|
0,02
|
0,05
|
0,07
|
0,03
|
|
|
Итого
|
-
|
5,02
|
-
|
-
|
-
|
-
|
-1,22
|
2,40
|
0,63
|
1,68
|
0,38
|
1,15
|
3,21
|
-
|
|
Расчетный режим работы водохранилища в маловодный 1984/85 водохозяйственный год, обеспеченность P = 90%
|
||||||||||||||
|
1984/85
|
март
|
0,00
|
80,54
|
80,50
|
15,92
|
15,76
|
-0,16
|
0,00
|
0,04
|
0,00
|
0,02
|
0,10
|
0,12
|
0,04
|
|
апрель
|
3,91
|
80,50
|
81,17
|
15,76
|
19,04
|
3,28
|
0,07
|
0,04
|
0,00
|
0,02
|
0,50
|
0,52
|
0,20
|
|
|
май
|
0,00
|
81,17
|
81,01
|
19,04
|
18,21
|
-0,83
|
0,37
|
0,07
|
0,25
|
0,04
|
0,10
|
0,39
|
0,15
|
|
|
июнь
|
0,00
|
81,01
|
80,74
|
18,21
|
16,89
|
-1,32
|
0,47
|
0,06
|
0,67
|
0,07
|
0,05
|
0,79
|
0,30
|
|
|
июль
|
0,00
|
80,74
|
80,49
|
16,89
|
15,73
|
-1,16
|
0,56
|
0,06
|
0,44
|
0,05
|
0,05
|
0,54
|
0,20
|
|
|
август
|
0,00
|
80,49
|
80,30
|
15,73
|
14,88
|
-0,85
|
0,45
|
0,06
|
0,25
|
0,04
|
0,05
|
0,34
|
0,13
|
|
|
сентябрь
|
0,00
|
80,30
|
80,19
|
14,88
|
14,42
|
-0,46
|
0,25
|
0,05
|
0,07
|
0,04
|
0,05
|
0,16
|
0,06
|
|
|
октябрь
|
0,00
|
80,19
|
80,16
|
14,42
|
14,27
|
-0,15
|
0,03
|
0,05
|
0,00
|
0,02
|
0,05
|
0,07
|
0,03
|
|
|
ноябрь
|
0,00
|
80,16
|
80,15
|
14,27
|
14,23
|
-0,04
|
-0,08
|
0,05
|
0,00
|
0,02
|
0,05
|
0,07
|
0,03
|
|
|
декабрь
|
0,00
|
80,15
|
80,12
|
14,23
|
14,11
|
-0,12
|
0,00
|
0,05
|
0,00
|
0,02
|
0,05
|
0,07
|
0,03
|
|
|
январь
|
0,00
|
80,12
|
80,09
|
14,11
|
13,99
|
-0,12
|
0,00
|
0,05
|
0,00
|
0,02
|
0,05
|
0,07
|
0,03
|
|
|
февраль
|
0,00
|
80,09
|
80,06
|
13,99
|
13,87
|
-0,12
|
0,00
|
0,05
|
0,00
|
0,02
|
0,05
|
0,07
|
0,03
|
|
|
Итого
|
-
|
3,91
|
-
|
-
|
-
|
-
|
-2,05
|
2,12
|
0,63
|
1,68
|
0,38
|
1,15
|
3,21
|
-
|
Приложение N 9
к Правилам использования водных ресурсов
Марьевского водохранилища, утвержденным
приказом Росводресурсов
от 27.06.2025 N 164
ПОЛНЫЕ БАЛАНСОВЫЕ ТАБЛИЦЫ
РАСЧЕТНЫХ РЕЖИМОВ РАБОТЫ МАРЬЕВСКОГО ВОДОХРАНИЛИЩА ЗА САМЫЙ
МАЛОВОДНЫЙ ПЯТИЛЕТНИЙ ПЕРИОД МНОГОЛЕТНЕГО РАСЧЕТНОГО РЯДА
(С 2006/07 ПО 2010/11 ВОДОХОЗЯЙСТВЕННЫЕ ГОДЫ)
|
Расчетный интервал
|
Приток к водохранилищу, млн м3
|
Отметка уровня воды в верхнем бьефе на начало и конец интервала, м
|
Объем воды водохранилища на начало и конец интервала, млн м3
|
Наполнение (+), сработка (-) водохранилища, млн м3
|
Потери стока, млн м3
|
Забор воды, млн м3
|
Санитарный попуск, млн м3
|
Поступление воды в нижний бьеф гидроузла
|
||||||
|
год
|
месяц
|
на дополнительное испарение (за вычетом осадков на зеркало водохранилища)
|
на фильтрацию
|
попуски на орошение
|
водоснабжение населенных пунктов
|
|||||||||
|
начало
|
конец
|
начало
|
конец
|
млн м3
|
м3/с
|
|||||||||
|
2006/07
|
март
|
0,38
|
80,62
|
80,67
|
16,30
|
16,52
|
0,22
|
0,00
|
0,04
|
0,00
|
0,02
|
0,10
|
0,12
|
0,04
|
|
апрель
|
0,85
|
80,67
|
80,71
|
16,52
|
16,73
|
0,21
|
0,08
|
0,04
|
0,00
|
0,02
|
0,50
|
0,52
|
0,20
|
|
|
май
|
0,35
|
80,71
|
80,59
|
16,73
|
16,19
|
-0,54
|
0,43
|
0,07
|
0,25
|
0,04
|
0,10
|
0,39
|
0,15
|
|
|
июнь
|
0,36
|
80,59
|
80,37
|
16,19
|
15,20
|
-0,99
|
0,50
|
0,06
|
0,67
|
0,07
|
0,05
|
0,79
|
0,31
|
|
|
июль
|
0,38
|
80,37
|
80,19
|
15,20
|
14,42
|
-0,78
|
0,56
|
0,06
|
0,44
|
0,05
|
0,05
|
0,54
|
0,20
|
|
|
август
|
0,35
|
80,19
|
80,05
|
14,42
|
13,83
|
-0,59
|
0,54
|
0,06
|
0,25
|
0,04
|
0,05
|
0,34
|
0,13
|
|
|
сентябрь
|
0,36
|
80,05
|
80,02
|
13,83
|
13,67
|
-0,16
|
0,31
|
0,05
|
0,07
|
0,04
|
0,05
|
0,16
|
0,06
|
|
|
октябрь
|
0,36
|
80,02
|
80,07
|
13,67
|
13,88
|
0,21
|
0,03
|
0,05
|
0,00
|
0,02
|
0,05
|
0,07
|
0,03
|
|
|
ноябрь
|
0,38
|
80,07
|
80,15
|
13,88
|
14,24
|
0,36
|
-0,10
|
0,05
|
0,00
|
0,02
|
0,05
|
0,07
|
0,03
|
|
|
декабрь
|
0,38
|
80,15
|
80,21
|
14,24
|
14,50
|
0,26
|
0,00
|
0,05
|
0,00
|
0,02
|
0,05
|
0,07
|
0,03
|
|
|
январь
|
0,62
|
80,21
|
80,33
|
14,50
|
15,00
|
0,50
|
0,00
|
0,05
|
0,00
|
0,02
|
0,05
|
0,07
|
0,03
|
|
|
февраль
|
0,53
|
80,33
|
80,42
|
15,00
|
15,41
|
0,41
|
0,00
|
0,05
|
0,00
|
0,02
|
0,05
|
0,07
|
0,03
|
|
|
Итого
|
-
|
5,30
|
-
|
-
|
-
|
-
|
-0,89
|
2,35
|
0,63
|
1,68
|
0,38
|
1,15
|
3,21
|
-
|
|
2007/08
|
март
|
1,55
|
80,42
|
80,70
|
15,41
|
16,70
|
1,29
|
0,00
|
0,04
|
0,00
|
0,02
|
0,20
|
0,22
|
0,08
|
|
апрель
|
0,91
|
80,70
|
80,72
|
16,70
|
16,77
|
0,07
|
0,08
|
0,04
|
0,00
|
0,02
|
0,70
|
0,72
|
0,28
|
|
|
май
|
0,54
|
80,72
|
80,62
|
16,77
|
16,32
|
-0,45
|
0,43
|
0,07
|
0,25
|
0,04
|
0,20
|
0,49
|
0,18
|
|
|
июнь
|
0,52
|
80,62
|
80,43
|
16,32
|
15,44
|
-0,88
|
0,55
|
0,06
|
0,67
|
0,07
|
0,05
|
0,79
|
0,31
|
|
|
июль
|
0,00
|
80,43
|
80,16
|
15,44
|
14,28
|
-1,16
|
0,56
|
0,06
|
0,44
|
0,05
|
0,05
|
0,54
|
0,20
|
|
|
август
|
0,00
|
80,16
|
79,93
|
14,28
|
13,34
|
-0,94
|
0,54
|
0,06
|
0,25
|
0,04
|
0,05
|
0,34
|
0,13
|
|
|
сентябрь
|
0,00
|
79,93
|
79,80
|
13,34
|
12,82
|
-0,52
|
0,31
|
0,05
|
0,07
|
0,04
|
0,05
|
0,16
|
0,06
|
|
|
октябрь
|
0,49
|
79,80
|
79,89
|
12,82
|
13,16
|
0,34
|
0,03
|
0,05
|
0,00
|
0,02
|
0,05
|
0,07
|
0,03
|
|
|
ноябрь
|
0,54
|
79,89
|
80,02
|
13,16
|
13,68
|
0,52
|
-0,10
|
0,05
|
0,00
|
0,02
|
0,05
|
0,07
|
0,03
|
|
|
декабрь
|
0,51
|
80,02
|
80,11
|
13,68
|
14,07
|
0,39
|
0,00
|
0,05
|
0,00
|
0,02
|
0,05
|
0,07
|
0,03
|
|
|
январь
|
0,51
|
80,11
|
80,20
|
14,07
|
14,46
|
0,39
|
0,00
|
0,05
|
0,00
|
0,02
|
0,05
|
0,07
|
0,03
|
|
|
февраль
|
0,48
|
80,20
|
80,29
|
14,46
|
14,82
|
0,36
|
0,00
|
0,05
|
0,00
|
0,02
|
0,05
|
0,07
|
0,03
|
|
|
Итого
|
-
|
6,05
|
-
|
-
|
-
|
-
|
-0,59
|
2,40
|
0,63
|
1,68
|
0,38
|
1,55
|
3,61
|
-
|
|
2008/09
|
март
|
0,72
|
80,29
|
80,42
|
14,82
|
15,38
|
0,56
|
0,00
|
0,04
|
0,00
|
0,02
|
0,10
|
0,12
|
0,04
|
|
апрель
|
0,41
|
80,42
|
80,37
|
15,38
|
15,16
|
-0,22
|
0,07
|
0,04
|
0,00
|
0,02
|
0,50
|
0,52
|
0,20
|
|
|
май
|
0,59
|
80,37
|
80,31
|
15,16
|
14,92
|
-0,24
|
0,37
|
0,07
|
0,25
|
0,04
|
0,10
|
0,39
|
0,15
|
|
|
июнь
|
0,54
|
80,31
|
80,13
|
14,92
|
14,14
|
-0,78
|
0,47
|
0,06
|
0,67
|
0,07
|
0,05
|
0,79
|
0,31
|
|
|
июль
|
0,51
|
80,13
|
79,97
|
14,14
|
13,49
|
-0,65
|
0,56
|
0,06
|
0,44
|
0,05
|
0,05
|
0,54
|
0,20
|
|
|
август
|
0,00
|
79,97
|
79,74
|
13,49
|
12,55
|
-0,94
|
0,54
|
0,06
|
0,25
|
0,04
|
0,05
|
0,34
|
0,13
|
|
|
сентябрь
|
0,00
|
79,74
|
79,60
|
12,55
|
12,03
|
-0,52
|
0,31
|
0,05
|
0,07
|
0,04
|
0,05
|
0,16
|
0,06
|
|
|
октябрь
|
0,49
|
79,60
|
79,69
|
12,03
|
12,37
|
0,34
|
0,03
|
0,05
|
0,00
|
0,02
|
0,05
|
0,07
|
0,03
|
|
|
ноябрь
|
0,54
|
79,69
|
79,82
|
12,37
|
12,89
|
0,52
|
-0,10
|
0,05
|
0,00
|
0,02
|
0,05
|
0,07
|
0,03
|
|
|
декабрь
|
0,54
|
79,82
|
79,93
|
12,89
|
13,31
|
0,42
|
0,00
|
0,05
|
0,00
|
0,02
|
0,05
|
0,07
|
0,03
|
|
|
январь
|
0,54
|
79,93
|
80,03
|
13,31
|
13,73
|
0,42
|
0,00
|
0,05
|
0,00
|
0,02
|
0,05
|
0,07
|
0,03
|
|
|
февраль
|
0,48
|
80,03
|
80,12
|
13,73
|
14,09
|
0,36
|
0,00
|
0,05
|
0,00
|
0,02
|
0,05
|
0,07
|
0,03
|
|
|
Итого
|
-
|
5,36
|
-
|
-
|
-
|
-
|
-0,73
|
2,25
|
0,63
|
1,68
|
0,38
|
1,15
|
3,21
|
-
|
|
2009/10
|
март
|
0,54
|
80,12
|
80,21
|
14,09
|
14,47
|
0,38
|
0,00
|
0,04
|
0,00
|
0,02
|
0,10
|
0,12
|
0,04
|
|
апрель
|
2,38
|
80,21
|
80,60
|
14,47
|
16,21
|
1,74
|
0,08
|
0,04
|
0,00
|
0,02
|
0,50
|
0,52
|
0,20
|
|
|
май
|
0,54
|
80,60
|
80,52
|
16,21
|
15,86
|
-0,35
|
0,43
|
0,07
|
0,25
|
0,04
|
0,10
|
0,39
|
0,15
|
|
|
июнь
|
0,00
|
80,52
|
80,20
|
15,86
|
14,46
|
-1,40
|
0,55
|
0,06
|
0,67
|
0,07
|
0,05
|
0,79
|
0,31
|
|
|
июль
|
0,00
|
80,20
|
79,92
|
14,46
|
13,30
|
-1,16
|
0,56
|
0,06
|
0,44
|
0,05
|
0,05
|
0,54
|
0,20
|
|
|
август
|
0,00
|
79,92
|
79,69
|
13,30
|
12,36
|
-0,94
|
0,54
|
0,06
|
0,25
|
0,04
|
0,05
|
0,34
|
0,13
|
|
|
сентябрь
|
0,00
|
79,69
|
79,55
|
12,36
|
11,84
|
-0,52
|
0,31
|
0,05
|
0,07
|
0,04
|
0,05
|
0,16
|
0,06
|
|
|
октябрь
|
0,00
|
79,55
|
79,51
|
11,84
|
11,69
|
-0,15
|
0,03
|
0,05
|
0,00
|
0,02
|
0,05
|
0,07
|
0,03
|
|
|
ноябрь
|
0,00
|
79,51
|
79,51
|
11,69
|
11,67
|
-0,02
|
-0,10
|
0,05
|
0,00
|
0,02
|
0,05
|
0,07
|
0,03
|
|
|
декабрь
|
0,54
|
79,51
|
79,62
|
11,67
|
12,09
|
0,42
|
0,00
|
0,05
|
0,00
|
0,02
|
0,05
|
0,07
|
0,03
|
|
|
январь
|
0,54
|
79,62
|
79,73
|
12,09
|
12,51
|
0,42
|
0,00
|
0,05
|
0,00
|
0,02
|
0,05
|
0,07
|
0,03
|
|
|
февраль
|
0,48
|
79,73
|
79,82
|
12,51
|
12,87
|
0,36
|
0,00
|
0,05
|
0,00
|
0,02
|
0,05
|
0,07
|
0,03
|
|
|
Итого
|
-
|
5,02
|
-
|
-
|
-
|
-
|
-1,22
|
2,40
|
0,63
|
1,68
|
0,38
|
1,15
|
3,21
|
-
|
|
2010/11
|
март
|
0,56
|
79,82
|
79,89
|
12,87
|
13,17
|
0,30
|
0,00
|
0,04
|
0,00
|
0,02
|
0,20
|
0,22
|
0,08
|
|
апрель
|
2,18
|
79,89
|
80,22
|
13,17
|
14,52
|
1,35
|
0,07
|
0,04
|
0,00
|
0,02
|
0,70
|
0,72
|
0,28
|
|
|
май
|
0,67
|
80,22
|
80,16
|
14,52
|
14,26
|
-0,26
|
0,37
|
0,07
|
0,25
|
0,04
|
0,20
|
0,49
|
0,18
|
|
|
июнь
|
0,52
|
80,16
|
79,96
|
14,26
|
13,46
|
-0,80
|
0,47
|
0,06
|
0,67
|
0,07
|
0,05
|
0,79
|
0,31
|
|
|
июль
|
0,00
|
79,96
|
79,67
|
13,46
|
12,30
|
-1,16
|
0,56
|
0,06
|
0,44
|
0,05
|
0,05
|
0,54
|
0,20
|
|
|
август
|
0,00
|
79,67
|
79,42
|
12,30
|
11,36
|
-0,94
|
0,54
|
0,06
|
0,25
|
0,04
|
0,05
|
0,34
|
0,13
|
|
|
сентябрь
|
0,00
|
79,42
|
79,30
|
11,36
|
10,90
|
-0,46
|
0,25
|
0,05
|
0,07
|
0,04
|
0,05
|
0,16
|
0,06
|
|
|
октябрь
|
0,00
|
79,30
|
79,26
|
10,90
|
10,75
|
-0,15
|
0,03
|
0,05
|
0,00
|
0,02
|
0,05
|
0,07
|
0,03
|
|
|
ноябрь
|
0,51
|
79,26
|
79,39
|
10,75
|
11,22
|
0,47
|
-0,08
|
0,05
|
0,00
|
0,02
|
0,05
|
0,07
|
0,03
|
|
|
декабрь
|
0,54
|
79,39
|
79,50
|
11,22
|
11,64
|
0,42
|
0,00
|
0,05
|
0,00
|
0,02
|
0,05
|
0,07
|
0,03
|
|
|
январь
|
0,54
|
79,50
|
79,61
|
11,64
|
12,06
|
0,42
|
0,00
|
0,05
|
0,00
|
0,02
|
0,05
|
0,07
|
0,03
|
|
|
февраль
|
0,48
|
79,61
|
79,70
|
12,06
|
12,42
|
0,36
|
0,00
|
0,05
|
0,00
|
0,02
|
0,05
|
0,07
|
0,03
|
|
|
Итого
|
-
|
6,00
|
-
|
-
|
-
|
-
|
-0,45
|
2,21
|
0,63
|
1,68
|
0,38
|
1,55
|
3,61
|
-
|
Приложение N 10
к Правилам использования водных ресурсов
Марьевского водохранилища, утвержденным
приказом Росводресурсов
от 27.06.2025 N 164
ТАБЛИЦЫ
РАСЧЕТНЫХ РЕЖИМОВ ПРОПУСКА МОДЕЛЬНЫХ ПОЛОВОДИЙ РАСЧЕТНЫХ
ОБЕСПЕЧЕННОСТЕЙ ЧЕРЕЗ ГИДРОУЗЕЛ МАРЬЕВСКОГО ВОДОХРАНИЛИЩА
Пропуск весеннего половодья вероятностью превышения 0,5%
Модель гидрографа 1957 г.
|
Дата
|
Приток, м3/с
|
Сброс, м3/с
|
Отметка уровня воды в верхнем бьефе на конец суток, м
|
|
07.04
|
0,50
|
1,27
|
80,60
|
|
08.04
|
9,01
|
1,27
|
80,73
|
|
09.04
|
18,9
|
1,27
|
81,02
|
|
10.04
|
29,6
|
1,85
|
81,46
|
|
11.04
|
34,8
|
13,7
|
81,80
|
|
12.04
|
32,2
|
27,4
|
81,86
|
|
13.04
|
61,2
|
42,1
|
82,32
|
|
14.04
|
19,4
|
30,7
|
81,97
|
|
15.04
|
6,19
|
16,2
|
81,81
|
|
16.04
|
2,81
|
11,2
|
81,66
|
|
17.04
|
2,40
|
7,75
|
81,57
|
|
18.04
|
1,3
|
5,09
|
81,50
|
|
19.04
|
0,34
|
3,01
|
81,45
|
Пропуск весеннего половодья вероятностью превышения 3%
Модель гидрографа 1957 г.
|
Дата
|
Приток, м3/с
|
Сброс, м3/с
|
Отметка уровня воды в верхнем бьефе на конец суток, м
|
|
07.04
|
0,25
|
1,27
|
80,59
|
|
08.04
|
7,03
|
1,27
|
80,69
|
|
09.04
|
14,7
|
1,27
|
80,92
|
|
10.04
|
23,1
|
1,04
|
81,27
|
|
11.04
|
27,2
|
4,75
|
81,62
|
|
12.04
|
25,1
|
10,1
|
81,86
|
|
13.04
|
47,8
|
32,9
|
82,17
|
|
14.04
|
15,2
|
24,0
|
81,94
|
|
15.04
|
4,84
|
15,2
|
81,77
|
|
16.04
|
2,19
|
10,2
|
81,63
|
|
17.04
|
1,87
|
6,83
|
81,54
|
|
18.04
|
0,64
|
4,28
|
81,48
|
|
19.04
|
0,17
|
2,43
|
81,43
|
Ход уровней и расходов воды при пропуске половодья
с объемами и расходами воды вероятностью превышения 0,5%
через гидроузел Марьевского водохранилища

Ход уровней и расходов воды при пропуске половодья
с объемами и расходами воды вероятностью превышения 3%
через гидроузел Марьевского водохранилища

Приложение N 11
к Правилам использования водных ресурсов
Марьевского водохранилища, утвержденным
приказом Росводресурсов
от 27.06.2025 N 164
ПРОДОЛЬНЫЕ ПРОФИЛИ
С КООРДИНАТАМИ РАСЧЕТНЫХ КРИВЫХ СВОБОДНОЙ ПОВЕРХНОСТИ
МАРЬЕВСКОГО ВОДОХРАНИЛИЩА И ВОДОТОКА В ВЕРХНЕМ И НИЖНЕМ
БЬЕФАХ ГИДРОУЗЛА МАРЬЕВСКОГО ВОДОХРАНИЛИЩА ПРИ ПРОХОЖДЕНИИ
МАКСИМАЛЬНЫХ РАСХОДОВ ВОДЫ РАСЧЕТНОЙ ОБЕСПЕЧЕННОСТИ

|
Участки водохранилища и р. Камелик
|
Расстояние от устья, км
|
Отметки уровня воды, м
|
|
|
0,5%
|
3%
|
||
|
Верхний бьеф
|
211,5
|
86,27
|
86,12
|
|
209
|
85,07
|
84,92
|
|
|
201
(створ гидроузла)
|
82,32
|
82,17
|
|
|
Нижний бьеф
|
201
(створ гидроузла)
|
72,05
|
71,80
|
|
198,9
|
71,75
|
71,50
|
|
|
198
|
71,65
|
71,40
|
|
Приложение N 12
к Правилам использования водных ресурсов
Марьевского водохранилища, утвержденным
приказом Росводресурсов
от 27.06.2025 N 164
(рекомендуемый образец)
Указания по ведению режима работы Марьевского водохранилища
На бланке Нижне-Волжского БВУ Директору
Дата, исходящий номер ФГБУ "Управление
"Саратовмелиоводхоз"
Копия: Росводресурсы
С учетом рекомендаций Межведомственной рабочей группы по регулированию
режимов работы ________________ водохранилища (заседание от ______ N ____),
складывающейся гидрологической и водохозяйственной обстановки, а также
предложений водопользователей установить на период с ________________
(дата и время)
по ________________ включительно режим работы гидроузла Марьевского
(дата и время)
водохранилища с суммарными сбросами в нижний бьеф: ________________________
(указываются сбросные
__________________________________________________________________________,
расходы или диапазоны сбросных расходов с уточнением интервала
их осреднения)
при следующих ограничениях: ______________________________________________.
(при необходимости указываются предельные
отметки уровней воды в верхнем и нижнем бьефах
гидроузла, минимальные суммарные сбросы,
предельные интенсивности наполнения (сработки)
водохранилища, другие ограничения)
Руководитель _____________ _____________________________________
(подпись) (фамилия, имя, отчество (при наличии)
Исполнитель
Телефон