См. Документы Министерства строительства и жилищно-коммунального хозяйства Российской Федерации
МИНИСТЕРСТВО СТРОИТЕЛЬСТВА И ЖИЛИЩНО-КОММУНАЛЬНОГО
ХОЗЯЙСТВА РОССИЙСКОЙ ФЕДЕРАЦИИ
ПРИКАЗ
от 11 июня 2025 г. N 352/пр
ОБ УТВЕРЖДЕНИИ МЕТОДИКИ
РАСЧЕТА ПОКАЗАТЕЛЯ "ИНДЕКС УСТОЙЧИВОГО ЭНЕРГОСБЕРЕЖЕНИЯ
В СТРОИТЕЛЬСТВЕ" ФЕДЕРАЛЬНОГО ПРОЕКТА "НОВЫЙ РИТМ
СТРОИТЕЛЬСТВА" НАЦИОНАЛЬНОГО ПРОЕКТА
"ИНФРАСТРУКТУРА ДЛЯ ЖИЗНИ"
В соответствии с пунктом 16 Положения об организации проектной деятельности в Правительстве Российской Федерации, утвержденного постановлением Правительства Российской Федерации от 31 октября 2018 г. N 1288, согласно пункту 21 Плана-графика по формированию и утверждению паспортов национального проекта "Инфраструктура для жизни" и входящих в его состав федеральных проектов, утвержденного Заместителем Председателя Правительства Российской Федерации М.Ш. Хуснуллиным от 27 июня 2024 г. N МХ-П49-19907, приказываю:
1. Утвердить прилагаемую методику расчета показателя "Индекс устойчивого энергосбережения в строительстве" федерального проекта "Новый ритм строительства" национального проекта "Инфраструктура для жизни" согласно приложению, к настоящему приказу.
2. Признать утратившим силу приказ Министерства строительства и жилищно-коммунального хозяйства Российской Федерации от 9 октября 2024 г. N 687/пр "Об утверждении методики расчета показателя "Индекс устойчивого энергосбережения в строительстве" федерального проекта "Новый ритм строительства" национального проекта "Инфраструктура для жизни".
Министр
И.Э.ФАЙЗУЛЛИН
Утверждена
приказом Министерства строительства
и жилищно-коммунального хозяйства
Российской Федерации
от 11 июня 2025 г. N 352/пр
МЕТОДИКА
РАСЧЕТА ПОКАЗАТЕЛЯ "ИНДЕКС УСТОЙЧИВОГО ЭНЕРГОСБЕРЕЖЕНИЯ
В СТРОИТЕЛЬСТВЕ" ФЕДЕРАЛЬНОГО ПРОЕКТА "НОВЫЙ РИТМ
СТРОИТЕЛЬСТВА" НАЦИОНАЛЬНОГО ПРОЕКТА
"ИНФРАСТРУКТУРА ДЛЯ ЖИЗНИ"
1. Настоящая Методика разработана в соответствии с постановлением Правительства Российской Федерации от 31 октября 2018 г. N 1288 "Об организации проектной деятельности в Правительстве Российской Федерации", национальным стандартом Российской Федерации ГОСТ Р 71136-2023 "Национальные цели развития, национальные проекты (программы) и государственные программы Российской Федерации. Методики расчета показателей. Общие положения и требования к применяемым при расчетах данным", утвержденным приказом Федерального агентства по техническому регулированию и метрологии от 6 декабря 2023 г. N 1521-ст.
2. Настоящая Методика применяется для расчета показателя "Индекс устойчивого энергосбережения" (код показателя П03254-ИА) (далее - показатель) в целях мониторинга достижения национальной цели "Комфортная и безопасная среда для жизни", определенной указом Президента Российской Федерации "О национальных целях развития Российской Федерации на период до 2030 года и на перспективу до 2036 года" от 7 мая 2024 г. N 309, федерального проекта "Новый ритм строительства" (код федерального проекта - ИА) (далее - федеральный проект) национального проекта "Инфраструктура для жизни" (код национального проекта - И), паспорт которого утвержден протоколом проектного комитета по национальному проекту "Инфраструктура для жизни" от 27 ноября 2024 г. N 1пр.
3. Показатель характеризует прирост доли средних и крупных предприятий в сфере проектирования и строительства, внедривших принципы бережливого строительства, введенных в эксплуатацию объектов капитального строительства (далее - ОКС) высокоэнергоэффективных многоквартирных домов (далее - МКД) и индивидуального жилищного строительства (далее - ИЖС), а также общественных зданий, согласно Федеральному закону "Об энергосбережении и о повышении энергетической эффективности и о внесении изменений в отдельные законодательные акты Российской Федерации", что соответствует одной из базовых целей технического регулирования в области безопасности зданий и сооружений, которая является достижением и обеспечением их энергетической и ресурсной эффективности.
4. Федеральным органом исполнительной власти, ответственным за формирование и представление информации по показателю является Министерство строительства и жилищно-коммунального хозяйства Российской Федерации.
5. Расчет показателя осуществляется посредством использования государственной информационной системы "Цифровая аналитическая платформа предоставления статистических данных" (далее - информационная система) в соответствии с алгоритмом расчета, приведенным в настоящей Методике, и на основе значений компонентов показателя, представленных в соответствии с настоящей Методикой.
В случае непредставления для расчета показателя в информационную систему значений компонентов показателя в порядке и в сроки, установленные настоящей Методикой, при расчете значения показателя используются данные прошлого периода.
Ответственным за верификацию и внесение информации по расчету показателя в информационную систему является Министерство строительства и жилищно-коммунального хозяйства Российской Федерации. Информация вносится ежемесячно не позднее 11-го рабочего дня месяца, следующего за отчетным месяцем.
6. Показатель рассчитывается в целом по Российской Федерации нарастающим итогом ежемесячно по состоянию на последнее число отчетного месяца.
7. Тип показателя возрастающий, предельное значение стремится к 100%.
8. Единица измерения показателя - процент, % (код по Общероссийскому классификатору единиц измерения - 744).
9. Показатель "Индекс устойчивого энергосбережения" (N) рассчитывают по формуле:

где
j - количество ненулевых показателей прироста долей, единица;
ni - прирост долей по следующим показателям:
n1 - прирост доли средних и крупных предприятий в сфере проектирования и строительства, внедривших принципы бережливого строительства в общем количестве средних и крупных предприятий в сфере проектирования и строительства, за отчетный период, процент. Показатель будет учитываться в расчете с 2027 года. Бережливое строительство направлено на повышение производительности труда, как следствие - снижение количества простоев и уменьшение суммарных затрат энергии на выполнение строительно-монтажных работ. Затраты энергии на выполнение строительно-монтажных работ (далее - СМР) являются одной из четырех составляющих общего объема затрат в течение жизненного цикла здания: производство и доставка материалов, выполнение СМР, эксплуатация, утилизация, процент;
n2 - прирост доли введенных в эксплуатацию МКД с классом энергетической эффективности "А" - очень высокий и выше по проектным данным за отчетный период в общем объеме площади жилых МКД по проектным данным за период с января 2023 года (согласно данным Росстата, публикуемым на официальном сайте в сети Интернет, данным, выгружаемым из Единой информационной системы жилищного строительства (далее - ЕИСЖС), процент;
n3 - прирост доли запроектированных общественных зданий (согласно приложению СП 118.13330.2022 "СНиП 31-06-2009 Общественные здания и сооружения", с величиной отклонения расчетного (фактического) значения удельной характеристики расхода тепловой энергии на отопление и вентиляцию здания от нормируемого на - 20% и более в соответствии с СП 50.13330.2024 "СНиП 23-02-2003 Тепловая защита зданий" за отчетный период в общем объеме проектируемых общественных зданий, процент. Показатель будет учитываться в расчете с 2027 года.
10. Компонент прироста доли n1 рассчитывается по формуле:

где
y1k - количество средних и крупных предприятий в сфере проектирования и строительства, внедривших принципы бережливого строительства, нарастающим итогом с января 2026 г. по состоянию на конец k-го периода, единица;
x1k - общее количество средних и крупных предприятий в сфере проектирования и строительства на конец k-го периода, единица;
b1 - доля средних и крупных предприятий в сфере проектирования и строительства, внедривших принципы бережливого строительства за период с января 2026 года до конца периода, предшествующего отчетному, и принятая за базовое значение, процент;
k - порядковый номер отчетного периода, соответствующий порядковому номеру месяца текущего года реализации проекта. Для ежемесячного расчета: k = 1 соответствует январю 2027 года, k = 2 соответствует февралю 2027 года и т.д.
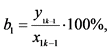
11. Компонент b1 рассчитывается по формуле:

где
y1k-1 - количество средних и крупных предприятий в сфере проектирования и строительства, внедривших принципы бережливого строительства, нарастающим итогом с января 2026 года по состоянию на конец периода, предшествующего отчетному (k - 1), единица;
x1k-1 - общее количество средних и крупных предприятий в сфере проектирования и строительства по состоянию на конец периода, предшествующего отчетному (k - 1), единица.
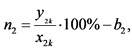
12. Компонент прироста доли n2 рассчитывается по формуле:

где
y2k - общая площадь введенных в эксплуатацию МКД с классом энергетической эффективности "А" - очень высокий и выше по проектным данным с 1 января 2023 г. по состоянию в k-ом периоде, тысяча квадратных метров (согласно данным, выгружаемым из ЕИСЖС);
x2k _ общая площадь зданий МКД в k-ом периоде, тысяча квадратных метров (согласно данным Росстата, публикуемым на официальном сайте в сети Интернет ежегодно 20 апреля года, следующего за отчетным, в соответствии с п. 1.11.1 Федерального плана статистических работ, утвержденного распоряжением Правительства Российской Федерации от 6 мая 2008 г. N 671-р; в текущем периоде - согласно данным, выгружаемым из ЕИСЖС);
b2 - доля МКД с классом энергетической эффективности "А" - очень высокий и выше по проектным данным в общей площади МКД на конец периода, предшествующего отчетному, принятая за базовое значение, процент (согласно данным, выгружаемым из ЕИСЖС);
k - порядковый номер отчетного периода, соответствующий порядковому номеру месяца текущего года реализации проекта. Для ежемесячного расчета: k = 1 соответствует январю 2023 года, k = 2 соответствует февралю 2023 года, k = p соответствует отчетному месяцу.
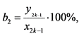
13. Компонент b2 рассчитывается по формуле:

где
k = p - 1 соответствует порядковому номеру месяца, предшествующего отчетному.
14. Компонент прироста доли n3 рассчитывается по формуле:

где
y3k - количество запроектированных общественных зданий со снижением не менее чем на 20% удельной величины расхода энергетических ресурсов по сравнению с базовыми показателями по проектным данным в k-м периоде (месяце), единица;
x3k - общее количество запроектированных общественных зданий по проектным данным в k-ом периоде (месяце), единица;
b3 - доля запроектированных общественных зданий со снижением не менее чем на 20% удельной характеристики расхода тепловой энергии на отопление и вентиляцию здания по сравнению с базовыми показателями за период с января 2026 года до конца периода, предшествующего отчетному, и принятая за базовое значение, единица.
k - порядковый номер отчетного периода, соответствующий порядковому номеру месяца текущего года реализации проекта. Для ежемесячного расчета: k = 1 соответствует январю 2026 года, k = 2 соответствует февралю 2026 года, k = p соответствует отчетному месяцу.
15. Компонент b3 рассчитывается по формуле:

где
k = p - 1 соответствует периоду, предшествующему отчетному.
Компонент n3 начнет учитываться в расчете в 2027 году после формирования базовых удельных показателей энергосбережения запроектированных общественных зданий.
16. Источники информации.
16.1 Для компонента n1 источником информации являются административные _ данные, предоставляемые официальным письмом через систему электронного документооборота отраслевым центром компетенций бережливого проектирования и строительства, в срок не позднее 5-го числа месяца, следующего за отчетным периодом.
Формирование верифицированных данных по компоненту n1 обеспечивается отраслевым центром компетенций бережливого проектирования и строительства посредством сбора информации о предприятиях, внедривших принципы бережливого производства.
16.2 Для компонента n2 источником информации являются данные опубликованные Росстатом на официальном сайте в сети Интернет ежегодно 20 апреля года, следующего за отчетным, в соответствии с п. 1.11.1 Федерального плана статистических работ, утвержденного распоряжением Правительства Российской Федерации от 6 мая 2008 г. N 671-р, данные, выгружаемые из единой информационной системы жилищного строительства, регламентированной Федеральным законом от 30 декабря 2004 г. N 214-ФЗ "Об участии в долевом строительстве многоквартирных домов и иных объектов недвижимости и о внесении изменений в некоторые законодательные акты Российской Федерации".
Формирование верифицированных данных по компоненту n2 обеспечивается АО "ДОМ.РФ" посредством ведения ЕИСЖС на основании разрешения на ввод объекта в эксплуатацию выданного в порядке, предусмотренном статьей 55 Градостроительного кодекса Российской Федерации, органом исполнительной власти, уполномоченным на выдачу разрешений на ввод объектов в эксплуатацию, по форме, утвержденной приказом Минстроя России "Об утверждении формы разрешения на строительство и формы разрешения на ввод объекта в эксплуатацию" от 3 июня 2022 г. N 446/пр, в срок не позднее 5-го числа месяца, следующего за отчетным периодом.
16.3 Для компонента n3 источником информации являются данные, выгружаемые из Единого государственного реестра заключений экспертизы проектной документации объектов капитального строительства (далее - ЕГРЗ) порядок ведения которого утвержден приказом Минстроя России от 22 февраля 2018 г. N 115-пр "Об утверждении порядка ведения единого государственного реестра заключений экспертизы проектной документации объектов капитального строительства и предоставления содержащихся в нем сведений и документов". Расчет компонента проводится по проектируемым зданиям ввиду наличия статистических данных в ЕГРЗ.
Формирование верифицированных данных по компоненту n3, численно равному количеству положительных заключений экспертизы проектной документации, обеспечивается ФАУ "Главгосэкспертиза России" посредством ведения ЕГРЗ в соответствии с приказом Минстроя России от 11 января 2017 г. N 13/пр "Об определении подведомственного государственного учреждения, уполномоченного на ведение единого государственного реестра заключений экспертизы проектной документации объектов капитального строительства", в срок не позднее 5-го числа месяца, следующего за отчетным периодом.
16.4 Ответственным за сбор данных является Минстрой России.
16.5 Уровни агрегирования информации: по Российской Федерации.
16.6 Периодичность предоставления (мониторинга) показателя: ежемесячная, в срок до 11 рабочего дня месяца, следующего за отчетным.