См. Документы Министерства обороны Российской Федерации
МИНИСТР ОБОРОНЫ РОССИЙСКОЙ ФЕДЕРАЦИИ
ПРИКАЗ
от 23 сентября 2025 г. N 597
ОБ УСТАНОВЛЕНИИ
ПОРЯДКА ОПРЕДЕЛЕНИЯ И ПРИМЕНЕНИЯ ЗНАЧЕНИЙ ДОПУСТИМЫХ
(ВОЗМОЖНЫХ) ОТКЛОНЕНИЙ ОТ ЗНАЧЕНИЙ ПОКАЗАТЕЛЕЙ КАЧЕСТВА
И (ИЛИ) ОБЪЕМА ГОСУДАРСТВЕННЫХ УСЛУГ (РАБОТ), УСТАНОВЛЕННЫХ
В ГОСУДАРСТВЕННОМ ЗАДАНИИ НА ОКАЗАНИЕ ГОСУДАРСТВЕННЫХ УСЛУГ
(ВЫПОЛНЕНИЕ РАБОТ) ФЕДЕРАЛЬНЫМ ГОСУДАРСТВЕННЫМ БЮДЖЕТНЫМ
И АВТОНОМНЫМ УЧРЕЖДЕНИЯМ, ОСУЩЕСТВЛЯЮЩИМ ДЕЯТЕЛЬНОСТЬ
В ОБЛАСТИ ФИЗИЧЕСКОЙ КУЛЬТУРЫ И СПОРТА, ПОЛНОМОЧИЯ
УЧРЕДИТЕЛЯ КОТОРЫХ ОСУЩЕСТВЛЯЕТ МИНИСТЕРСТВО
ОБОРОНЫ РОССИЙСКОЙ ФЕДЕРАЦИИ
В соответствии с абзацем седьмым пункта 3 Положения о формировании государственного задания на оказание государственных услуг (выполнение работ) в отношении федеральных государственных учреждений и финансовом обеспечении выполнения государственного задания, утвержденного постановлением Правительства Российской Федерации от 26 июня 2015 г. N 640 "О порядке формирования государственного задания на оказание государственных услуг (выполнение работ) в отношении федеральных государственных учреждений и финансового обеспечения выполнения государственного задания", в целях определения и применения значений допустимых (возможных) отклонений от значений показателей качества и (или) объема государственных услуг (работ), установленных в государственном задании на оказание государственных услуг (выполнение работ) федеральным государственным бюджетным и автономным учреждениям, полномочия учредителя которых осуществляет Министерство обороны Российской Федерации, приказываю:
1. Установить Порядок определения и применения значений допустимых (возможных) отклонений от значений показателей качества и (или) объема государственных услуг (работ), установленных в государственном задании на оказание государственных услуг (выполнение работ) федеральным государственным бюджетным и автономным учреждениям, осуществляющим деятельность в области физической культуры и спорта, полномочия учредителя которых осуществляет Министерство обороны Российской Федерации (приложение N 1 к настоящему приказу).
2. Признать утратившими силу приказы Министра обороны Российской Федерации согласно Перечню (приложение N 2 к настоящему приказу).
Министр обороны
Российской Федерации
А.БЕЛОУСОВ
Приложение N 1
к приказу Министра обороны
Российской Федерации
от 23 сентября 2025 г. N 597
ПОРЯДОК
ОПРЕДЕЛЕНИЯ И ПРИМЕНЕНИЯ ЗНАЧЕНИЙ ДОПУСТИМЫХ
(ВОЗМОЖНЫХ) ОТКЛОНЕНИЙ ОТ ЗНАЧЕНИЙ ПОКАЗАТЕЛЕЙ КАЧЕСТВА
И (ИЛИ) ОБЪЕМА ГОСУДАРСТВЕННЫХ УСЛУГ (РАБОТ), УСТАНОВЛЕННЫХ
В ГОСУДАРСТВЕННОМ ЗАДАНИИ НА ОКАЗАНИЕ ГОСУДАРСТВЕННЫХ УСЛУГ
(ВЫПОЛНЕНИЕ РАБОТ) ФЕДЕРАЛЬНЫМ ГОСУДАРСТВЕННЫМ БЮДЖЕТНЫМ
И АВТОНОМНЫМ УЧРЕЖДЕНИЯМ, ОСУЩЕСТВЛЯЮЩИМ ДЕЯТЕЛЬНОСТЬ
В ОБЛАСТИ ФИЗИЧЕСКОЙ КУЛЬТУРЫ И СПОРТА, ПОЛНОМОЧИЯ
УЧРЕДИТЕЛЯ КОТОРЫХ ОСУЩЕСТВЛЯЕТ МИНИСТЕРСТВО
ОБОРОНЫ РОССИЙСКОЙ ФЕДЕРАЦИИ
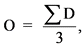
1. Значения допустимых (возможных) отклонений от значений показателей качества и (или) объема государственных услуг (работ), установленных в государственном задании на оказание государственных услуг (выполнение работ) федеральным государственным бюджетным и автономным учреждениям, осуществляющим деятельность в области физической культуры и спорта, полномочия учредителя которых осуществляет Министерство обороны Российской Федерации (далее - допустимые/возможные отклонения, государственное задание, учреждения соответственно), определяются органом военного управления, ответственным за формирование и утверждение государственного задания, отдельно для каждой выполняемой государственной работы путем расчета среднего арифметического значения невыполненных показателей (выраженных в процентах) качества и (или) объема государственных работ от показателей, установленных в государственном задании, за период не более трех лет, предшествующих году выполнения государственного задания, и рассчитываются по формуле:

где:
O - значение допустимого (возможного) отклонения выполняемой государственной работы, определяемое на год выполнения государственного задания;
D - невыполненные показатели (выраженные в процентах) качества и (или) объема государственных работ от показателей, установленных в государственном задании;
- сумма невыполненных показателей (выраженных в процентах) качества и (или) объема государственных работ от показателей, установленных в государственном задании, за период не более трех лет, предшествующих году выполнения государственного задания.
D определяется по формуле:

где:
Ni-й год - количество невыполненных показателей качества и (или) объема государственных работ за i-й год выполнения государственного задания;
Vi-й год - объем выполнения государственной работы, установленный в государственном задании на i-й год.
Если в результате расчета значение допустимого (возможного) отклонения составит менее 5% от установленного в государственном задании показателя объема государственной работы, то данное значение устанавливается на уровне 5%.
В случае если учреждение выполняет государственную работу, которую ранее не выполняло, то допустимое (возможное) отклонение в течение первых двух лет не должно превышать 5% от установленного в государственном задании показателя качества и (или) объема выполнения государственных работ.
2. Значение допустимого (возможного) отклонения для государственных услуг, установленных в государственном задании, определяется органом военного управления, ответственным за формирование и утверждение государственного задания, в целом для части I государственного задания "Сведения об оказываемых государственных услугах" <1> на уровне 1% от общего объема обучающихся на этапах совершенствования спортивного мастерства и высшего спортивного мастерства, утвержденного в государственном задании.
--------------------------------
<1> Приложение N 1 к Положению о формировании государственного задания на оказание государственных услуг (выполнение работ) в отношении федеральных государственных учреждений и финансовом обеспечении выполнения государственного задания, утвержденному постановлением Правительства Российской Федерации от 26 июня 2015 г. N 640.
3. Значения допустимых (возможных) отклонений устанавливаются в процентах (абсолютных величинах) от установленных в государственном задании значений показателей качества и (или) объема государственной услуги (работы).
Значение допустимого (возможного) отклонения менее 0,5 единицы не учитывается, а значение 0,5 единицы и более округляется до целой единицы.
4. Допустимое (возможное) отклонение применяется в случаях:
введения мер обеспечения санитарно-эпидемиологического благополучия населения <2> или режима чрезвычайного положения <3>, связанных с ограничением деятельности учреждений;
--------------------------------
<2> Указ Президента Российской Федерации от 11 мая 2020 г. N 316 "Об определении порядка продления действия мер по обеспечению санитарно-эпидемиологического благополучия населения в субъектах Российской Федерации в связи с распространением новой коронавирусной инфекции (COVID-19)".
<3> Федеральный конституционный закон от 30 мая 2001 г. N 3-ФКЗ "О чрезвычайном положении".
недоукомплектованности штатных спортивных команд и спортивных рот спортсменами из числа военнослужащих Вооруженных Сил Российской Федерации на дату представления отчета о выполнении государственного задания;
запрета международных спортивных организаций на участие спортсменов (команд) Вооруженных Сил Российской Федерации в международных спортивных соревнованиях среди военнослужащих;
отказа страны-организатора международного спортивного соревнования среди военнослужащих во въезде в страну спортсменов (команд) Вооруженных Сил Российской Федерации;
введения мер ограничений, связанных с проведением специальной военной операции <4>;
--------------------------------
<4> Указ Президента Российской Федерации от 19 октября 2022 г. N 757 "О мерах, осуществляемых в субъектах Российской Федерации в связи с Указом Президента Российской Федерации от 19 октября 2022 г. N 756".
отмены спортивного мероприятия должностными лицами Министерства обороны Российской Федерации или его организаторами при отсутствии возможности замены или переноса;
прекращения спортивной подготовки обучающихся в спортивных школах на этапах совершенствования спортивного мастерства и высшего спортивного мастерства <5> в связи с призывом на военную службу в Вооруженные Силы Российской Федерации или заключением трудового договора с федеральным автономным учреждением Министерства обороны Российской Федерации "Центральный спортивный клуб Армии";
--------------------------------
<5> Федеральный закон от 4 декабря 2007 г. N 329-ФЗ "О физической культуре и спорте в Российской Федерации".
закрытия объекта спорта, задействованного в процессе выполнения государственного задания, по решению должностных лиц Министерства обороны Российской Федерации.
5. Значение допустимого (возможного) отклонения, применяемое на текущий финансовый год, может изменяться только при формировании государственного задания на очередной финансовый год.
6. Допустимое (возможное) отклонение не применяется в случае, если единицей объема государственной услуги (работы) является государственная услуга (работа) в целом (в части показателей объема государственной услуги (работы).
Приложение N 2
к приказу Министра обороны
Российской Федерации
от 23 сентября 2025 г. N 597
ПЕРЕЧЕНЬ
ПРИКАЗОВ МИНИСТРА ОБОРОНЫ РОССИЙСКОЙ ФЕДЕРАЦИИ, ПРИЗНАВАЕМЫХ
УТРАТИВШИМИ СИЛУ
1. Приказ Министра обороны Российской Федерации от 19 ноября 2021 г. N 697 "Об установлении Порядка определения и применения значений допустимых (возможных) отклонений от значений показателей качества и (или) объема государственных услуг (выполнения работ), установленных в государственном задании на оказание государственных услуг (выполнение работ) федеральным государственным бюджетным и автономным учреждениям, осуществляющим деятельность в области физической культуры и спорта и полномочия учредителя которых осуществляет Министерство обороны Российской Федерации" (зарегистрирован Министерством юстиции Российской Федерации 5 апреля 2022 г., регистрационный N 68060).
2. Приказ Министра обороны Российской Федерации от 27 августа 2022 г. N 491 "О внесении изменения в пункт 3 Порядка определения и применения значений допустимых (возможных) отклонений от значений показателей качества и (или) объема государственных услуг (выполнения работ), установленных в государственном задании на оказание государственных услуг (выполнение работ) федеральным государственным бюджетным и автономным учреждениям, осуществляющим деятельность в области физической культуры и спорта и полномочия учредителя которых осуществляет Министерство обороны Российской Федерации, установленного приказом Министра обороны Российской Федерации от 19 ноября 2021 г. N 697" (зарегистрирован Министерством юстиции Российской Федерации 3 октября 2022 г., регистрационный N 70359).
3. Приказ Министра обороны Российской Федерации от 17 октября 2023 г. N 708 "О внесении изменений в Порядок определения и применения значений допустимых (возможных) отклонений от значений показателей качества и (или) объема государственных услуг (выполнения работ), установленных в государственном задании на оказание государственных услуг (выполнение работ) федеральным государственным бюджетным и автономным учреждениям, осуществляющим деятельность в области физической культуры и спорта и полномочия учредителя которых осуществляет Министерство обороны Российской Федерации, установленный приказом Министра обороны Российской Федерации от 19 ноября 2021 г. N 697" (зарегистрирован Министерством юстиции Российской Федерации 23 ноября 2023 г., регистрационный N 76070).